Определение пористости из длины замедления тепловых нейтронов, сечения захвата тепловых нейтронов и объемной плотности пласта
Иллюстрации
Показать всеИспользование: для определения пористости пласта с использованием нейтронных измерений. Сущность: заключается в том, что для определения, по меньшей мере, одного свойства пласта, рассчитанного по нейтронным измерениям, полученным скважинным зондом, выполняют следующие операции: испускают нейтроны из источника в зонде в пласт; детектируют нейтроны, по меньшей мере, одним детектором в скважинном зонде; вычисляют первую длину (L1) замедления нейтронов на основании результатов детектирования нейтронов; и получают вторую длину (L2) замедления нейтронов на основании первой длины (L1) замедления нейтронов. Технический результат: обеспечение возможности с высокой точностью оценивать поровое пространство посредством зонда нейтронного каротажа с электронным источником. 17 з.п. ф-лы, 8 ил.
Реферат
Область техники
Настоящее изобретение относится к определению пористости пласта с использованием нейтронных измерений.
Предшествующий уровень техники
В разведке и добыче углеводородов важным является определение того, содержит ли геологический пласт углеводороды и сколько углеводородов находится в пласте. Зонды нейтронного каротажа для определения "пористости" традиционно используют для определения количества углеводородов и воды, присутствующих в поровых пространствах геологических пластов.
Зонд нейтронного каротажа содержит испускающий нейтроны источник (либо химический источник, или генератор нейтронов) и один или несколько разнесенных по оси детекторов, реагирующих на поток бомбардирующих нейтронов, являющийся результатом взаимодействий нейтронов с ядрами в стволе скважины и пласте в окрестности ствола скважины. Базовая концепция зонда нейтронного каротажа пористости основана на тех фактах, что (a) водород является наиболее эффективным замедлителем нейтронов и что (б) наибольшая часть водорода, находящегося в геологических пластах, содержится в жидкости в поровом пространстве пласта либо как вода, либо как жидкий углеводород или газ. Для нейтронов, испускаемых с фиксированной энергией источником, скорости счета, регистрируемые нейтронными детекторами, уменьшаются с увеличением объемной концентрации водорода, то есть пористости.
На фиг. 1 упрощенно схематично показана операция нейтронного каротажа на кабеле. Как показано на фиг. 1, зонд нейтронного каротажа 11 расположен в стволе скважины 12. Зонд нейтронного каротажа 11 включает в себя источник 13 нейтронов и один или несколько детекторов 14 нейтронов. Источник нейтронов, который может являться химическим источником или электронным генератором нейтронов, испускает нейтроны в пласт 15, окружающий ствол 12 скважины. Испускаемые нейтроны пересекают пласт 15 и взаимодействуют с веществом в пласте. В результате таких взаимодействий нейтроны теряют часть своей энергии. Следовательно, нейтроны могут приходить на детектор 14 с меньшими энергиями. Посредством анализа реагирования детекторов на данные нейтроны можно рассчитывать свойства окружающих пластов. Хотя рассмотрен пример для инструмента на каротажном кабеле, следует отметить, что раскрытый объект изобретения можно использовать с оборудованием, применяемым во время бурения. Например, на фиг. 1b показано устройство нейтронного детектора пористости, выполненного как инструмент каротажа во время бурения. В данном примере источник 1 быстрых нейтронов, ближний детектор 2 и дальний детектор 3 установлены внутри утяжеленной бурильной трубы. Возможны различные другие конфигурации детектора (детекторов). Инструмент 4 каротажа во время бурения подвешен на бурильной колонне 5 в стволе 6 скважины, проходящей геологический пласт 7 посредством действия бурового долота 8.
Поскольку нейтроны взаимодействуют с водородосодержащими материалами, текучие среды ствола скважины должны интерферировать с нейтронными измерениями. Для внесения поправки на влияние ствола скважины обычно используют два детектора: один с меньшим разносом с источником нейтронов и другой с более значительным разносом. Со сдвоенными детекторами становится возможным компенсировать влияние ствола скважины. Обычно используют показатели скорости счета, ближнего и дальнего детекторов для обеспечения более точного измерения пористости пласта. Примеры зондов нейтронного каротажа со сдвоенным детектором описаны в патенте US 3483376 и US 5767510.
