Выделение фазы при микроэлектрическом измерении в непроводящей жидкости
Иллюстрации
Показать всеИзобретение относится к разведке углеводородов путем проведения микроэлектрических измерений в заполненном непроводящей текучей средой стволе скважины. Сущность: способ включает инжектирование тока в формацию в первой позиции вдоль стены скважины и возвращение этого тока во второй позиции вдоль стены. Ток формации имеет частоту ниже примерно 100 кГц. Измеряют напряжения в формации между третьей и четвертой позициями, которые расположены вдоль стены скважины между первой и второй позициями. Вычисляют ток формации путем вычитания тока утечки. Определяют амплитуду составляющей напряжения, которая находится в фазе с током формации. Технический результат: выделение сигналов формации на фоне нежелательных сигналов. 2 н. и 9 з.п. ф-лы, 11 ил.
Реферат
Область техники, к которой относится изобретение
Изобретение относится в основном к разведке углеводородов путем проведения электрических исследований. Более конкретно, изобретение относится к способу и устройству для выделения требуемых сигналов на фоне смещенных от них по фазе нежелательных сигналов.
Уровень техники
При разведывании скважин, пробуренных сквозь грунтовую формацию (пласт), желательно знать характеристики геологического пласта на различных отметках глубины скважины. Эти характеристики включают стратификацию, неоднородные элементы, а также размер и форму пор и трещин в формации.
Один способ для выявления этих характеристик использует устройство с рядом токовых электродов, расположенных на передней грани проводящей контактной площадки, которая прижимается к стене скважины. Источник постоянного тока вводит (инжектирует) измерительный ток в формацию через электрод источника и возвращает ток через возвратный электрод, расположенный на другой части площадки. Площадка передвигается вдоль стены скважины, и связанные с каждым электродом дискретные сигналы тока соотносятся с удельным электрическим сопротивлением пласта. Если, однако, используется непроводящая буровая жидкость (буровой раствор), такая как буровая жидкость на основе нефти или буровая жидкость типа эмульсии воды в нефти, то получаемый в результате непроводящий слой буровой жидкости между контактной площадкой и стенкой ствола скважины производит слабые и не пригодные для использования сигналы.
Другой способ позволяет получить изображение скважины, пробуренной с использованием непроводящего бурового раствора. Оборудование для этого способа использует непроводящую площадку с двумя инжекторами тока и массив потенциальных электродов. Два инжектора тока, электрод источника и возвратный электрод инжектируют ток в формацию, и этот ток проходит через формацию параллельно контактной площадке. Потенциальные электроды измеряют разность напряжений в формации, где проходит ток. Это измерение напряжения важно, потому что удельное сопротивление формации связано с напряжением.
Удельное сопротивление формации может быть вычислено из следующего уравнения:
где ρ - это удельное сопротивление формации, Е - электрическое поле в формации и J - плотность тока. Электрическое поле Е определяется дифференциалом напряжения δV, деленным на расстояние разнесения потенциальных электродов, и плотность тока J определяется величиной тока I, деленной на геометрический фактор g. Подстановка выражений для Е и J в уравнение 1 дает:
где k - геометрический фактор с размерностью длины. Таким образом, удельное сопротивление формации может быть определено путем инжектирования тока в эту формацию, измерения напряжения и вычисления удельного сопротивления, используя уравнение 2.
Контактная площадка, используемая в прототипах в этом способе, показана на фиг. 1А и 1В. Эта площадка показана в целом на фиг.1, элемент 1. Она содержит электрод источника 2, возвратный электрод 3 и массив пар потенциальных электродов 4. Сама площадка 1 сконструирована из непроводящего, изолирующего материала 5, такого как керамика или полимеры, имеющего высокую прочность, а также высокую химическую устойчивость и высокую термостойкость.
Площадка 1 прикладывается к стене скважины 7, которая может иметь слой глинистой корки 6. Электрический ток инжектируется в формацию 8 через электрод 2 источника, возвращаясь на возвратный электрод 3. Потенциальные электроды 4 измеряют напряжение в пласте 8, и удельное сопротивление формации может быть вычислено, используя вышеприведенное уравнение 2.
