Способ и устройство для определения во время бурения насыщения водой пласта
Иллюстрации
Показать всеИзобретение относится к области геофизики и может быть использовано для определения насыщения флюидом порового пространства пород исследуемых пластов. Способ определения насыщения водой в подземном пласте включает в себя определение глубины проникновения в пласт на основании множества измерений, выполняемых в стволе скважины, пробуренном сквозь пласт. Измерения имеют различные глубины исследования в пласте. Углерод и кислород в пласте измеряют в по существу том же продольном положении, как положение определения глубины проникновения. Измеренные углерод, кислород и глубину проникновения используют для определения насыщения водой в по существу не затронутой проникновением фильтрата части пласта. Технический результат: повышение точности данных относительно насыщения пластовых пород флюидами. 2 н. и 17 з.п. ф-лы, 4 ил.
Реферат
Область техники, к которой относится изобретение
В общем изобретение относится к области петрофизического оценивания подземных пластов породы. Более конкретно, изобретение относится к способам и устройству для количественного определения насыщения флюидом поровых пространств пластов пород на основании других измерений, а не на основании измерений электрического удельного сопротивления пластов.
Уровень техники
Проходку пористых подземных пластов пород осуществляют стволами скважины для извлечения флюидов из поровых пространств таких пластов. В частности, нефть и газ извлекают, используя такие стволы скважины. По экономическим соображениям до заканчивания конструкции ствола скважины важно определять, какой относительный объем поровых пространств проходимых пластов занят нефтью и/или газом. Способы, известные из уровня техники, предназначенные для определения относительного объема порового пространства, занимаемого реликтовой водой и нефтью и/или газом, преимущественно основаны на измерениях электрического удельного сопротивления пластов пород. При оценивании подземных пластов определяемой величиной является относительный объем порового пространства, занимаемый водой (называемый насыщением водой и обозначаемый Sw), при этом предполагается, что поровое пространство, не занятое водой, содержит нефть и/или газ.
Большинство способов определения насыщения водой по измерениям удельного сопротивления пласта породы основаны на исследовании, выполненном в 1940-х годах. См. Archie G.E., “Electrical resistivity log as an aid in determining some reservoir characteristics”, AIME Trans. 146, 1942, p.54-62.
Зависимость удельного сопротивления Rt пористой породы от удельного сопротивления RW реликтовой воды, насыщения Sw водой и относительного объема породы, занимаемого поровым пространством (пористости), , определяется уравнением Арчи (см. выше):
.
Точность приведенной выше зависимости проверена на многих пластах, в которых образуются коллекторы углеводородов. В случае смоченных водой пластов пород показатели n и m степени из зависимости Арчи, приведенной выше, обычно близки к 2. Стабильность этих показателей степени в случае смоченных водой пластов позволяет делать достаточно приемлемые оценки запасов в новых коллекторах непосредственно по результатам измерений удельного сопротивления и пористости, выполняемых внутри стволов скважины (по каротажным диаграммам). Для песчаниковых пород, содержащих глинистый сланец, известны модифицированные формулы для коррекции за влияние удельной проводимости глинистого сланца.
Было замечено, что в частности, для пластов известняковых/доломитовых пород (собирательно называемых карбонатами) значения приведенных выше показателей степени могут изменяться очень значительно в зависимости от глубины даже в пределах одного и того же геологического пласта породы. Это обусловлено естественными неоднородностями в карбонатах, например, изменениями состава минералов породы и поровой структуры породы, изменениями смачивающей способности и т.д.
Кроме того, если оцениваемый пласт заполнен, например, жидкой фазой раствора (глинистого бурового раствора), используемого при бурении ствола скважины, реликтовая вода, первоначально находившаяся в пласте в поровых пространствах, смешивается с изменяющимися количествами жидкости бурового раствора (фильтрата бурового раствора) и становится трудно или невозможно определять соленость воды в поровых пространствах, используя результаты измерений только удельного сопротивления. Поэтому значения насыщения водой, получаемые по формуле Арчи, для многих карбонатных пластов считаются недостоверными.