Обычные инструменты с химическими источниками способны измерять пористость пласта в форме измерения пористости по тепловым нейтронам. Химический источник обычно основан на действии реакций (α,Be) смеси 241AmBe. Бериллий выпускает нейтрон приблизительно в 4 МэВ при ударе альфа-частицы, которую производит америций. Эти нейтроны высокой энергии взаимодействуют с ядрами в пласте и становятся замедленными, в основном упругим рассеянием к околотепловым энергиям. В процессе замедления доминирует водород. При термических энергиях нейтроны диффундируют через материал, пока не претерпят тепловой захват. В захвате доминирует водород и другие поглотители тепловых нейтронов.
Некоторые зонды нейтронного каротажа оборудованы электронными источниками нейтронов (минитронами). В обычном электронном источнике нейтронов ионы дейтерия (2D) и трития (3T) разгоняются к мишени, содержащей аналогичные изотопы. Когда 2D и 3T сталкиваются, происходит реакция с выделением нейтронов высокой энергии (около 14 МэВ). Эти нейтроны высокой энергии при испускании в пласты взаимодействуют с веществом в пластах и постепенно теряют энергию. Данный процесс именуется замедлением. В процессе замедления главную роль играет водород, и процесс характеризуется длиной (Ls) замедления нейтронов. При измерении энергии надтепловых нейтронов вместо энергии тепловых нейтронов ответная реакция обеспечивает лучшую оценку водородного показателя без влияния тепловых поглотителей. Тепловые нейтроны обычно имеют среднюю энергию, соответствующую кинетической энергии, составляющей 0,025 эВ при комнатной температуре, тогда как надтепловые нейтроны обычно имеют энергии, соответствующие кинетическим энергиям в диапазоне 0,4-10 эВ. Вместе с тем некоторые надтепловые нейтроны могут иметь энергии, составляющие до 1 КэВ. Специалисту в данной области техники должно быть ясно, что данные диапазоны энергии являются ориентировочными, а не точными границами.
На фиг. 2A и 2B показаны два различных примера зондов нейтронного каротажа: зонд 20 нейтронного каротажа с обычным химическим источником (например, зонд CNL® компании Schlumberger Technology Corp., Houston. TX) и зонд 21 с электронным генератором нейтронов (например, инструмент APS® компании Schlumberger Technology Corp., Houston, TX), соответственно. В зонде 20 нейтронного каротажа с химическим источником (фиг. 2A) химический источник 25 включает в себя радиоактивный материал, такой как AmBe. Зонд 20 нейтронного каротажа с химическим источником также включает в себя ближний детектор 24 и дальний детектор 22 для создания показателя скорости счета, используемого для оценки пористости пласта. Ближний детектор 24 и дальний детектор 22 являются детекторами тепловых нейтронов. Кроме того, зонд 20 включает в себя экранирующие материалы 23, предотвращающие прямое достижение детекторов нейтронами, генерируемыми химическими источниками, что минимизирует интерференцию источника 25 нейтронов.
Как показано на фиг. 2B, зонд 21 нейтронного каротажа с электронным источником использует электронный источник 40 нейтронов для производства нейтронов высокой энергии (то есть в 14 МэВ). Нейтроны высокой энергии, испускаемые в пласты, замедляются с получением нейтронов надтепловой и тепловой энергий посредством взаимодействия с веществом в пластах. Надтепловые нейтроны регистрируют детекторы на зонде 21 нейтронного каротажа, такие как ближний детектор 26, матричный детектор 27 и дальний детектор 29. Как в инструменте с химическим источником, инструмент 21 включает в себя экранирующие материалы 42, предотвращающие прямое достижение детекторов нейтронами, произведенными источником. Как указано выше, при измерении надтепловых нейтронов в ответных реакциях детектора, в первую очередь, доминирует реакция на содержание водорода в пласте без усложнений от поглотителей нейтронов. Таким образом, электронный зонд 21 нейтронного каротажа успешно обеспечивает измерения водородного показателя. Кроме того, зонд 21 нейтронного каротажа может также включать в себя матричный тепловой детектор 28 для детектирования тепловых нейтронов, возвращенных из пласта. Измерения по надтепловым нейтронам и тепловым нейтронам, полученные данным зондом, можно использовать для получения различных пластовых параметров.