Когда площадка 1 не контактирует со стеной 7 скважины, расстояние между площадкой 1 и стеной 7 скважины называется «зазор». Есть три основных следствия отклонения: (1) сигналы буровой жидкости и площадки, (2) утечка тока, (3) погрешности напряжения. Есть различные пути уменьшения этих последствий, так, чтобы можно было произвести точные измерения, даже когда площадка 1 не находится в прямом контакте со стеной 7 скважины.
Электроды тока 2 и 3 генерируют электрическое поле в буровом растворе и в изолирующей площадке 5, детектируемое потенциальными электродами 4. Одно из средств уменьшения сигнала площадки, показанное на фиг.9В, состоит в использовании проводящей задней панели 92, расположенной позади изолирующей площадки 5 и параллельно передней части прибора 1. На задней панели 92 поддерживается электрический потенциал, равный потенциалу формации перед потенциальными электродами 4. Этот метод описан в патенте WO 0177711. Он экранирует массив потенциальных электродов от сигналов бурового раствора или площадки.
«Утечка тока» подразумевает условие, когда не весь ток, инжектируемый от электрода 2 источника, проходит через формацию 8, как показано на фиг.1А. В идеальном случае, когда площадка 1 имеет хороший контакт со стеной 7 скважины, инжектируемый ток почти полностью проходит через пласт 8. Но когда буровой раствор или слой глинистой корки 6 лежит под одним или обоими токовыми электродами 2, 3, когда есть значительный зазор, часть тока, называемая током утечки, будет уходить посредством емкостной связи от электрода 2 источника к возвратному электроду 3, не проходя через пласт 8. Эта ситуация показана в модельной цепи на фиг.2.
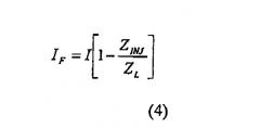
Фиг.2 представляет источник 21 тока, смоделированный так, чтобы быть в параллельной цепи с полным сопротивлением утечки ZL и меняющимся полным сопротивлением бурового раствора ZM. Ток пласта IF проходит через полное сопротивление бурового раствора или слоя глинистой корки и через формацию. Ток утечки IL проходит через полное сопротивление утечки ZL, но не проходит через формацию. При вычислении удельного сопротивления формации в уравнении 2 должен использоваться ток формации.
Ток утечки IL и ток формации IF суммируются в полный ток I. Таким образом, ток формации дается следующей формулой:
| I F = I - I L | (3) | 
Используя Z=(V/I), вышеприведенное уравнение можно преобразовать в более удобную для использования форму
где ZINJ - суммарное полное сопротивление, воспринимаемое цепью инжектора, в соответствии с измерением прибора, а ZL - полное сопротивление утечки прибора, которое можно определить экспериментально. Таким образом, ток формации IF можно вычислить, исходя из напряжения и тока инжекции, не зная полное сопротивление формации ZF, величины отклонения или свойств бурового раствора. Альтернативный метод определения истинного тока в формации состоит в использовании инжекционных электродов 2, 3, которые экранируются проводящим корпусом, в котором на экранах поддерживается тот же электрический потенциал, что и на каждом электроде, как описано в патенте WO 0177710.
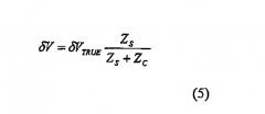
Ошибки в измерениях напряжения происходят из-за того, что потенциальные электроды 4 соединяются не только с формацией, но и с проводящей задней панелью. Выходное значение напряжения на электродах дается формулой:
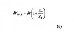
где δVTRUE - истинное напряжение в формации, ZS - полное сопротивление связи с задней панелью и ZC - полное контактное сопротивление между потенциальными электродами и формацией. Решая относительно δVTRUE, получаем следующую скалярную поправку:
Фиг.4 представляет схему эквивалентной цепи, иллюстрируя электрический ток при использовании устройства-прототипа. Она подобна фиг.2, но представляет более детально путь тока IF в формации. Фиг.4 иллюстрирует, что полное сопротивление бурового раствора ZM, показанного на фиг.2, представляет собой последовательность, содержащую полное сопротивление бурового раствора на верхнем электроде, или электроде источника ZMU, сопротивление формации RF, и полное сопротивление бурового раствора на нижнем электроде, или возвратном электроде ZML. Таким образом, электрический ток в формации течет через сопротивление формации RF и два полных сопротивления бурового раствора ZMU, ZML.
