Методика оптимизации добычи из многослойных смешанных пластов с использованием данных о динамике изменения дебита смешанных пластов и данных геофизических исследований в эксплуатационных скважинах
Иллюстрации
Показать всеИзобретение относится к оптимизации добычи из многослойных смешанных пластов с использованием данных о динамике изменения смешанного дебита. Техническим результатом изобретения является повышения продуктивности скважины за счет исправления невозбужденных, слабо возбужденных или просто имеющих плохой дебит перфорированных интервалов скважин в многослойном смешанном пласте, для которых может быть осуществлено повторное закачивание с использованием любого из различных способов повторного закачивания скважины (в том числе гидравлического разрыва, кислотной обработки, повторной перфорации или бурения одного или большего количества поперечных дренажных скважин). Для этого осуществляют измерение значений давления для отдельных зон в пласте и выбор процедуры вычисления профиля распределения давления. Затем осуществляют вычисление значения давления в средней зоне ствола скважины с использованием процедуры вычисления профиля распределения давления и осуществляют сравнение вычисленных значений давления в средней зоне ствола скважины с измеренными значениями давления. На основе процедуры вычисления профиля распределения давления осуществляют построение модели давления пластовых флюидов у забоя скважины. Осуществляют сравнение вычисленных значений давления с данными о предыстории протекания процесса и определяют и выбирают процесс повторного закачивания скважины для получения максимального объема добычи в каждой зоне пласта. Изобретение позволяет управлять продуктивным пластом и содержит в себе общую методику анализа и исправления недостатков, которая была разработана для смешанных пластов. 6 з.п. ф-лы, 1 ил.
Реферат
Область техники, к которой относится изобретение
Изобретение относится, в общем случае, к способам и процессам анализа данных о дебите скважины и оптимизации добычи из многослойных смешанных пластов и, в частности, к методике оптимизации добычи с использованием данных о динамике изменения смешанного дебита и данных геофизических исследований (каротажных данных) эксплуатационной скважины.
Предшествующий уровень техники
Было установлено, что данные о динамике изменения объема добычи на промыслах и многочисленные периодические испытания скважин с использованием переменного давления, выполняемые для нефтяных и газовых скважин в подземных пластах, находящихся под большим давлением, часто свидетельствуют о заметных изменениях величины эффективной проницаемости пласта в течение периода времени эксплуатации скважин. Аналогичным образом, использование количественной диагностики трещиноватых скважин для оценки динамики изменения дебита скважин с трещинами, созданными посредством гидравлического разрыва, ясно показало, что эффективная половинная длина трещин и удельная проводимость могут резко уменьшаться в течение периода времени эксплуатации скважин. Всестороннее исследование этого вопроса изложено в статье автора настоящей заявки на изобретение Бобби Д. По (Bobby D. Рое), имеющей название "Оценка характеристик пласта и трещин, созданных посредством гидравлического разрыва, в подземном пласте, находящемся под большим давлением", журнал Общества инженеров-нефтяников, SPE №64732 ("Evaluation of Reservoir and Hydraulic Fracture Properties in Geopressure Reservoir," Society of Petroleum Engineers, SPE 64732).
Некоторые из наиболее ранних ссылок на тот факт, что подземные пласты не всегда ведут себя как твердые и недеформируемые материальные тела, состоящие из пористого вещества, могут быть найдены в литературе об исследовании подземных вод, см., например, статью О.И. Мейнцера "Сжимаемость и эластичность артезианских водоносных пластов" в журнале "Экономические аспекты геологии", том 23, 1928, стр. 263-271 ("Compressibility and Elasticity of Artesian Aquifers", О. Е. Meinzer, Econ. Geol. (1928) 23, 263-271) и книгу К. И. Джекоба "Инженерная гидравлика", издательство "Джон Уили и сыновья, Инкорпорейтед", г. Нью-Йорк (США) 1950, стр. 321-386 ("Engineering Hydraulics," by C.E. Jacob, John Wiley and Sons, Inc. New York (1950) 321-386).
