Способ и устройство для перемещения в газообразной или жидкой среде
Иллюстрации
Показать всеИзобретение относится к транспортным аппаратам, а более точно к транспортным аппаратам, перемещаемым в газообразной или жидкой среде, и может быть использовано в летательных аппаратах вертикального взлета и посадки. Способ создания в газовой или жидкой среде движущей силы транспортного аппарата с осевой симметрией заключается в том, что перед передней поверхностью его создают поток среды с радиально расходящимся и азимутальным движением и под всей областью радиального и азимутального движения потока создают разрежение. Направление движения внешней среды, подсасываемой в область разрежения, искривляют так, чтобы к передней поверхности аппарата поток подходил касательно, для чего в области формирования радиального потока поток отклоняют от оси, а на остальной части передней поверхности его отклоняют к оси аппарата. Транспортный аппарат включает корпус и устройство формирования радиального потока среды, выполненное в виде центробежного вентилятора с лопатками, размещенного перед поверхностью корпуса. Лопатки вентилятора содержат участок, изогнутый в направлении движения, и плоский участок. Вентилятор имеет формирующее днище, которое пересекает плоский участок лопаток. Днище выполнено конусным и проницаемым для среды. Поверхность аппарата профилирована, а участок под вентилятором выполнен плоским. При размерах, больших размеров лопаток, корпус искривлен к оси. Достигается расширение области применения транспортных аппаратов. 2 н. и 3 з.п. ф-лы, 1 ил., 1 табл.
Реферат
Изобретение относится к транспортным аппаратам, а более точно касается транспортных аппаратов, перемещаемых в газообразной или жидкой среде, и может быть использовано в летательных аппаратах вертикального взлета и посадки.
В настоящее время известен способ создания движущей силы для транспортных аппаратов, перемещающихся в жидкой или газообразной среде, например, для летательных аппаратов вертикального взлета и посадки, обладающих элементами конструкции с винтом. Известен способ создания движущей силы вертолетов, включающих различные конструкции с вертикально ориентированным винтом (см. Изаксон A.M. Советское вертолетостроение М.: Машиностроение, 1991). В способе посредством винта внешняя среда (воздух) приводится преимущественно в аксиальное движение в направлении вдоль оси винта, чем создается аксиально-направленный импульс, формирующий движущую силу, приводящую аппарат в движение. Недостатком способа является невысокая эффективность преобразования мощности двигателя в усилие и большие габариты винта, выходящие за размеры корпуса аппарата. Кроме того, необходимость управления вращающимися лопастями усложняет его конструкцию и увеличивает стоимость. Всем этим ухудшается его безопасность и сужается область его применения.
Известен способ создания движущей силы летательного аппарата осесимметричной конструкции с центробежным винтом (см. патент США №2,807,428 от 24.09.1957). В этом способе внутри осесимметричной конструкции посредством центробежного винта и искривленного воздухопровода внешнюю среду приводят преимущественно в аксиальное движение вдоль оси винта, чем создается аксиально-направленный импульс, формирующий перемещающую аппарат силу. Недостатком способа является низкая эффективность преобразования в движущую силу аппарата мощности двигателя и вращения центробежного винта. Это обусловлено неполным использованием возможностей винта при размещении его в корпусе и паразитным влиянием индуктивного сопротивления, возникающего при взаимодействии аксиального потока воздуха и днища аппарата, чем сужается область его применения.
Наиболее близким к изобретению по сущности и достигаемому результату является способ создания движущей силы летательного аппарата осесимметричной конструкции с центробежным винтом (см. патент США №3,915,411 от 28.10.1975).
В способе в осесимметричной конструкции на этапе старта аппарата посредством центробежного винта внешнюю среду приводят преимущественно в радиальное движение от оси винта. Поток среды, пройдя над передней поверхностью аппарата, попадает на его периферию в отклоняющие лопатки, которые и создают аксиально-направленный импульс, формирующий подъемную силу. Недостатком способа является низкая эффективность преобразования в движущую силу аппарата мощности двигателя и вращения центробежного винта. Это обусловлено неполным использованием возможностей винта и потока среды. Поскольку аксиальная составляющая, полученная потоком среды, полностью исчезает при достижении им днища винта и корпуса аппарата и паразитным влиянием индуктивного сопротивления, возникающего при взаимодействии аксиального потока воздуха и днища аппарата, чем сужается область его применения.