В первом приближении полное контактное сопротивление электрода напряжения ZC линейно пропорционально среднему полному контактному сопротивлению электродов для инжектирования тока
где AINJ - площадь инжектора тока 2, 3, и Abut - площадь потенциального электрода 4 (кнопка).
Поскольку полное сопротивление бурового раствора под инжекторами ZMU, ZML обычно много больше, чем полное сопротивление формации RF, то V=IR можно переписать в виде
где IF дается уравнением 4, а V - это разность напряжений между токовыми электродами 2, 3. Таким образом, δVTRUE можно вычислить из V и I, не зная величину зазора или свойства бурового раствора.
Фиг.3А и 3В представляют экспериментальные данные по удельному сопротивлению. Фиг.3А показывает необработанные, некорректированные данные, полученные для двух различных типов бурового раствора, а именно - для буровых растворов с соотношениями нефти к воде 90/10 и 50/50, и для двух различных формаций с известным удельным сопротивлением 20 Ω-m и 200 Ω-m. Представлены также данные для обсадных труб из проводящей стали. Графики данных для обсадных труб представляют сигнал в буровом растворе и демонстрируют влияние сигнала бурового раствора на измеряемое удельное сопротивление по мере увеличения зазора. При больших зазорах измеренный сигнал почти полностью состоит из сигнала бурового раствора и не включает в себя сигнал формации. Фиг.3В представляет данные по удельному сопротивлению после применения скалярной поправки в уравнениях 4 и 6. Кривые удельного сопротивления после скалярной поправки в двух формациях являются более точными в области, начинающейся при отсутствии зазора и простирающейся до точки на каждой кривой, где сигнал бурового раствора становится доминирующим, но при большом зазоре сигнал бурового раствора подавляет сигнал формации и эти данные неприменимы.
Сущность изобретения
Одним из аспектов изобретения является способ исследования путем электрических измерений ствола скважины в геологической формации, который включает в себя инжектирование тока в эту формацию в первой позиции на стене скважины, возврат тока во второй позиции на стене и измерение напряжения между третьей и четвертой позициями, которые расположены между первой и второй позициями. Способ включает в себя определение компоненты напряжения, синфазной с током. В одном воплощении изобретение также включает в себя вычисление удельного сопротивления формации на основе величины тока и той компоненты напряжения, которая синфазна с током. В других воплощениях изобретение включает в себя применение скалярной поправки для компенсации утечки тока и неточностей напряжения.
Каротажное устройство согласно настоящему изобретению включает в себя контактную площадку, выполненную с возможностью образования контакта со стеной скважины, электрод источника, расположенный на этой площадке и выполненный с возможностью инжектирования электрического тока в формацию, возвратный электрод, также расположенный на площадке и выполненный с возможностью приема тока, инжектируемого электродом источника, амперметр, оперативно подсоединенный к цепи электродов, по меньшей мере, одна пара потенциальных электродов, расположенных на фронтальной части площадки между электродом источника и возвратным электродом, и фазочувствительный детектор, оперативно соединенный с потенциальными электродами и выполненный с возможностью измерения амплитуды составляющей напряжения, которая находится в фазе с электрическим током. В одном воплощении площадка изготовлена из непроводящего материала и имеет проводящую заднюю панель, расположенную на задней стороне площадки. Другие аспекты и преимущества изобретения будут очевидны из нижеследующего описания и прилагаемой формулы изобретения.
В одном воплощении фазочувствительный детектор оперативно соединен с потенциальными электродами и выполнен с возможностью измерения амплитуды той компоненты напряжения между электродами, которая находится в фазе с вычисленным током формации.
Краткое описание чертежей
Фиг.1А представляет поперечное сечение прототипного устройства в контакте с формацией.
Фиг.1 В показывает вид передней части устройства, представленного на фиг.1А.