Изучение результатов предшествующих экспериментальных исследований и численных расчетов влияния характеристик пласта, зависящих от давления, показало, что для пород, обладающих низкой проницаемостью, имеет место пропорционально большее снижение проницаемости, чем для пород, обладающих высокой проницаемостью. В результате исследования зависимости проницаемости пласта и удельной проводимости трещины от давления в течение периода практической эксплуатации подземных пластов с низкой проницаемостью, находящихся под большим давлением, были получены следующие выводы:
1. Промысловые данные свидетельствуют о том, что в подземных пластах, находящихся под большим давлением, может часто наблюдаться ухудшение эффективной проницаемости пласта даже в течение короткого времени эксплуатации.
2. В результате количественной оценки динамики изменения дебита трещин, созданных посредством гидравлического разрыва, при промысловой добыче как из обычных пластов, так и из подземных пластов, находящихся под большим давлением, было установлено, что удельная проводимость скважин с трещинами, созданными посредством гидравлического разрыва, обычно уменьшается в течение времени эксплуатации.
3. Было продемонстрировано, что многофазный поток через трещины значительно уменьшает эффективную удельную проводимость трещин.
4. Оценки эффективной проницаемости породы до создания трещин, полученные в результате испытания скважины с использованием переменного давления или в результате анализа дебита, часто не отображают собой ту эффективную проницаемость пласта, которой он обладает в динамике изменения дебита после создания трещин.
Для того чтобы заранее определить реакцию скважины на обработку посредством моделирования объема добычи, в течение почти пятидесяти лет предпринимались попытки использования анализа данных о дебите скважин для определения их продуктивности. Обзор старых способов приведен в статье Р. И. Глэдфельтера, озаглавленной "Выбор скважин, реагирующих на обработку путем имитации добычи", издание "Технология бурения и добычи" АНИ (Американского Нефтяного Института), г. Даллас, штат Техас, США, стр. 117-129 (1955) (R.E. Gladfelter, "Selecting Wells Which Will Respond to Production-Simulation Treatment," Drilling and Production Procedures, API (American Petroleum Institute), Dallas, Texas, 117-129 (1955)). Для описания потока нефти и газа в пласте обычно используют решение уравнения диффузии для переменного давления, в котором нормированные значения перепадов давления дебита, применяемые для анализа, соответственно, нефтеносных и газоносных пластов, заданы следующими выражениями:
(Pi-Pwf)/q0 и
{Pp(Pi)-Pp(Pwf)}/qg '
где:
Рi - начальное давление в продуктивном пласте (в фунтах на квадратный дюйм),
Рwf - гидродинамическое давление на вскрытой поверхности забоя и стенок скважины в песчаном пласте (в фунтах на квадратный дюйм),
q0 - дебит нефти (в нормальных баррелях в сутки),
Рр - функция псевдодавления (в фунтах на квадратный дюйм в квадрате на сантипуаз),
qg - дебит газа (в миллионах нормальных кубических футов газа в сутки).
Поскольку анализ данных о дебите скважин с использованием нормированных значений давления дебита и решений для переменного давления дает достаточно хорошие результаты для скважин без трещин, функционирующих в режиме бесконечно действующего радиального потока, то результаты, полученные для пограничного потока, свидетельствуют о том, что нормированное значение дебита имеет экспоненциальную динамику изменения, а не логарифмический наклон, который имеет поток в режиме псевдоустойчивого состояния согласно решению для переменного давления.
В течение практически всего времени эксплуатации скважины с начала добычи к действующей системе приложено конечное давление, которым может являться рабочее давление сепаратора, давление в сбытовом трубопроводе или даже атмосферное давление в резервуаре-хранилище. В любом из этих случаев внутренним граничным условием является условие Дирихле (наличие заданного конечного давления). Вне зависимости от того, задано ли внутреннее граничное условие для конечного давления в некоторой точке наземных объектов или на вскрытой поверхности стенок скважины в песчаном пласте, внутреннее граничное условие является условием Дирихле, и обычно используют решения для переменного дебита. К тому же известно, что к концу срока эксплуатации скважины более точной аппроксимации внутреннего граничного условия на дне буровой скважины обычно достигают посредством внутреннего граничного условия постоянства гидродинамического забойного давления, а не посредством внутреннего граничного условия постоянства дебита.