Известен транспортный аппарат, перемещаемый в среде, например, летательный аппарат, включающий элементы конструкции с осевой симметрией и винт, выполненный в виде центробежного компрессора, содержащего радиальные лопатки. Он характеризуется тем, что винт размещен внутри осесимметричной конструкции, не выходит за ее размеры и создает поток воздуха, направленный вдоль оси устройства (см. патент США №2,807,428 от 24.09.1957). В этом устройстве внутри осесимметричной конструкции посредством центробежного винта внешнюю среду приводят преимущественно в аксиальное движение на выходе из аппарата, чем создается импульс, формирующий движущую силу, приводящую его в движение. Недостатком является низкая эффективность преобразования мощности вращения центробежного винта в движущую силу аппарата. Это обусловлено неполным использованием возможностей винта при размещении его в корпусе и паразитным влиянием индуктивного сопротивления, возникающего при взаимодействии аксиального потока воздуха и днища аппарата, чем сужается область его применения.
Наиболее близким к изобретению по технической сущности и достигаемому результату является транспортный аппарат, перемещаемый в среде, например, летательный аппарат, включающий элементы конструкции с осевой симметрией и винт, выполненный в виде центробежного вентилятора, содержащего радиальные лопатки. Он характеризуется тем, что винт на этапе старта размещен над осесимметричной конструкцией, не выходит за ее размеры и создает радиальный поток воздуха, направленный от оси устройства (см. патент США №3,915,411 от 28.10.1975). В этом устройстве посредством центробежного винта внешнюю среду на этапе старта приводят в радиальное движение над аппаратом, а затем посредством лопаток поворачивают аксиально, чем создается импульс, формирующий подъемную силу, приводящую его в движение. Недостатком является низкая эффективность преобразования мощности вращения центробежного винта в движущую силу аппарата.
Это обусловлено неполным использованием возможностей винта и потока среды. Поскольку аксиальная составляющая, полученная потоком среды, полностью исчезает при достижении им днища винта и корпуса аппарата и паразитным влиянием индуктивного сопротивления, возникающего при взаимодействии аксиального потока воздуха и днища аппарата, чем сужается область его применения.
В основу изобретения положена задача разработать способ и устройство, обладающее высокой эффективностью преобразования мощности привода в движущую силу аппаратов, перемещаемых в жидкой и газовой среде, в частности летательных аппаратов.
Техническим результатом, достигаемым при реализации изобретения, является расширение области применения транспортных аппаратов.
Поставленная задача решается, а технический результат достигается за счет того, что реализуется способ создания в газовой или жидкой среде движущей силы транспортного аппарата с осевой симметрией, перед передней поверхностью которого создают поток среды, с радиально расходящимся и азимутальным движением, характеризующийся тем, что под областью радиального и азимутального движения потока создают разрежение, для чего сумма радиальной и азимутальной составляющих потока, по меньшей мере, вдвое, должна превышать скорость движения аппарата, причем траектории движения внешней среды, подсасываемой в область разрежения, искривляют так, чтобы к передней поверхности аппарата они подходили касательно, для чего в области формирования радиального потока траектории отклоняют от оси, а на остальной части передней поверхности их отклоняют к оси аппарата без потери аксиальной составляющей импульса потока.
При этом транспортный аппарат, включающий корпус с осевой симметрией и устройство формирования радиального потока среды, выполненное в виде центробежного вентилятора с лопатками, размещенного перед поверхностью осесимметричного корпуса, характеризуется тем, что лопатки содержат участок, изогнутый в направлении движения, и плоский участок, продольные размеры вентилятора больше или сравнимы с радиусом, он имеет формирующее днище, которое пересекает плоский участок лопаток, выполнено конусным и проницаемым для среды, поверхность аппарата профилирована, участок под вентилятором выполнен плоским, а при размерах, больших размеров лопаток, корпус искривлен к оси.
Возможен транспортный аппарат, который дополнительно содержит, по меньшей мере, одно кольцевое крыло, которое размещено напротив лопаток вентилятора в потоке среды, радиально расходящемся от него.
Возможен транспортный аппарат, который дополнительно содержит направляющие лопатки, которые размещены за центробежным вентилятором на корпусе аппарата.
Возможен транспортный аппарат, который дополнительно содержит управляющие плоскости, которые размещены на корпусе и крыле аппарата.