В чистых пластах коллектора водородный показатель, измеренный посредством зондов нейтронного каротажа по надтепловым нейтронам, выигрывает в сравнении с традиционной нейтронной пористостью, измеренной посредством зонда нейтронного каротажа по тепловым нейтронам. Вместе с тем, в сланцах водородный показатель по надтепловым нейтронам часто значительно отличается от пористости по данным нейтронного каротажа. Хотя измерения водородного показателя, менее чувствительные к интерференции от поглотителей нейтронов, могут давать более точные оценки порового пространства, они не так часто применяются, как измерения пористости по данным нейтронного каротажа по тепловым нейтронам, получаемые инструментами с химическим источником. Поскольку зонды, использующие химические источники, используют в отрасли гораздо дольше, чем зонды нейтронного каротажа с электронным источником, пользователям более привычно измерение пористости по данным нейтронного каротажа по тепловым нейтронам. Кроме того, петрофизики обычно используют пористость по данным нейтронного каротажа по тепловым нейтронам для индикации конкретных минералов как части своего анализа пласта. Вместе с тем, химические источники являются менее желательными, вследствие их постоянного радиоактивного излучения и строгих нормативных актов по эксплуатации. Кроме того, данные химические источники становятся дефицитными. Поэтому существует необходимость создания способа преобразования измерений, полученных с применением зонда нейтронного каротажа с электронным источником, в измерения, которые могли бы быть получены с применением традиционного зонда нейтронного каротажа с химическим источником.
СУЩНОСТЬ ИЗОБРЕТЕНИЯ
Один аспект изобретения относится к способам преобразования длины (L1)замедления, измеренной первым зондом нейтронного каротажа в пласте, в длину (L2) замедления нейтронов, которая могла быть измерена вторым зондом нейтронного каротажа, если бы он находился в аналогичном пласте. Способ, согласно одному варианту осуществления изобретения, включает в себя получение корреляционной функции для установления соотношения длины замедления нейтронов по первому зонду нейтронного каротажа с длиной замедления нейтронов по второму зонду нейтронного каротажа, при этом корреляционная функция зависит от объемной плотности пласта; и применение корреляционной функции к длине (L1) замедления нейтронов первого зонда нейтронного каротажа для получения длины (L2) замедления нейтронов второго зонда нейтронного каротажа.
Другой аспект изобретения относится к способам определения пористости по данным нейтронного каротажа тепловых нейтронов на основании длины замедления нейтронов в пласте, рассчитанной по данным нейтронных измерений, полученных зондом нейтронного каротажа, таким как зонд с электронным источником нейтронов и детектором надтепловых нейтронов. Способ, согласно одному варианту осуществления изобретения, включает в себя преобразование длины замедления нейтронов в вычисленную длину замедления нейтронов, соответствующую замедлению тепловых нейтронов в пласте, при этом в преобразовании используют корреляционную функцию, зависящую от объемной плотности (ρ) пласта; получение показателя скорости счета по тепловым нейтронам на основании вычисленной длины замедления нейтронов, при этом на этапе получения показателя скорости счета используют функцию, зависящую от сечения захвата пласта по тепловым нейтронам (показатель сигма или Σ) и объемной плотности (ρ) пласта; и вычисление пористости по данным нейтронного каротажа по тепловым нейтронам из показателя скорости счета по тепловым нейтронам.
КРАТКОЕ ОПИСАНИЕ ЧЕРТЕЖЕЙ
Другие аспекты и преимущества изобретения должны стать ясными из следующего описания и прилагаемой формулы изобретения со ссылками на сопровождающие чертежи, на которых:
на фиг.1 и 1b показаны обычные зонды каротажа на кабеле и каротажа во время бурения для нейтронного каротажа, размещенные в стволе скважины;
на фиг. 2A показан традиционный зонд нейтронного каротажа с химическим источником, например зонд CNL®;
на фиг. 2B показан зонд нейтронного каротажа с электронным источником, то есть зонд APS®;
на фиг. 3 показана блок-схема последовательности операций способа согласно одному варианту осуществления изобретения;
на фиг. 4 показана диаграмма корреляции между длинами замедления нейтронов двух различных зондов;
на фиг. 5 показана диаграмма корреляции между длинами замедления нейтронов двух различных зондов после умножения на объемную плотность согласно одному варианту осуществления изобретения;
на фиг. 6 показана диаграмма корреляции между показателем скорости счета и длиной замедления нейтронов и показателем сигма;
на фиг. 7 показана диаграмма корреляции между смоделированными пористостями по каротажу по тепловым нейтронам (TNPH) и пористостями, полученными из соотношения, показанного на фиг. 6;
на фиг. 8 показана диаграмма корреляции между смоделированными пористостями по каротажу по тепловым нейтронам (TNPH), полученными из соотношения, показанного на фиг. 6 после внесения поправок, учитывающих влияние объемной плотности пласта.