Дополнительной проблемой, возникающей при использовании решений для переменного давления в качестве основы для анализа данных о дебите, является уровень шумов, присущих данным. Использование функций, производных от давления, для уменьшения остроты проблем однозначности, которые связаны с анализом данных о дебите трещиноватых скважин во время существующего на начальной стадии возникновения трещин нестационарного режима, приводит к еще большему возрастанию влияния шумов в данных, наличие которых обычно обуславливает необходимость, по меньшей мере, сглаживания производных, или в худшем случае приводит к тому, что данные не поддаются расшифровке.
Были предприняты многочисленные попытки создания более содержательных данных для получения максимального уровня добычи из трещиноватых скважин. Один из примеров этого приведен и описан в патенте США №5960369, выданном Б.Г. Сэмару (В.Н. Samaroo), в котором описан способ прогнозирования совокупности параметров дебита для скважины, имеющей более одного завершения в различных горизонтах, в котором этот процесс применяют для каждого завершения при условии, что скважина может давать дебит из любого из множества пластов или смешанный дебит в случае добычи из множества пластов.
Из описанного выше может быть сделан вывод о том, что дебит трещиноватых скважин может быть увеличен в том случае, когда для определения эффективности трещин может быть надлежащим образом использована динамика изменения объема добычи. Однако до настоящего времени не был изобретен надежный способ генерации содержательных данных. Примеры из известного уровня техники являются, в лучшем случае, умозрительными и дают непредсказуемые и неточные результаты.
СУЩНОСТЬ ИЗОБРЕТЕНИЯ
Предметом изобретения является общая методика оптимизации добычи из продуктивного пласта, которая позволяет осуществлять идентификацию и исправление невозбужденных, слабо возбужденных или просто имеющих плохой дебит перфорированных интервалов скважин в многослойном смешанном пласте, для которых может быть осуществлено повторное закачивание с использованием любого из различных способов повторного закачивания скважины (в том числе гидравлического разрыва, кислотной обработки, повторной перфорации или бурения одного или большего количества поперечных дренажных скважин, но эти примеры не являются ограничивающими) с целью повышения продуктивности скважины. Это изобретение предоставляет превосходное средство управления продуктивным пластом и содержит в себе общую методику анализа и исправления недостатков, которая была разработана для смешанных пластов. В этом изобретении используют недавно разработанную модель анализа планирования добычи для системы, состоящей из смешанных пластов, и процедуры, описанные в принадлежащей автору настоящего изобретения и находящейся в процессе одновременного рассмотрения заявке на изобретение №09/952656 от 12 сентября 2001 г., которая имеет название: "Оценка характеристик пласта и трещин, созданных в результате гидравлического разрыва, в многослойных смешанных пластах с использованием данных о дебите смешанных пластов и данных геофизических исследований (каротажа) в эксплуатационных скважинах" ("Evaluation of Reservoir and Hydraulic Fracture Properties in Multilayer Commingled Reservoirs Using Commingled Reservoir Production Data and Production Logging Information") и включена сюда путем ссылки.
Для увеличения продуктивности ранее законченных перфорированных интервалов отдельных пластов в смешанном пласте могут быть использованы специальные способы повторного закачивания скважины, в том числе гидравлический разрыв с использованием спиральных насосно-компрессорных труб, обычные способы интенсификации добычи за счет образования трещин и обработки материнской породы кислотой, в которых используют изоляцию пластов, и повторная перфорация отдельных перфорированных интервалов скважины, но эти примеры не являются ограничивающими.
Предметом изобретения являются способ и процесс оценки таких собственных характеристик пласта, как эффективная проницаемость пласта, поверхностный эффект в стационарном радиальном потоке, площадь дренирования пласта и два параметра пористости пласта: омега (безразмерная величина отношения объема накопления в трещинах к общей емкости системы) и лямбда (параметр перетока из материнской породы в трещины) для отдельных слоев пласта без трещин в системе многослойных смешанных пластов с использованием данных о добыче из смешанного пласта, например значений гидродинамического давления на устье фонтанной скважины, температуры и дебита и/или совокупных параметров для нефтяной, газовой и водной фаз, и информации о результатах геофизических исследований в эксплуатационных скважинах (или измерений посредством манометров и скважинных расходомеров). Способ и процесс, предложенные в изобретении, также позволяют осуществлять оценку характеристик трещин, созданных посредством гидравлического разрыва, для трещиноватых слоев пласта в системе, состоящей из множества смешанных слоев, а именно эффективной половинной длины трещины, эффективной проницаемости трещины, анизотропии проницаемости, площади дренирования пласта и двух параметров пористости пласта: омега и лямбда. При анализе трещиноватых слоев пласта также учитывают влияние многофазных потоков в трещинах и потоков, не подчиняющихся формуле Дарси.