Фиг.2 представляет диаграмму цепи модели, используемой в прототипе.
Фиг.3А представляет график необработанных данных удельного сопротивления.
Фиг.3В представляет график данных удельного сопротивления после введения скалярной поправки, как это делается в прототипе.
Фиг.4 представляет образец диаграммы цепи, иллюстрируя путь тока при использовании прототипного устройства.
Фиг.5 представляет график, демонстрирующий расфазировку напряжения относительно тока формации как функцию зазора.
Фиг.6 представляет график данных по удельному сопротивлению, полученных путем использования компоненты напряжения, находящейся в фазе с суммарным током, а также с использованием скалярной поправки.
Фиг.7 представляет блок-схему воплощения способа согласно настоящему изобретению.
Фиг.8 представляет блок-схему другого воплощения способа согласно настоящему изобретению.
Фиг.9А представляет устройство согласно настоящему изобретению с фазочувствительным измерительным прибором.
Фиг.9 В представляет устройство с проводящей задней панелью.
Осуществление изобретения
Настоящее изобретение включает в себя новый способ и устройство для выделения сигналов при проведении микроэлектрических исследований ствола скважины на фоне нежелательных сигналов. Изобретение основано на электрических свойствах, проявляемых материалами около электродов под напряжением, когда частота источника переменного тока около 100 кГц. Во-первых, при частоте ниже и около 100 кГц большинство геологических формаций могут рассматриваться как чисто резистивные материалы. То есть диэлектрической проницаемостью формации можно пренебречь
где σ - удельная проводимость пласта, f - частота инжектируемого переменного тока, ε0 - диэлектрическая проницаемость вакуума и εr - относительная диэлектрическая проницаемость пласта.
Во-вторых, ниже и около 100 кГц изолирующие материалы, окружающие электроды тока, могут рассматриваться как чистые диэлектрики. То есть электропроводностью изолирующих материалов можно пренебречь
Наконец, буровой раствор можно рассматривать как диэлектрик с утечкой тока:
или
Из-за диэлектрической природы бурового раствора и изоляционных материалов все полные сопротивления, представленные на фиг.4, являются комплексными полными сопротивлениями, эквивалентными параллельным комбинациям резисторов и емкостей, в которых доминирует емкостная часть. В результате, в то время как разность потенциалов, генерируемая в формации, будет синфазна (в одной фазе) с током формации IF, разности потенциалов, генерируемые в участках утечки, будут сбиты по фазе относительно тока формации на угол между 0° и -90°, из-за емкостной природы сопротивлений утечки.
Используя это явление, можно частично выделить сигнал формации на фоне сигналов жидкости и изолирующего материала. Этого можно достичь, используя следующее выражение:
где ϕF - фаза напряжения δV по отношению к току формации IF. Ток формации и его фаза могут быть измерены путем использования экранированных инжекторов тока, как описано в разделе Уровень техники и патенте WO 0177710, или могут быть вычислены на основе эквивалентной цепи, показанной на фиг.4, путем независимого измерения полного сопротивления утечки ZL и полагая, что оно является постоянной величиной.
Далее, экспериментальные данные показали, что для практических целей достаточно измерить фазу суммарного тока I и использовать ту составляющую напряжения δV, которая находится в фазе с этим полным током. Таким образом, вышеприведенное уравнение упрощается до:
где ϕ - фаза δV по отношению к суммарному току I.
Фиг.5 представляет измеренную фазу напряжения δV относительно тока формации I как функцию зазора. Как в случае фиг.3А и 3В, график на фиг.5 демонстрирует данные для двух различных типов бурового раствора и двух различных значений удельного сопротивления формации, наряду с данными для обсадных труб из проводящей стали. При нулевом зазоре эта фаза близка к нулю, указывая на отсутствие утечки (На обсадных трубах фаза при небольших зазорах не нулевая из-за шумов). При большом зазоре фаза равна -90°, указывая на существенную утечку. Сравнение фиг.3А и 5 показывает, что фазовый сдвиг -45° соответствует критической точке, в которой вычисленное удельное сопротивление начинает возрастать как результат того, что сигналы бурового раствора и площадки становятся сопоставимыми с сигналом формации.