ПОДРОБНОЕ ОПИСАНИЕ ПРЕДПОЧТИТЕЛЬНЫХ ВАРИАНТОВ
ОСУЩЕСТВЛЕНИЯ ИЗОБРЕТЕНИЯ
Варианты осуществления изобретения относятся к способам преобразования измерений, выполненных первым зондом, в соответствующие необходимые измерения, которые могли бы быть выполнены при использовании второго зонда. Первый зонд и второй зонд могут иметь различные источники нейтронов и/или различные детекторы нейтронов. Различные источники нейтронов, например, могут включать в себя AmBe, калифорний (Cf), дейтерий-дейтериевый (DD) генератор нейтронов, и дейтерий-тритиевый (DT) генератор нейтронов. Различные детекторы нейтронов, например, могут включать в себя детекторы тепловых нейтронов, детекторы надтепловых нейтронов и детекторы быстрых нейтронов.
Например, способы изобретения можно использовать для получения традиционных пористостей по каротажу по тепловым нейтронам из данных измерений по надтепловым нейтронам, выполненным зондами нейтронного каротажа с электронным источником. Как отмечено выше, некоторые современные зонды нейтронного каротажа используют электронные источники нейтронов, испускающие нейтроны высоких энергий. Некоторые из данных зондов разработаны с возможностью измерений по надтепловым нейтронам, возвращающимся из пласта. Данные измерения по надтепловым нейтронам являются полезными при получении длин замедления нейтронов и водородного показателя. Вместе с тем, водородный показатель, полученный из измерений по надтепловым нейтронам, не всегда совпадает с пористостью по данным нейтронного каротажа по тепловым нейтронам, полученным зондами традиционного каротажа по тепловым нейтронам. Способами изобретения можно достоверно выводить пористости по каротажу по тепловым нейтронам из данных измерений зондов каротажа по надтепловым нейтронам.
Способы преобразования, согласно вариантам осуществления изобретения, можно применять к измерениям, полученным посредством различных зондов нейтронного каротажа, использующим как химические, так и электроннные источники, или использующим как детекторы надтепловых, так и тепловых нейтронов. Кроме того, способы преобразования изобретения являются независимыми от способов спускоподъемных операций зондов, таких как на каротажном кабеле, тартальном канате, бурильной трубе, насосно-компрессорной трубе, во время бурения или во время осуществления рейсов скважинных инструментов.
Как отмечено выше, различные источники нейтронов могут испускать нейтроны с различными начальными энергиями, в результате должны получаться различные длины замедления в аналогичном пласте. Дополнительно к этому, даже для зондов с одинаковыми источниками, но различными детекторами, измерения, полученные такими зондами, могут не иметь прямого соответствия. Зонды нейтронного каротажа с электронным источником (например, зонд APS®) обычно испускают нейтроны значительно более высоких энергий и используют детекторы надтепловых нейтронов, тогда как традиционные зонды нейтронного каротажа с химическим источником (например, зонд CNL®) испускают нейтроны относительно низкой энергии и используют детекторы тепловых нейтронов. В результате, прямые соответствия измерений, полученных данными двумя различными типами зондов, являются маловероятными.
В процессе замедления нейтронов доминируют взаимодействия с водородом в пласте и поэтому ответные реакции детекторов надтепловых нейтронов имеют хорошую корреляцию с водородным показателем в пласте. Поскольку детекторы надтепловых нейтронов не регистрируют тепловые нейтроны, на ответную реакцию, в общем, не влияют поглотители тепловых нейтронов. Таким образом, водородный показатель обеспечивает более точное измерение порового пространства в пласте. С другой стороны, ответные реакции детекторов тепловых нейтронов коррелируют с содержанием водорода в пласте, но на них также не влияют поглотители тепловых нейтронов, такие как хлор (в соли) и железо (в скважинных инструментах или глинах).