К тому же, посредством настоящего изобретения может быть осуществлена оценка отдачи пласта для горизонтальных и наклонных завершений скважин, в том числе для горизонтальных и наклонных стволов скважин как без трещин, так и с трещинами, созданными посредством гидравлического разрыва, для определения отношения анизотропии проницаемости в вертикальном направлении к проницаемости в горизонтальном направлении и эффективной длины ствола скважины по горизонтали. В процедуре анализа также могут быть использованы модели радиальных составных пластов, посредством которых определяют характеристики отдельных перфорированных интервалов скважины в смешанном многослойном пласте, имеющем две или большее количество областей с заметно отличающимися характеристиками.
Дебит и суммарный объем добычи всех трех флюидов (нефти или конденсата, газа и воды) из каждого перфорированного интервала скважины в пласте, а также соответствующую картину динамики изменения давления в средней зоне ствола скважины получают, помимо использования зарегистрированной истории динамики изменения объема добычи из смешанного пласта и диаграммы результатов геофизических измерений в скважине (или результатов измерений с использованием манометров и скважинных расходомеров), посредством модели анализа планирования добычи из смешанного пласта и процедур, изложенных в вышеуказанной заявке на изобретение, находящейся в процессе одновременного рассмотрения, которая принадлежит автору настоящего изобретения. Определение данных для воды и углеводородов может быть осуществлено из диаграммы результатов геофизических исследований в эксплуатируемой скважине. При использовании более усовершенствованного способа обнаружения и измерения объемного содержания газа в совокупности с диаграммой результатов геофизических исследований в эксплуатируемой скважине может быть также определен дебит газа и углеводородных жидкостей по потоку флюида, фонтанирующего из скважины.
Таким образом, настоящее изобретение в своих аспектах предлагает следующее.
В одном из аспектов настоящего изобретения предлагается способ оптимизации добычи из законченных скважин в продуктивном пласте, имеющих множество перфорированных интервалов скважины, посредством анализа имеющихся данных о добыче и данных геофизических исследований в эксплуатируемой скважине, обеспечивающий процедуру количественного анализа характеристик пласта и трещин с использованием данных о смешанном пласте, содержащий этапы, при которых
а) осуществляют измерение значений давления для заранее заданных зон в пласте;
б) осуществляют выбор процедуры вычисления профиля распределения давления;
в) вычисляют значения давления в средней зоне ствола скважины с использованием процедуры вычисления профиля распределения давления;
г) осуществляют сравнение вычисленных значений давления в средней зоне ствола скважины с измеренными значениями давления;
д) осуществляют построение модели давления пластовых флюидов у забоя скважины на основе процедуры вычисления профиля распределения давления;
е) осуществляют сравнение вычисленных значений давления с данными о предыстории протекания процесса; и
ж) осуществляют определение и выбор процесса повторного закачивания скважины для получения максимального объема добычи в каждой зоне.
В одном из аспектов настоящего изобретения предлагается способ оптимизации, в котором при операции сравнения осуществляют следующую операцию: результат операции сравнения признают положительным в том случае, если вычисленные значения давления в средней зоне ствола скважины находятся в пределах заранее заданной области допустимых отклонений относительно измеренных значений давления, и результат операции сравнения признают отрицательным в том случае, если вычисленные значения давления в средней зоне ствола скважины находятся вне заранее заданной области допустимых отклонений.
В одном из аспектов настоящего изобретения предлагается способ оптимизации, в котором после признания результата операции сравнения отрицательным осуществляют повторение операции выбора, операции вычисления и операции сравнения до признания результата операции сравнения положительным.
В одном из аспектов настоящего изобретения предлагается способ оптимизации, в котором пласт разделяют сверху донизу на заданные интервалы, каждый из которых имеет верхний конец, середину и нижний конец, и в котором вычисление профиля распределения давления осуществляют с использованием значений суммарного дебита смешанной продукции пласта в середине верхнего перфорированного интервала скважины.