Другие способы, известные из уровня техники, предназначенные для определения насыщения водой, включают в себя измерение диэлектрической постоянной пласта, времен ядерной магнитной резонансной релаксации и распределений их, поперечного сечения захвата нейтронов и соотношения углерод/кислород. Поперечная глубина упомянутых измерений в пласт от стенки ствола скважины обычно ограничена несколькими дюймами. В результате во время ввода таких приборов в ствол скважины для измерений (обычно после удаления буровых инструментов и ввода приборов на бронированном электрическом кабеле) зоны измерений упомянутых параметров обычно полностью заполнены фильтратом бурового раствора и измерение насыщения водой не отражает содержания нефти и/или газа в не затронутой проникновением фильтрата породе.
Среди упомянутых выше измерений наибольшей поперечной глубине соответствует поперечное сечение захвата нейтронов. Наиболее вероятно, что на такое измерение из числа упомянутых выше не влияет проникновение фильтрата бурового раствора, если измерение выполняют во время бурения ствола скважины. Прибор, известный под фирменным наименованием ECOSCOPE 6, которое является товарным знаком правопреемника настоящего изобретения, присоединяют внутри бурильной колонны и получают результаты измерений поперечного сечения захвата нейтронов во время бурения ствола скважины. Во многих случаях проникновение фильтрата бурового раствора во время бурения ограничивается на меньшей глубине, чем поперечная глубина исследования различных датчиков на приборе ECOSCOPE, и поэтому можно получать результаты измерений, относящиеся к концентрации хлора в пласте породы. Если соленость реликтовой пластовой воды является известной, результаты измерений поперечного сечения захвата нейтронов можно непосредственно использовать для определения Sw. Однако рассмотренное выше не применимо к пластам породы, имеющим низкую соленость (то есть при концентрации хлорида натрия меньше чем около 50000 частей на миллион [kppm]) реликтовой воды, и упомянутым выше прибором не решается проблема зон проникновения фильтрата, имеющих воду с неизвестной соленостью.
Продолжает существовать необходимость в способах скважинного каротажа, которыми можно количественно определять насыщение водой в пластах, когда применимость зависимости Арчи является ограниченной.
Краткое изложение изобретения
Способ определения насыщения водой в подземном пласте включает в себя определение глубины проникновения в пласт на основании множества измерений, выполняемых внутри ствола скважины, пробуренного сквозь пласт. Измерения имеют различные поперечные глубины исследования в пласте. Углерод и кислород в пласте измеряют в по существу таком же продольном положении, как положение определения глубины проникновения. Измеренные углерод и кислород и глубину проникновения используют для определения насыщения водой в по существу не затронутой проникновением фильтрата части пласта.
В одном примере способ включает в себя повторение определения глубины проникновения, измерения углерода и кислорода и определения насыщения водой спустя выбранное время и формулирование зависимости между электрическим удельным сопротивлением и насыщением водой на основании изменений глубины проникновения и насыщения водой.
Скважинный каротажный прибор согласно другому объекту изобретения включает в себя корпус, выполненный с возможностью присоединения внутри бурильной колонны. Импульсный источник нейтронов расположен внутри корпуса и выполнен с возможностью облучения пластов, прилегающих к стволу скважины, когда корпус расположен в нем. Множество детекторов излучения расположено в корпусе. Детекторы выполнены с возможностью обнаружения излучения из пластов, являющегося результатом взаимодействия нейтронов из источника с пластами. Детекторы излучения выполнены с возможностью обнаружения излучения, связанного с по меньшей мере поперечным сечением захвата тепловых нейтронов на по меньшей мере двух различных поперечных глубинах в пластах от ствола скважины и концентрациями углерода и кислорода в пластах. Прибор включает в себя датчик удельного сопротивления, соединенный с корпусом и выполненный с возможностью измерения удельного сопротивления пластов на по меньшей мере двух различных поперечных глубинах в пластах от ствола скважины.
В одном примере датчики удельного сопротивления и датчики излучения скомпонованы так, что имеют одинаковый диапазон глубины исследования, то есть они выполняют измерения в одном и том же объеме породы.
Другие аспекты и преимущества изобретения станут очевидными из нижеследующего описания и сопровождающих чертежей.
Краткое описание чертежей
На чертежах:
фиг.1 - пример системы для бурения ствола скважины, включая прибор согласно изобретению;
фиг.2 - разрез проницаемого пласта, загрязненного фильтратом, для идентификации различных, насыщенных раствором зон, прилегающих в поперечном направлении к стволу скважины;
фиг.3 - более детальный вид примера переводника для оценивания пласта из системы на фиг.1.