Другие преимущества настоящего изобретения будут ясны из подробного описания конкретных вариантов выполнения и прилагаемого чертежа, на котором схематически дан аппарат, перемещаемый в газовой или жидкой среде.
Транспортный аппарат представляет собой конструкцию, включающую корпус 1, с осевой симметрией, содержащий в себе привод вентилятора, систему управления и полезную нагрузку, например экипаж. И выполненный в виде центробежного вентилятора винт 2, содержащий радиальные лопатки 3. Винт размещен перед поверхностью осесимметричной конструкции корпуса, не выходит за ее размеры. Винт 2 может быть открыт с обоих его торцов. Лопатки 3 вентилятора 2 содержат входной профилированный участок 4, изогнутый в направлении движения лопатки, и плоский основной участок 5, ориентированный вдоль оси компрессора. Высота винта сравнима с его радиусом. В этом случае поток среды, входящей в диск, отклоняется действием центробежной силы от оси, и до достижения донной части ротора поток ускоренным выходит из вентилятора. Лопатки в их профилированной части наклонены, но так, чтобы сумма скоростной составляющей давления и давления в потоке в винте не превышали внешнее давление среды вне аппарата. Винт должен формировать скоростной поток и разрежение среды на всем его пути в области передней поверхности аппарата. Центробежный вентилятор 2 содержит формирующее днище 6. Оно выполнено конусным, проницаемым для среды и таким образом, что оно пересекает плоский участок 6 лопаток. Оптимальный угол наклона днища (у основания) при малой скорости аппарата лежит в области 30°. С ростом рабочей скорости движения аппарата угол наклона диска увеличивается, а профиль становится более сложным, чем просто конус.
Транспортный аппарат может дополнительно содержать направляющие лопатки 7, которые размещены за центробежным вентилятором. Лопатки выполнены прямыми вдоль оси аппарата, а в плоскости, перпендикулярной его оси, они профилированы. На входе лопатки имеют наклон в 45° к радиусу, а на выходе параллельны ему. Лопатки переводят аксиально закрученный поток в чисто радиальный поток, и при этом они в их хвостовой части могут разворачиваться, тем самым управляя вращением аппарата вокруг его оси.
Корпус транспортного аппарата можно выполнить так, чтобы он играл роль крыла, а его поверхность профилировать в виде плоскости, которая на радиусе, большем размеров лопаток вентилятора 8, искривлена к оси, чтобы поток протекал выше и касался его.
Кольцевое крыло транспортного аппарата 9 может быть также размещено на консолях напротив лопаток вентилятора в радиально расходящемся потоке среды.
Транспортный аппарат может дополнительно содержать управляющие плоскости, которые размещены на корпусе и крыле аппарата.
Способ создания в газовой или жидкой среде движущей силы транспортного аппарата с осевой симметрией характеризуется тем, что перед передней поверхностью всей его осесимметричной конструкции создают поток среды с преимущественно радиально расходящимся движением, который касательно обтекает эту поверхность. При этом поток среды создают центробежным вентилятором 2 с помощью профилированных участков радиальных лопаток 5, изогнутых в направлении движения. Поток внутри центробежного вентилятора 2 захватывают и направляют его от оси и вдоль оси ротора. Профилированные участки радиальных лопаток наклонены так, что поток имеет аксиальную составляющую и при этом он азимутально закручен. В результате действия центробежной силы в потоке формируется радиальная составляющая. В целом движение потека среды представляет собой винтовое расходящееся движение.
Совместным действием изогнутых участков лопаток и конусного профилированного днища 7 поток ускоряется от оси и при этом ускоряется вдоль оси аппарата. И в результате формируется аксиальное усилие, передаваемое от винта всему аппарату. Профилированное днище 7 выполнено пористым, например, щелевым. Поток частично проникает через щели в пространство ниже днища 7, но действием плоских участков лопаток вращающегося ротора вентилятора он отбрасывается от оси и с потоком выходит из него. Тем самым, перед плоским участком осесимметричного корпуса создается разрежение. Поскольку с нижней стороны этого крыла давление равно атмосферному давлению, то в этой области в целом создается подъемная сила, равная перепаду этих давлений, в пределе, равном скоростному разрежению на нижней крайней кромке лопасти, умноженном на площадь этого участка.