В одном из аспектов настоящего изобретения предлагается способ оптимизации, в котором вычисление значений дебита флюидов в стволе скважины между серединой верхнего перфорированного интервала скважины и серединой перфорированного интервала скважины, находящегося в средней зоне ствола скважины, осуществляют с использованием значений суммарного дебита каждой из фаз флюида из смешанного пласта за вычетом значений дебита в верхнем перфорированном интервале скважины.
В одном из аспектов настоящего изобретения предлагается способ оптимизации, в котором вычисление профиля распределения давления между серединами перфорированных интервалов, расположенных в средней чести и в нижней части скважины, осуществляют с использованием значений дебита отдельных фаз флюида, которые представляют собой разности между значениями суммарного дебита фазы флюида в системе смешанного пласта и суммой дебитов фазы флюида из тех перфорированных интервалов скважины, которые расположены в верхней и в средней частях ствола скважины.
В одном из аспектов настоящего изобретения предлагается способ оптимизации, в котором вычисление дебита и профиля распределения давления при выполнении операции вычисления осуществляют последовательно для каждого интервала, начиная с устья скважины, и вплоть до наиболее глубокого перфорированного интервала скважины.
КРАТКОЕ ОПИСАНИЕ ЧЕРТЕЖЕЙ
На чертеже показан пример систематики и последовательности вычислительной процедуры в соответствии с предметом настоящего изобретения.
ПОДРОБНОЕ ОПИСАНИЕ ПРЕДПОЧТИТЕЛЬНЫХ ВАРИАНТОВ ОСУЩЕСТВЛЕНИЯ ИЗОБРЕТЕНИЯ
В основу настоящего изобретения положена задача создания способа оптимизации общей добычи из нефтеносного пласта посредством определения и исправления возбужденных, слабо возбужденных или просто имеющих плохой дебит перфорированных интервалов скважин в многослойном смешанном пласте, для которых может быть осуществлено повторное закачивание с использованием любого из различных способов повторного закачивания (в том числе гидравлического разрыва, кислотной обработки, повторной перфорации или бурения одного или большего количества поперечных дренажных скважин, но эти примеры не являются ограничивающими). Способ из настоящего изобретения представляет собой средство управления пластом и содержит в себе общую методику анализа и исправления недостатков, которая была разработана для смешанных пластов. В этом изобретении используют недавно разработанную модель анализа планирования добычи для системы, состоящей из смешанных пластов, и процедуры, описанные в принадлежащей автору настоящего изобретения и находящейся в процессе одновременного рассмотрения заявке на изобретение №09/952656 от 12 сентября 2001 г., которая имеет название: "Оценка характеристик пласта и трещин, созданных в результате гидравлического разрыва, в многослойных смешанных пластах с использованием данных о дебите смешанных пластов и данных геофизических исследований (каротажа) в эксплуатационных скважинах" ("Evaluation of Reservoir and Hydraulic Fracture Properties in Multilayer Commingled Reservoirs Using Commingled Reservoir Production Data and Production Logging Information") и включена сюда путем ссылки.
На чертеже показан пример систематики и последовательности вычислительной процедуры в соответствии с предметом настоящего изобретения. Вычисление профилей изменения давления начинают последовательно с устья (10) скважины до середины каждого перфорированного интервала скважины. Дебит флюидов в каждом последовательном более глубоком сегменте ствола скважины уменьшаются по сравнению с предыдущим сегментом ствола скважины на величину дебита из перфорированных интервалов скважины, расположенных выше этого сегмента ствола скважины. Математические соотношения, посредством которых описывают поток жидкой фазы, поступающей в каждый из перфорированных интервалов ствола скважины (или из него), для дебита, соответственно, нефти, газа и воды в j-том перфорированном интервале скважины, имеют следующий вид:
q0j(t)=q0t(t)ƒ0j(t),
qgi(t)=qgt(t)ƒgi(t),
qwj(t)=qwt(t)ƒwj(t),
где:
q0j - дебит углеводородной жидкости в j-том сегменте перфорированного интервала скважины (в нормальных баррелях в сутки),
q0t - суммарный дебит системы (в нормальных баррелях в сутки),
ƒ0j - доля дебита углеводородной жидкости из j-того перфорированного интервала скважины по отношению к суммарному дебиту углеводородной жидкости из скважины (дробное число),
qgi - дебит газа в j-том сегменте перфорированного интервала скважины (в миллионах нормальных кубических футов
газа в сутки),
j - индекс перфорированных интервалов скважины,
qgt - суммарный дебит газа из скважины во всей системе (в миллионах нормальных кубических футов газа в сутки),
ƒgi - доля дебита газа из j-того перфорированного интервала скважины по отношению к суммарному дебиту газа из скважины (дробное число),
qwj - дебит воды в j-том сегменте перфорированного интервала скважины (в нормальных баррелях в сутки),
qwt - суммарный дебит воды из скважины во всей системе (в нормальных баррелях в сутки),
ƒwj - доля дебита воды из j-того перфорированного интервала скважины по отношению к суммарному дебиту воды из скважины (дробное число).