Хотя измерения водородного показателя могут обеспечивать более точные измерения порового пространства, зонды нейтронного каротажа с электронным источником пористости применяют не так часто, как можно предполагать, поскольку зонды нейтронного каротажа с химическим источником используют гораздо дольше и пользователям они известны лучше. Зонды нейтронного каротажа с химическим источником обычно дают показатели скорости счета, которые затем используют для получения пористостей по каротажу по тепловым нейтронам. Методологии для преобразования показателей скорости счета таких зондов в пористости по каротажу по тепловым нейтронам (то есть преобразования соотношения в пористость) являются четко установленными, см., например, Ellis, "Well Logging for Earth Scientists," p. 251, Figures 12-6, Elsevier (Nov. 1987). Поскольку пользователи знакомы с пористостью по данным нейтронного каротажа, нет необходимости создания способов, которые могут надежно соотносить измерения, полученные зондами нейтронного каротажа с электронным источником, как с соотношениями скорости счета, так и с пористостями по каротажу по тепловым нейтронам, которые традиционно получены посредством зондов нейтронного каротажа с химическим источником.
Варианты осуществления изобретения дают способы преобразования измерений одного зонда нейтронного каротажа в "измерения", которые могли бы быть получены в случае использования любого другого зонда нейтронного каротажа. Согласно одному примеру изобретения, измерения по надтепловым нейтронам можно преобразовать в пористость по данным нейтронного каротажа по тепловым нейтронам следующим способом. Первое, длину (L1) замедления нейтронов первого зонда можно преобразовать в соответствующую длину (L2) замедления нейтронов второго зонда, как если бы второй зонд использовали для получения измерений в аналогичном пласте. В способе преобразования учитывают плотность (ρ) пласта. Затем вычисленную длину (L2) замедления нейтронов второго зонда и сечение (Σ) захвата по тепловым нейтронам, при необходимости, измеренное посредством первого зонда, используют для получения вычисленного показателя скорости счета, соответствующего показателю скорости счета, который могли бы получить при использовании второго зонда для измерений. Из вычисленного показателя скорости счета можно достоверно выводить пористость пласта.
На фиг. 3 показана блок-схема последовательности операций являющегося примером способа получения показателя скорости счета, который мог бы быть получен вторым зондом на основании длины замедления нейтронов первого зонда. Как показано на фиг. 3, в способе 30 первоначально выводят функцию g(ρ,L1), которую можно использовать для вычисления длины (L2) замедления нейтронов второго зонда на основании длины (L1) замедления нейтронов первого зонда (показано позицией 32). Хотя на фиг. 3 показана функция, зависящая от плотности пласта, специалисту в данной области техники должно быть ясно, что можно также использовать другие функции, зависящие от других свойств пласта (например, показатель сигма, время замедления нейтронов и т.д.). Время замедления нейтронов, как, например, свойство пласта, можно определить как постоянную времени убывания плотности потока надтепловых нейтронов, зависящую от пористости пласта.
Длина замедления нейтронов является функцией как начальной энергии нейтрона, так и свойств пласта. Исследования с моделированием показали, что длины замедления для нейтронов, испускаемых в одинаковый пласт, но с различными начальными энергиями, можно коррелировать функциями, зависящими от объемной плотности пласта (ρ). Следовательно, соотношение между длиной (L1) замедления нейтронов первого зонда и длиной (L2) замедления нейтронов второго зонда можно выразить как:
L2=g(ρ,L1),
где g(ρ,L1) является корреляционной функцией. Данное соотношение не зависит от типа источников, включающих в себя AmBe, Cf, и импульсных (или электронных) генераторов нейтронов, включающих в себя типы DD и DT (дейтерий-дейтериевые и тритий-тритиевые). Дополнительно к этому, соотношение не ограничено конкретными типами детекторов. Другие свойства пласта можно добавлять для улучшения точности корреляционной функции.
После вычисления длины (L2) замедления нейтронов для второго зонда ее можно использовать для получения ожидаемого показателя скорости счета второго зонда. В данном случае можно использовать функцию f(L2,Σ,ρ), зависящую как от показателя сигма (Σ) пласта, так и от объемной плотности (ρ) пласта (показано позицией 34). Показатель сигма (Σ) и объемная плотность (ρ) являются свойствами пласта и являются независимыми от источников нейтронов, тогда как длина замедления нейтронов зависит как от начальной энергии нейтрона, так и от материалов пласта.
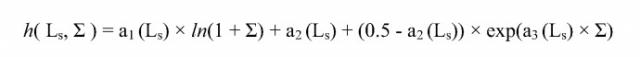
Вычисления показывают, что зависимость от объемной плотности (ρ) может являться эффектом второго порядка. Поэтому функцию, f(L2,Σ,ρ) можно разделить на две: m(ρ) и h(L2,Σ). Таким образом, соотношение между показателем скорости счета и различными пластовыми параметрами можно выразить следующим образом:
Ratio(Показатель)=f(L2,Σ,ρ)=m(ρ)×h(L2,Σ).