Кроме того, можно использовать фазовую корректировку вместе со скалярной поправкой, описанной в разделе Уровень техники. Используя вышеприведенное уравнение 2, можно следующим образом рассчитать удельное сопротивление со скалярной поправкой, ρcor:
где а, функция (V/I) - фактор корректировки, полученный в результате теоретического моделирования или экспериментов, как указано в патенте WO 0177710.
Например, ρcor можно вычислить следующим образом:
где IF дается уравнением 4, a δVTRUE - уравнением 6. Фазовая коррекция может быть применена к скорректированному удельному сопротивлению для получения скорректированной величины удельного сопротивления с учетом его фазы, ρcph:
где ϕ - фаза δV по отношению к полному току I.
Фиг.6 представляет удельное сопротивление с учетом скорректированной фазы согласно данному изобретению как функцию зазора. Благоприятным является тот факт, что быстрый рост измеренного удельного сопротивления, обусловленный сигналами площадки и бурового раствора, становится более слабым, и рабочая зона прибора расширяется на большие значения зазора.
Фиг.7 представляет способ согласно настоящему изобретению. К нескольким вариантам воплощения изобретения применяются различные принципы, которые обсуждались выше.
Во-первых, переменный ток с частотой около 100 кГц инжектируется в формацию, как показано на фиг.7, на этапе 71. Ток вводится в некоторой первой позиции вдоль стены скважины и возвращается во второй точке на стене скважины. В некоторых воплощениях первая и вторая позиции соответствуют местам расположения электрода источника и возвратного электрода на площадке.
Далее, напряжение измеряется между третьей и четвертой позициями вдоль стены скважины, причем указанные третья и четвертая позиции расположены между первой и второй позициями 72. В некоторых воплощениях третья и четвертая позиции соответствуют позициям разностных электродов на площадке.
Указанный способ включает в себя последующее определение амплитуды той компоненты напряжения, которая синфазна с током 73. После определения амплитуды этой синфазной составляющей способ включает в себя вычисление удельного сопротивления формации 74, в соответствии с уравнением 2. В некоторых воплощениях способ включает в себя определение той компоненты напряжения, которая находится в фазе с током формации. Ток формации определяется вычитанием тока утечки, вычисленного путем использования экспериментально определенного полного сопротивления утечки.
В некоторых воплощениях применяется скалярная поправка на утечку и на неточности напряжения 75. Эти поправки, представленные уравнениями 4 и 6, позволяют более точно вычислить удельное сопротивление в диапазоне между нулевым зазором и точкой, в которой сигнал бурового раствора становится доминирующим.
Фиг.8 показывает еще одно воплощение данного изобретения, в котором определение синфазной компоненты осуществляется на основе ранее записанных данных. Это воплощение включает в себя определение амплитуды компоненты записанного напряжения, которая находится в фазе с записанным током 81. Удельное сопротивление формации может быть затем вычислено 82, используя вышеприведенные уравнения. Опять же, может быть применена скалярная поправка 83 для того, чтобы сделать вычисления удельного сопротивления более точными в диапазоне между нулевым зазором и точкой, где сигнал бурового раствора становится доминирующим. В некоторых воплощениях способ включает в себя определение величины компоненты напряжения, которая находится в фазе с током формации.
Каротажное устройство по данному изобретению представлено схематически на фиг.9А и 9В. На фиг.9А устройство 1 подобно прототипному устройству, показанному на фиг.1, в том, что оно имеет электрод источника 2, возвратный электрод 3 и потенциальные электроды 4, расположенные между электродом 2 источника и возвратным электродом 3. Устройство согласно данному изобретению имеет также амперметр 95, оперативно соединенный с цепью электрода источника и возвратного электрода, причем амперметр выполнен с возможностью измерения полного тока. Устройство 1 имеет также фазочувствительный детектор 91, который выполнен с возможностью измерения амплитуды напряжения, синфазного с током, посредством входа 96 для отсчета фазы.