После математического вычисления соответствующих значений дебита флюидов в каждом сегменте ствола скважины с использованием вычислительной процедуры из вышеуказанной заявки на изобретение, находящейся в процессе одновременного рассмотрения, автором которой является автор настоящего изобретения, осуществляют объединение этих данных с зарегистрированной историей динамики изменения объема добычи из смешанного пласта и диаграммой результатов геофизических измерений в эксплуатируемой скважине (или результатов измерений посредством манометров и скважинных расходомеров) для определения наиболее эффективной стратегии повторного закачивания скважины. При использовании более усовершенствованного способа обнаружения и измерения объемного содержания газа в совокупности с диаграммой результатов геофизических исследований в эксплуатируемой скважине может быть также определен дебит газа и углеводородных жидкостей по потоку флюида, фонтанирующего из скважины.
Полагают, что в системе многослойного смешанного пласта множество диаграмм результатов геофизических исследований в эксплуатируемой скважине надлежащим образом описывают историю динамики изменения объема добычи для отдельных перфорированных интервалов скважины. Посредством вычислений согласно вышеупомянутой заявке на изобретение также может быть определен переток между слоями системы смешанного пласта в стволе скважины. При анализе может быть использована вся информация, содержащаяся в диаграмме результатов геофизических измерений в эксплуатируемой скважине, в том числе измеренные значения давления в стволе скважины, температуры и плотности флюидов. Результаты измерения давления в стволе скважины позволяют осуществлять выбор соотношения профиля распределения давления в стволе скважины, обеспечивающего наилучшее совпадение, для его использования в каждом сегменте ствола скважины. В процедурах вычисления профиля распределения давления также могут быть непосредственно использованы данные о распределении температуры в стволе скважины и о распределении плотности флюидов в стволе скважины.
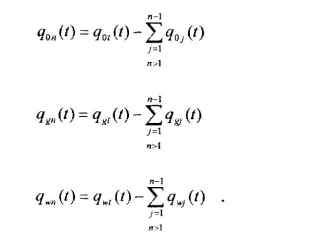
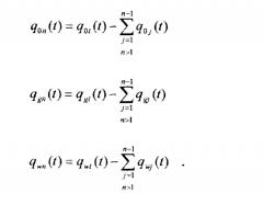
Значения дебита соответствующих фаз флюида в каждом сегменте ствола скважины для, соответственно, нефти, газа и воды в n-ом сегменте профиля распределения давления вдоль ствола скважины также определяют математически посредством следующих соотношений:
Вычисление дебита и профиля распределения давления как для сценариев добычи, так и для сценариев нагнетания выполняют последовательно для каждого сегмента ствола скважины, начиная с поверхности или с устья (10) скважины и заканчивая тем перфорированным интервалом скважины, который расположен наиболее глубоко в стволе скважины.
Анализ, осуществляемый согласно способу из настоящего изобретения, полностью обеспечивает соблюдение фундаментальных соотношений в отношении притока, которые определяют собой характеристики переходных процессов в многослойном смешанном пласте. Предполагая, что для скважины справедливы точные диаграммы результатов геофизических исследований в эксплуатационной скважине, то в том случае, когда прохождение вертушечного расходомера через перфорированный интервал скважины не приводит к снижению дебита скважины (сравнение дебита скважины в верхней и в нижней частях перфорированного интервала скважины, дебит в верхней части превышает дебит в нижней части или равен ему), в этот интервал не поступают никакие флюиды из ствола скважины (потери в перфорированном интервале скважины отсутствуют, то есть отсутствует переток). Во-вторых, как только достигнуто минимальное пороговое значение дебита скважинных флюидов, обеспечивающее устойчивое и точное функционирование вертушечного расходомера, все измерения более высоких значений дебита также дают точные результаты. Наконец, суммарный вклад от всех перфорированных интервалов скважины равен смешанному дебиту системы как для добычи, так и для нагнетания.