Также можно использовать и другие функции.
Наконец, вычисленный показатель скорости счета можно использовать для получения пористости по данным нейтронного каротажа по тепловым нейтронам с использованием способов, известных в данной области техники (показано позицией 36). В этом случае можно использовать любое преобразование, известное в данной области техники, для анализа данных зонда нейтронного каротажа по тепловым нейтронам.
В показанном выше способе, если во входные величины (L1,ρ,Σ) не внесена поправка на влияние условий в стволе скважины, получающаяся в результате пористость по данным нейтронного каротажа по тепловым нейтронам требует последующего внесения поправки. С другой стороны, если в данные величины внесена поправка на влияние среды в стволе скважины, полученные величины должны быть свободны от влияния условий в стволе скважины. Влияние условий в стволе скважины включает в себя размеры и геометрию ствола скважины, текучие среды ствола скважины, положение зонда, включающее в себя отклонение от стенки ствола, обсадную колонну и цементирование и другие материалы и условия, которые могут присутствовать.
В качестве конкретного примера используют способ воспроизведения пористости по тепловым нейтронам для зонда CNL® из измерений по надтепловым нейтронам зонда APS®. Данное преобразование является необходимым и обеспечивает с помощью зонда нейтронного каротажа по надтепловым нейтронам получение пористости по нейтронному каротажу по тепловым нейтронам. Этим исключается необходимость использования химических источников, таких как AmBe, и создаются преимущества по безопасности, охране и экологии.
Тремя входными величинами, необходимыми для расчета пористости по нейтронному каротажу по тепловым нейтронам, как упомянуто выше, являются длина (Ls) замедления нейтронов, показатель сигма (Σ) пласта и объемная плотность (ρ). Показатель сигма (Σ)пласта, являющийся измерением свойства пласта по захвату тепловых нейтронов (то есть, сечением захвата по тепловым нейтронам), можно получать напрямую по измерениям матричного детектора тепловых нейтронов (показано позицией 28 на фиг. 2B). Кроме того, длину (Ls) замедления нейтронов можно получить из показателя скорости счета по матричному/дальнему детектору зонда APS®. Наконец, объемную плотность (ρ) можно оценить по длине (Ls) замедления нейтронов и показателю скорости счета ближнего/дальнего детектора зонда APS®. Таким образом, все измерения, необходимые для воспроизведения пористости по нейтронному каротажу по тепловым нейтронам зонда CNL®, можно получить, используя один зонд APS®. Альтернативным способом является получение показателя сигма (Σ) и объемной плотности (p) пласта с использованием традиционных методик измерения, известных специалисту в данной области техники.
Как отмечено выше, длину замедления нейтронов для одного источника нейтронов нельзя соотнести с длиной замедления отличающегося источника простым способом. Это ясно видно на фиг. 4, на которой показана прямая корреляция длин замедления нейтронов для двух отличающихся зондов, APS® (нейтроны 14 МэВ) и CNL® (AmBe), в пластах с различными свойствами. Данные, показанные на фиг. 4, выработаны с использованием программы SNUPAR® ядерных свойств, обычно использующейся в анализе данных зонда нейтронного каротажа, см., например, McKeon and Scott, "SNUPAR - a nuclear parameter code for nuclear geophysics application", Nuclear Geophysics, vol. 2, no. 4, pp. 215-230 (1988). Пласты в данной имитации имеют различную пористость и могут представлять собой известняк, песчаник и доломит различных пористостей, а также галит, ангидрит и многие чисто глинистые минералы. На фиг. 4 ясно показано, что длины замедления нейтронов по данным одного зонда не имеют простой корреляции с данными второго зонда.
Действительно, как показано на фиг. 5, хорошую корреляцию можно найти между длинами замедления нейтронов различных источников в одном пласте, если учитывать плотность пласта. Конкретную функцию, связывающую длины замедления двух источников, показанную на фиг. 5, можно описать как:
L2=g(ρ,L1)=G(ρ×L1)/ρ.
Данный пример показывает, что возможно определение длины замедления нейтронов по зонду CNL®, необходимой для расчета пористости по длине замедления нейтронов по данным зонда APS® и объемной плотности (ρ) пласта. Констатируем, что другие формы функций, отличающиеся от показанной выше, также можно использовать.