Подробное описание
Как представлено на фиг.1, на буровой установке 24 или аналогичном подъемном устройстве подвешен трубопровод, называемый бурильной колонной 20, находящийся внутри ствола 18 скважины, пробуренной сквозь подземные пласты пород, в целом показанные позицией 11. Бурильную колонну 20 можно собрать путем резьбового соединения друг с другом непрерывной цепью некоторого количества сегментов (звеньев) 22 бурильной трубы. На нижнем конце бурильная колонна 20 может включать в себя буровое долото 12. Когда буровое долото 12 продвигается в осевом направлении в пласты 11 в забое ствола 18 скважины и когда оно вращается посредством оборудования (например, посредством верхнего привода 26) на буровой установке 24 или посредством двигателя в бурильной колонне (непоказанного), такое продвижение и вращение побуждают долото 12 удлинять (углублять) ствол 18 скважины. В соответствии с различными аспектами изобретения нижний конец бурильной колонны 20 на выбранном месте выше и вблизи бурового долота 12 может включать в себя переводник 10 для оценивания пласта, который будет дополнительно пояснен ниже. Вблизи нижнего конца бурильная колонна 20 также может включать в себя прибор 14 для измерения в процессе бурения и телеметрический блок 16 хорошо известных в данной области техники типов. По меньшей мере часть энергии для работы прибора 14 для измерения в процессе бурения и телеметрического блока 16 может быть получена от движения бурового раствора через бурильную колонну 20, поясняемого ниже. Телеметрический блок 16 выполнен с возможностью передачи некоторых или всех измерений, выполняемых различными датчиками (поясняемыми ниже) переводника 10 для оценивания пласта и прибора 14 для измерения в процессе бурения, на поверхность для декодирования и интерпретации.
Во время бурения ствола 18 скважины насос 32 всасывает буровой раствор (глинистый буровой раствор) 30 из резервуара 28 или ямы и выпускает глинистый буровой раствор 30 под давлением через стояк 34 и гибкую трубу или шланг 35, через верхний привод 26 во внутренний канал (не показанный отдельно на фиг.1) внутри бурильной колонны 20. Глинистый буровой раствор 30 выходит из бурильной колонны 20 через каналы или сопла (не показанные отдельно) в буровом долоте 12, где он затем охлаждает и смазывает буровое долото 12 и поднимает на земную поверхность обломки выбуренной породы, образуемые буровым долотом 12.
Некоторые примеры телеметрического блока 16 могут включать в себя телеметрический передатчик (не показанный отдельно), который модулирует поток глинистого бурового раствора 30 через бурильную колонну 20. Такая модуляция может вызывать вариации давления в глинистом буровом растворе 30, которые могут обнаруживаться на земной поверхности одним или несколькими преобразователями 36 давления, находящимися в связи по давлению с внутренним пространством бурильной колонны 20 на выбранных местах между выпускным отверстием насоса 32 и верхним приводом 26. Сигналы с преобразователя 36, которые могут быть, например, электрическими и/или оптическими сигналами, могут передаваться на регистрирующий блок 38 для декодирования и интерпретации с использованием способов, хорошо известных в данной области техники. Декодированные сигналы обычно соответствуют измерениям, выполняемым одним или несколькими датчиками (непоказанными) в приборе 14 для измерения в процессе бурения и в переводнике 10 для оценивания пласта.
Специалистам в данной области техники должно быть понятно, что для вращения бурильной колонны 20 и в то же время обеспечения герметизированного канала через бурильную колонну 20 для глинистого бурового раствора 30 в других примерах верхний привод 26 может быть заменен вертлюгом, ведущей трубой, вкладышем под рабочую трубу и роторным столом (не показанными на фиг.1). В соответствии с этим объем изобретения не ограничен использованием буровых систем с верхним приводом.
Также должно быть понятно, что телеметрический блок 16 может быть дополнительно или как вариант выполнен с возможностью передачи сигналов в канал связи по так называемой «снабженной кабелем» бурильной трубе. Неограничивающий пример снабженной кабелем бурильной трубы описан в заявке №2002/0193004 на патент США, поданной Boyle и соавторами, основополагающей заявке на патент, которая переуступлена правопреемнику настоящего изобретения. Кроме того, в данной области техники известно использование электромагнитной телеметрии для передачи измерений приборов из ствола скважины к наземной поверхности и обратно. В соответствии с этим объем этого изобретения не ограничен типом телеметрии, используемой в любом примере.