В предпочтительном варианте осуществления изобретения для анализа используют два входных файла данных в формате ASCII (Американский стандартный код обмена информацией). Первый файл представляет собой файл управления анализом, который содержит в себе переменные значения, посредством которых задают то, каким образом следует выполнять анализ (то есть какие характеристики флюидов и какие соотношения профилей распределения давления следует использовать, и информацию о геометрии ствола скважины и данные диаграммы результатов геофизических исследований в эксплуатационной скважине). Второй файл содержит в себе значения гидродинамического давления и температуры в устье скважины смешанной системы, а также значения дебита отдельной жидкой фазы либо значения суммарного объема добычи в виде функции, зависящей от продолжительности эксплуатации.
После выполнения анализа осуществляют генерацию двух выходных файлов. Основной выходной файл содержит в себе все входные данные, заданные для анализа, промежуточные результаты вычислений и истории динамики изменения объема добычи для отдельного перфорированного интервала скважины и заданной секции пласта. Файл дампа содержит в себе только представленные в виде таблицы выходные результаты для заданных секций пласта, импорт которых может быть осуществлен в любом другом месте.
Файл управления анализом содержит в себе большое количество параметров управления анализом, которые пользователь может использовать для выполнения анализа планируемых дебитов таким образом, чтобы обеспечить соответствие наиболее часто встречающимся условиям в стволе скважины и состоянию продуктивного пласта.
Для вычисления дебитов отдельных перфорированных интервалов скважины или совокупных значений используют данные о характере изменения диаграмм результатов геофизических исследований скважины во времени и значения дебитов или совокупной добычи из скважины в системе смешанного пласта. Затем, исходя из определенного суммарного объема добычи отдельной жидкой фазы, могут быть определены дебиты отдельных жидких фаз, или наоборот, как для значений дебита в устья скважины системы смешанного пласта, так и для значений дебита отдельных перфорированных интервалов скважины. В качестве дополнительных входных данных могут быть указаны значения дебитов для продукции скважины в системе смешанного пласта или значения суммарного объема добычи.
С использованием значений дебита потоков отдельных флюидов в каждом сечении ствола скважины осуществляют оценку профиля распределения давления в каждом сегменте ствола скважины, в частности давления в скважине в верхней части этого сечения ствола скважины и распределений температуры и плотности флюидов в этом сечении вдоль ствола скважины. Этот анализ выполняют последовательно, начиная с поверхности и продолжая его до наиболее глубокого перфорированного интервала скважины. Значения дебита отдельных фаз флюида в каждом сегменте вдоль ствола скважины представляют собой разности между значениями суммарного дебита фазы флюида в скважине системы смешанного пласта и суммой дебитов фазы флюида из всех перфорированных интервалов скважины, находящихся в скважине выше этого сегмента ствола скважины. Следовательно, при вычислениях профиля распределения давления в самом верхнем сегменте по ходу скважины используют значения дебита, представляющие собой значения суммарного дебита скважины в системе. Для второго перфорированного интервала скважины при оценке профиля распределения давления используют значения дебитов отдельных фаз флюида, представляющие собой значения суммарного дебита скважины в системе за вычетом дебита каждойиз фаз флюида в верхнем перфорированном интервале скважины. Следовательно, значения давления в стволе скважины в верхней части второго профиля распределения давления равны значениям давления в стволе скважины в нижней части первого профиля распределения давления. Этот процесс повторяют последовательно для всех более глубоких перфорированных интервалов скважины, имеющихся в стволе скважины.