Поскольку длину замедления нейтронов по одному зонду можно преобразовать в соответствующую длину замедления нейтронов по второму зонду, то "ожидаемый" показатель скорости счета второго зонда можно вычислить на основании соответствующей функции, связывающей длину замедления нейтронов и показатель скорости счета одного зонда. Поскольку показатели скорости счета выводят из детектирования нейтронов, прошедших пласт, показатели скорости счета, очевидно, зависят от различных пластовых параметров, таких как показатель сигма (Σ) пласта и объемная плотность (ρ) пласта. Поэтому показатели скорости счета могут связываться с длинами (Ls) замедления нейтронов согласно функции, f(Ls,Σ,ρ), зависящей как от показателя сигма (Σ) пласта, так и объемной плотности (ρ).
Вычисления показывают, что зависимость f(Ls,Σ,ρ) по объемной плотности (ρ) пласта может являться эффектом второго порядка. Поэтому может быть необходима обработка зависимости по объемной плотности (ρ) пласта как отдельной составляющей. То есть функцию f(Ls,Σ,ρ) можно разделить на две составляющих, m(ρ) и h(Ls,Σ), как показано ниже:
Ratio(Показатель)=f(Ls,Σ,ρ)=m(ρ)×h(Ls,Σ)
Поэтому можно рассматривать зависимость показателей скорости счета по показателю сигма (Σ) пласта и объемной плотности (ρ) пласта отдельно. Зависимость (например, h(Ls,Σ) показателя скорости счета по показателю сигма (Σ) пласта показана на фиг. 6. Точки данных графиков, показанных на фиг. 6, выводятся из моделирования. Показатели скорости счета вычислены с использованием кода моделирования Монте Карло по нейтронному каротажу, при этом соответствующие длины замедления нейтронов и плотности пласта вычисляют с использованием программы SNUPAR® для одинаковых пластов.
На фиг. 6 показаны результаты, полученные для известняка и песчаника для нескольких длин замедления нейтронов и показателей сигма. Для обеих литологий показатели зонда CNL® быстро увеличиваются при уменьшении длин замедления нейтронов (от менее 1 при Ls=24,0 см до более 5 при Ls=7,2 см). Во всех кривых показатели зонда CNL® медленно увеличиваются при увеличении показателя сигма (Σ). Различные функции (например, полиномиальную и т.п.) можно использовать для определения данных кривых. Например, корреляционные функции, h(Ls,Σ), использующиеся для получения показателей зонда CNL®, можно рассчитать по данным кривым как:
Специалисту в данной области техники должно быть ясно, что другие функции могут также соответствовать кривым и использоваться для получения показателей скорости счета. После получения такой функции для будущего использования можно составить справочную таблицу, служащую вместо использования функции.
Поскольку показатели скорости счета зависят от показателя сигма (Σ) пласта, объемной плотности (ρ) пласта и длин (Ls) замедления нейтронов, приведенная выше корреляционная функция h(Ls,Σ) может не давать точных результатов для показателей скорости счета без учета динамического воздействия объемной плотности (ρ) пласта. На фиг. 7 показана корреляция между пористостями по каротажу по тепловым нейтронам, полученная из имитации Монте Карло и рассчитанная по вычислениям программы SNUPAR® на основе полученной выше функции, h(Ls,Σ). Очевидно, корреляция является надежной для значения пористостей ниже 0,4. Вместе с тем, выше значения 0,4 корреляция указывает на необходимость дополнительного внесения поправок.
Как показано на фиг. 8, корреляция значительно улучшается, если учитывается вклад объемной плотности (ρ) пласта. Как отмечено выше, зависимость от объемной плотности пласта может являться зависимостью второго порядка. Также точные функции для внесения поправок по объемной плотности (ρ) пласта могут изменяться в зависимости от ситуаций, и различные формы функций можно использовать, включающие в себя полиномиальные. Функции, использованные для получения данных, показанных на фиг. 8, имеют следующую форму: g(ρ)=1,0+b×(ρ-ρref), где b является коэффициентом аппроксимации и ρref является плотностью, ожидаемой от чистого заполненного водой пласта с пористостью по данным нейтронного каротажа по тепловым нейтронам, вычисленной из расчета первого порядка показателя.