Перепад давления, или разрежение, формируемое на нижней кромке центробежного вентилятора, является динамическим. Поток газа, входящего в вентилятор, от верхней кромки винта пытается нейтрализовать его, но поскольку он действием центробежных сил отклоняется от оси, то в целом в нижней части винта создается разрежение.
Плоскость корпуса, на радиусе, большем размеров лопаток вентилятора, искривлена к оси, и поток, выходящий из вентилятора, касается ее. Поскольку скоростной поток, который вытекает из вентилятора, является источником разрежения, а с нижней стороны этого потока находится крыло, то подъемная сила формируется и в этой области крыла. С внешней стороны крыла к области разрежения движется газ (или жидкость). Он ускоряется в области разрежения скоростного потока, и чтобы полученный аксиальный импульс не гасился поверхностью, она выполнена искривленной. Радиус кривизны поверхности близок к радиусу центробежного вентилятора.
В процессе движения перед корпусом аппарата, при его взаимодействии со средой, создается скачок давления, тормозящего движение. Но если поток среды, с преимущественно радиально расходящимся движением, создаваемый винтом и касательно обтекающий его поверхность, по меньшей мере, вдвое превышает скорость движения аппарата, то при его движении перед поверхностью формируется и сохраняется область разрежения. Она, наряду с реактивным импульсом среды и является источником силы, ускоряющей аппарат.
Длина корпуса аппарата для уменьшения индуктивного сопротивления, вызванного подсосом газа (или жидкости) под днище аппарата, должна быть достаточно большой, сравнимой с диаметром винта или быть его больше, а его форма должна быть достаточно гладкой и без резких скачков огибать корпус.
Выходящий из центробежного вентилятора поток имеет аксиальную, радиальную и азимутальную составляющие. Лопатки, размещенные за центробежным вентилятором, позволяют направлять и управлять потоком. Лопатки можно выполнить ориентированными вдоль оси и профилировать так, что поток, не теряя своей аксиальной составляющей, будет иметь заданную и управляемую поворотом этих лопаток азимутальную составляющую. Тем самым мы можем управлять вращением аппарата вокруг его оси.
Кольцевое крыло транспортного аппарата 9 размещено в радиально расходящемся потоке среды, вытекающем из центробежного вентилятора. Угол наклона кольцевого крыла к потоку является положительным, это позволяет создать дополнительную движущую силу транспортному аппарату. Профиль сечения кольцевого крыла может быть классическим, обычным, например, В-6308 с наклоном к потоку в 10°. Наличие такого крыла может в качестве тормозящей поверхности обеспечивать снижение аппарата в аварийной ситуации. Крыло 9 может быть выполнено из секций, которые в процессе движения, посредством устройства управления поворачивают на необходимый угол наклона к потоку. Важно, что между крыльями возникает эффект передачи импульса с его сохранением большей массе газа. При этом скорость струи падает, но растет весовая эффективность, поскольку для струи газа: Fz/WF (кг/кВт) = 204/vz (м/сек). Кроме того, поскольку нам нет необходимости иметь аэродинамическое качество большим (крыло закреплено), и важна лишь подъемная сила, то возможны изогнутые крылья толстого или тонкого профиля и «открытые» крылья со срывом потока с наличием скачка на верхней грани за его передней кромкой. Крыльев может быть несколько и профилированных особо, для получения максимальной подъемной силы.
Транспортный аппарат может дополнительно содержать управляющие плоскости, которые размещены непосредственно на корпусе аппарата или на закрепленных на корпусе отдельных технологических конструкциях. Это необходимо для эффективного управления аппаратом.
Для лучшего понимания изобретения приводится пример выполнения устройства.
Рассмотрим вариант, когда угол нагона, помещенного внутри ротора центробежного вентилятора, формирующего конусного профилированного днища, близок к 45°, а высота лопаток вентилятора равна его радиусу. Оценим основные характеристики аппарата.
В этом случае радиальная, аксиальная и азимутальная скорости выходящего потока равны, и их можно оценить как: vr=vz=vϕ=ω·Rm.
Соответственно входной поток воздуха, с учетом удвоения из-за подсоса лопатками, и мощность, затрачиваемая на получение этого потока, составляют:
где ω - угловая скорость вращения вентилятора;
Rm - наружный радиус вентилятора;
Ri - внутренний радиус вентилятора в районе кока;
ρ - плотность среды;
r - текущий радиус элемента потока;
kin=tgα - коэффициент захвата, обусловленный наклоном лопаток α.