В результате такого анализа осуществляют вычисление полной истории динамики изменения объема добычи для каждого отдельного перфорированного интервала скважины в пласте. Полный набор данных истории динамики изменения объема добычи содержит в себе значения давления в средней зоне ствола скважины и значения дебита и суммарного объема добычи углеводородной жидкости (нефти или конденсата), газа и воды в виде функции от срока эксплуатации. Такой анализ также позволяет осуществлять оценку заданных пользователем секций пласта, состоящих из одного или большего количества перфорированных интервалов скважины. Секции пласта могут представлять собой либо участки, в которых выполнена операция гидравлического разрыва пласта, либо просто перфорированные интервалы скважины, которые расположены в непосредственной близости друг от друга, либо просто указанные пользователем совокупные истории динамики изменения объема добычи для секций пласта. Затем осуществляют оценочные вычисления этих отдельных историй динамики изменения объема добычи для перфорированного интервала скважины или совокупных историй динамики изменения объема добычи для секции пласта с использованием одной или более из нескольких операций анализа динамики изменения объема добычи для одиночных зон.
Для непосредственного вычисления потока, фонтанирующего через вскрытую поверхность стенок скважины в песчаном пласте, а также значений статического давления ствола скважины в закрытой скважине и значений статического давления в закрытой скважине для каждого отдельного перфорированного интервала скважины, могут быть использованы модели потери давления при перфорационном закачивании скважины и закачивании скважины с использованием гравийного фильтра. При анализе может быть использовано несколько моделей потерь при перфорационном закачивании скважины, а также множество моделей потерь при закачивании скважины с использованием гравийного фильтра.
В используемых здесь моделях для количественного анализа для определения характеристик трещин и пласта в системе многослойного смешанного пласта в месте их залегания осуществляют инверсию историй динамики изменения объема добычи для отдельного перфорированного интервала скважины или для заданной секции пласта. Полученные результаты могут быть затем использованы для определения не возбужденных, слабо возбужденных или просто имеющих плохой дебит перфорированных интервалов скважин, находящихся в стволе скважины, которые могут быть возбуждены для повышения продуктивности скважины. Примерами такого возбуждения являются различные виды гидравлического разрыва, кислотной обработки или повторной перфорации, но эти примеры не являются ограничивающими. Операции создания трещин посредством гидравлического разрыва для осуществления повторного закачивания изолированных перфорированных интервалов скважины, для которых необходимо увеличить добычу, могут быть выполнены с использованием обычной методики возбуждения трещин посредством способов с изоляцией горизонтов. Примерами этих способов являются, в том числе, способы с использованием песчаных пробок, глухих пробок, пакеров и закупоривающих материалов, или недавно внедренный способ гидравлического разрыва с использованием спиральных насосно-компрессорных труб, но эти примеры не являются ограничивающими. Аналогичным образом, кислотное возбуждение плохо возбужденных перфорированных интервалов скважины может быть осуществлено посредством обычной методики и оборудования для кислотного возбуждения или посредством спиральных насосно-компрессорных труб, с использованием, при необходимости, способов изоляции горизонтов. Повторная перфорация плохо перфорированных интервалов скважины может также быть выполнена различными средствами, в том числе посредством способов перфорирования с перемещением талевого каната и спиральных насосно-компрессорных труб, но эти примеры не являются ограничивающими.
Затем может быть выполнена экономическая оценка интенсификации добычи, достигнутой в результате повторного закачивания перфорированных интервалов скважины с недостаточным дебитом, для определения жизнеспособности различных возможных и практически используемых способов повторного закачивания скважины.
Изобретение содержит в себе общую методику оптимизации добычи из продуктивного пласта, которая описана в вышеупомянутой заявке на изобретение, принадлежащей автору настоящего изобретения, и в нем используют любой возможный фрагмент имеющейся для скважины информации о пласте, о закачивании скважины и о динамике изменения объема добычи. Эта информация содержит в себе: данные каротажа для скважины, не закрепленной обсадными трубами, и скважины с обсаженным забоем; данные о трубной арматуре ствола скважины и об их конфигурации; данные об измерениях искривления ствола скважины; информация о закачивании скважины посредством перфорации и гравийного фильтра; данные о способах возбуждения скважины, о выполнении обработки и их оценка; диаграмму результатов геофизических исследований (каротажа) в скважине, скважинной расходометрии и измерения ствола скважины; данные о наземном сепарационном оборудовании и условиях его эксплуатации; данные об испытаниях при переменном давлении или дебите; совокупные данные о дебите смешанного пласта во всей системе; геологическую, геофизическую и петрофизическую информацию, а также способы описания продуктивного пласта; результаты периодических исследований давления в продуктивном пласте и его пропускной способности; полную историю бурения скважины, закачивания скважины и динамики изменения объема добы
 
                         
                            