Некоторые варианты осуществления изобретения относятся к системам и программам для выполнения способов изобретения. Например, способы изобретения можно осуществлять в одной или нескольких программах, включающих в себя команды, обуславливающие выполнение процессором (компьютером) этапов, изложенных выше. Такую программу можно записывать на машиночитаемый носитель, такой как жесткий диск, компьютерная дискета, компакт-диск, цифровой видеодиск, флэш-память и т.д. Система, согласно вариантам осуществления изобретения, может включать в себя компьютер (или его эквивалент), включающий в себя процессор и запоминающее устройство, при этом запоминающее устройство может включать в себя программу для выполнения способа изобретения. Специалисту в данной области техники должно быть ясно, что любой компьютер или процессор можно использовать для такой цели.
Преимущества изобретения могут включать в себя одно или несколько из следующего. Способы согласно изобретению можно использовать для корреляции длин замедления нейтронов из различных источников нейтронов. Кроме того, варианты осуществления изобретения дают способы вычисления пористостей по каротажу по тепловым нейтронам на основе измерений, полученных от зонда, который напрямую такие данные вырабатывать не может. Например, способы изобретения можно использовать для преобразования длины замедления нейтронов от зонда с электронным источником нейтронов (например, APS®) в соответствующую длину замедления нейтронов, показатель скорости счета и пористость пласта зонда нейтронного каротажа с химическим источником (например, CNL®). Поэтому предложенные способы обеспечивают использование зонда нейтронного каротажа с электронным источником на месте зонда нейтронного каротажа с химическим источником, что дает улучшение по безопасности, охране и экологии. Констатируем, что способы изобретения не зависят от конкретного типа зонда и применимы для зондов на каротажном кабеле, зондов каротажа во время бурения, зондов измерения во время бурения, зондов измерений во время обработки приствольной зоны и т.д. Дополнительно к этому, измерения, подлежащие использованию в данных способах, можно получать в обсаженном стволе скважины или необсаженном стволе скважины.
Хотя изобретение описано для ограниченного числа вариантов осуществления, специалисту в данной области техники, воспользовавшемуся данным описанием, должно быть ясно, что можно вырабатывать другие варианты осуществления, которые не отходят от объема изобретения, раскрытого в данном документе. Соответственно, объем изобретения следует ограничивать только прилагаемой формулой изобретения.
1. Способ определения, по меньшей мере, одного свойства пласта, рассчитанного по нейтронным измерениям, полученным скважинным зондом, в котором:испускают нейтроны из источника в зонде в пласт;детектируют нейтроны, по меньшей мере, одним детектором в скважинном зонде;вычисляют первую длину (L1) замедления нейтронов на основании результатов детектирования нейтронов; иполучают вторую длину (L2) замедления нейтронов на основании первой длины (L1) замедления нейтронов.
2. Способ по п.1, в котором источник является электронным источником нейтронов.
3. Способ по п.1, в котором вторая длина (L2) замедления нейтронов относится к химическому источнику нейтронов или электронному источнику нейтронов.
4. Способ по п.3, в котором химический источник нейтронов является одним из следующих источников: АmВе (америций-берилий), Cf (калифорний), РuВе и RaBe (радий-берилий).
5. Способ по п.3, в котором электронный источник нейтронов является источником DD (дейтерий-дейтериевым) или DT (дейтерий-тритиевым).
6. Способ по п.1, в котором вторая длина (L2) замедления нейтронов относится к энергии источника, отличающегося от энергии, относящейся к источнику.
7. Способ по п.1, в котором вторая длина (L2) замедления нейтронов относится к более низкой энергии источника, в сравнении с энергией, относящейся к источнику.
8. Способ по п.1, в котором вторая длина (L2) замедления нейтронов относится, по меньшей мере, к одному разносу детектора, отличающемуся от первого расстояния между детектором и источником.
9. Способ по п.1, в котором скважинный зонд дополнительно содержит второй детектор, второе расстояние, измеренное от источника, причем первое и второе расстояние, содержащие набор разносов в детекторе скважинного зонда, при этом длина (L2) замедления относится к набору разносов детектора, отличающемуся от набора разносов детектора скважинного зонда.
10. Способ по п.1, в котором вторая длина (L2) замедления нейтронов относится к ответной энергии детектора, отличающейся от ответной энергии, относящейся к детектору.
11. Способ по п.1, дополнительно содержащий этап, на котором получают корреляционную функцию для соотнесения длин замедления нейтронов от источника с длинами замедления нейтронов, относящимися ко второму источнику, при этом корреляционная функция зависит, по меньшей мере, от одного свойства пласта.
12. Способ по п.11, в котором, по меньшей мере, одно свойство пласта выбирают из группы
 
                         
                            