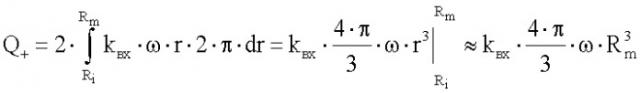
Подъемная сила создается только аксиальной составляющей этого потока и она равна:
Подъемная сила, создаваемая ниже центробежного винта, плоской частью крыла, формируемого профилированным корпусом аппарата, составляет:
Подъемная сила, создаваемая ниже центробежного винта, изогнутой частью крыла, формируемого профилированным корпусом аппарата, составляет:
где Rout1 - наружный радиус крыла, формируемого корпусом аппарата.
При этом показатель степени определяется суммой двух процессов. Во-первых, тем, что в вытекающей из вентилятора «затопленной струе» скорость потока спадает как корень квадратный. И из-за осевой симметрии струи она спадает обратно пропорционально радиусу. Можно оценить, что Rout≈1.5 Rm и поэтому
Ff1≈0.9·π·ρ·ω2Rm 4.
Подъемная сила второго крыла, помещенного в расширяющийся поток, будет равна:
, где
Сy≈1.5, a S - площадь крыла. Отсюда можно оценить:
где Rout2 - наружный радиус кольцевого крыла;
где Rin2 - внутренний радиус кольцевого крыла;
И общая подъемная сила будет paвнa: F=F1+Fd2+Ff1+Ff2.
Поскольку нам важна весовая эффективность устройства, оценим ее:
При угле наклона входных лопаток к потоку в 15°, kвх≈0.26, a 1/kвх≈4, и эта величина может достигать величины в: Fz/WF (кг/кВт) ≈ 2000/vz (м/сек), что представляет интерес для реализации подобного устройства.
Приведем таблицу некоторых вариантов реализации устройства
Таким образом, предлагаемый способ и устройство для его реализации позволяют повысить энергетические и эксплуатационные характеристики при перемещении различных полезных нагрузок транспортными аппаратами.
В жидкой среде с другими характеристиками среды по плотности закономерности сохраняются, а эффективность работы транспортных аппаратов также вырастет, поскольку в результате реализации способа будет резко снижено лобовое сопротивление движению аппарата.
1. Способ создания в газовой или жидкой среде движущей силы транспортного аппарата с осевой симметрией, перед передней поверхностью которого создают поток среды с радиально расходящимся и азимутальным движением, отличающийся тем, что под всей областью радиального и азимутального движения потока динамически создают разрежение, для чего сумма радиальной и азимутальной составляющих потока, по меньшей мере вдвое, должна превышать скорость движения аппарата, причем направление движения внешней среды, подсасываемой в область разрежения, искривляют так, чтобы к передней поверхности аппарата поток подходил касательно, для чего в области формирования радиального потока поток отклоняют от оси, а на остальной части передней поверхности его отклоняют к оси аппарата без потери аксиальной составляющей импульса потока.
2. Транспортный аппарат, включающий корпус с осевой симметрией и устройство формирования радиального потока среды, выполненное в виде центробежного вентилятора с лопатками, размещенного перед поверхностью осесимметричного корпуса, отличающийся тем, что лопатки вентилятора содержат участок, изогнутый в направлении движения, и плоский участок, продольные размеры вентилятора больше или сравнимы с радиусом, вентилятор имеет формирующее днище, которое пересекает плоский участок лопаток, выполнено конусным и проницаемым для среды, поверхность аппарата профилирована, участок под вентилятором выполнен плоским, а при его размерах, больших, чем размеры лопаток, корпус искривлен к оси.
3. Транспортный аппарат по п.2, отличающийся тем, что и аппарат дополнительно содержит, по меньшей мере, одно кольцевое крыло, которое размещено напротив лопаток вентилятора в потоке среды, радиально расходящемся от него.
4. Транспортный аппарат по п.2, отличающийся тем, что дополнительно содержит направляющие лопатки, которые размещены за центробежным вентилятором на корпусе аппарата.
5. Транспортный аппарат по п.2, отличающийся тем, что дополнительно содержит управляющие плоскости, которые размещены на корпусе и крыле аппарата.