Фиг.9В показывает другое воплощение устройства по данному изобретению, в котором прибор имеет непроводящую площадку 5 с проводящей задней панелью 92. Устройство также включает фазочувствительный детектор 91, выполненный с возможностью измерения амплитуды напряжения, которое синфазно с током.
Хотя изобретение было описано для ограниченного числа воплощений, специалисты в данной области, использующие это изобретение, оценят тот факт, что, не отступая за рамки объема раскрытого здесь изобретения, можно разработать другие его воплощения. Соответственно, объем правовой охраны изобретения должен быть ограничен только прилагаемой формулой изобретения.
1. Способ исследования посредством микроэлектрических измерений заполненного непроводящей текучей средой ствола скважины в геологической формации, включающий в себя следующие этапы:a) инжектирование тока в формацию в первой позиции, расположенной вдоль стены, и возврат тока во второй позиции вдоль стены, причем ток имеет частоту ниже примерно 100 кГц;b) измерение напряжения в формации между третьей позицией и четвертой позицией, расположенными вдоль стены, причем третья и четвертая позиции находятся между первой и второй позициями;отличающийся тем, что дополнительно содержит следующие этапы:c) вычисление тока формации путем вычитания тока утечки из этого тока; иd) определение амплитуды составляющей напряжения, которая находится в фазе с током формации.
2. Способ по п.1, дополнительно включающий в себя вычисление удельного сопротивления формации, исходя из тока формации и той компоненты напряжения, которая синфазна с током формации.
3. Способ по п.2, в котором вычисление удельного сопротивления формации включает в себя введение скалярных поправок на утечку тока и неточности напряжения.
4. Способ по п.1, в котором ток инжектируется через электрод источника и возвращается на возвратный электрод, причем как электрод источника, так и возвратный электрод экранируются проводящим корпусом, на котором поддерживается тот же электрический потенциал, что и на каждом из электродов.
5. Способ по п.1, в которомопределение амплитуды составляющей напряжения, находящейся в фазе с сигналом тока формации, выполняют с использованием предварительно записанных данных тока формации, вычисленного путем вычитания тока утечки из предварительно записанных данных тока, полученных путем выполнения этапа а) по п.1, и предварительно записанного сигнала напряжения, причем предварительно записанный сигнал напряжения получают путем выполнения этапа b) по п.1.
6. Способ по п.5, дополнительно включающий вычисление удельного сопротивления формации, используя предварительно записанные данные тока формации и составляющую сигнала напряжения, находящуюся в фазе с сигналом тока формации.
7. Способ по п.6, в котором вычисление удельного сопротивления формации включает в себя применение скалярной поправки на неточности напряжения.
8. Способ по п.5, в котором ток утечки вычисляется путем использования экспериментально определенного полного сопротивления утечки.
9. Каротажное устройство (устройство для геофизического исследования скважины) для проведения микроэлектрических измерений в заполненном непроводящей текучей средой стволе скважины, включающее в себяплощадку, выполненную с возможностью приведения ее в контакт со стеной скважины;электрод (2) источника, расположенный на площадке, причем электрод источника выполнен с возможностью инжектирования электрического тока в формацию;возвратный электрод (3), расположенный на площадке, причем возвратный электрод выполнен с возможностью приема электрического тока, инжектированного электродом источника;амперметр, оперативно подсоединенный к цепи, включающей в себя электрод источника и возвратный электрод;по меньшей мере, одна пара потенциальных электродов (4), расположенных на площадке между электродом источника и возвратным электродом,отличающееся тем, что дополнительно содержит фазочувствительный детектор (91), оперативно подсоединенный к потенциальным электродам и выполненный с возможностью измерения амплитуды той составляющей напряжения между электродами, которая находится в фазе с током формации.
10. Каротажное устройство по п.9, в котором площадка выполнена из непроводящего материала, и дополнительно включающее в себяпроводящую заднюю панель (92), расположенную на задней стороне площадки и покрывающую большую часть области между электродом источника и возвратным электродом.
11. Каротажное устройство по п.9, в котором фазочувствительный детектор оперативно соединен с потенциальными электродами и выполнен с возможностью измерения амплитуды той компоненты напряжения между электродами, которая находится в фазе с вычисленным током формации.
 
                         
                            