Должно быть понятно, что способ транспортировки переводника 10 для оценивания пласта, показанный на фиг.1, является только одним возможным примером. Другие примеры могут включать в себя бурение на обсадных трубах, показанное, например, в патенте США №6705413, выданном Tessari. Кроме того, можно проводить бурильные работы с применением переводника для оценивания пласта, используя гибкую трубу при транспортировке бурильных приспособлений в ствол скважины. Смотри, например, патент США №7028789, выданный Krueger и соавторам, и патент США №6047784, выданный Dorel и переуступленный правопреемнику настоящего изобретения. В соответствии с этим объем изобретения не ограничен показанным на фиг.1 использованием бурильных труб с резьбовым соединением для бурения ствола скважины и для транспортировки измерительных приборов вдоль по скважине.
Теперь обратимся к фиг.2, где, как должно быть понятно специалистам в данной области техники, во время бурения ствола 18 скважины, когда буровым долотом (12 на фиг.1) проходят проницаемый пласт 11, жидкая фаза бурового раствора 30 в стволе 18 скважины, называемая фильтратом бурового раствора, будет входить в поровые пространства пласта 11 и будет вытеснять некоторое количество реликтовых флюидов из поровых пространств. Флюиды на самом деле вытесняются и степень, с которой они вытесняются, зависит от относительной подвижности флюидов в поровых пространствах, перепада давлений флюида между стволом 18 скважины и пластом 11 и интенсивности, с которой твердые частицы в буровом растворе 30 образуют глинистую корку (непоказанную) на стенке ствола 18 скважины, прилегающей к проницаемому пласту 11. Пласты выше 11А и ниже 11В проницаемого пласта 11 показаны на фиг.2 как непроницаемые, такие как глинистый сланец, и для целей настоящего изобретения как не подвергающиеся воздействию бурового раствора 30. Изображение на фиг.2 предназначено только для описания в общем виде различных зон, расположенных в поперечном направлении вокруг ствола скважины в проницаемом пласте породы, поэтому для упрощения изображения переводник для оценивания пласта не показан. Различные зоны, показанные на фиг.2, встречаются по существу сразу же после прохождения проницаемого пласта буровым долотом (12 на фиг.1); пространственное распределение различных зон изменяется с течением времени по мере того как все большее количество раствора входит в пласт из ствола скважины (при условии, что давление раствора в стволе скважины больше, чем давление флюида в поровых пространствах пласта породы).
Обычно считают, что в поперечном направлении к стволу 18 скважины прилегает зона, называемая промытой зоной 40, при этом по существу вся реликтовая вода в пласте 11 вытесняется жидкой фазой бурового раствора, если его жидкая фаза на водной основе, и по существу все подвижные углеводороды (нефть и/или газ) полностью вытесняются из поровых пространств пласта 11. На конкретном поперечном расстоянии («глубине») от ствола скважины, показанном как di, и далее вытеснение реликтовых флюидов по существу не происходит. Зону, находящуюся в поперечном направлении за пределами di, называют не затронутой проникновением фильтрата зоной 44. Она представляет собой не затронутую проникновением фильтрата зону 44, для которой необходимо определять насыщение водой (относительный объем порового пространства, занятый водой), поскольку насыщение водой показывает объем нефти и/или газа, присутствующего в пласте 11. Понятно, что в общем случае насыщение углеводородами (газом, нефтью или смесями из них) равно единице за вычетом насыщения водой (Sh=1-Sw). Зону между промытой зоной 40 и не затронутой проникновением фильтрата зоной 44 называют зоной 42 проникновения фильтрата, из которой неопределенное количество реликтового флюида вытеснено фильтратом бурового раствора.
В не затронутой проникновением фильтрата зоне представляющие интерес физические величины включают в себя насыщение Sw водой, упомянутое выше, и также включают в себя пористость Ø, электрическое удельное сопротивление Rt, удельное сопротивление RW реликтовой воды, результаты элементной спектроскопии нейтронного захвата (ECS) для различных элементов, включая углерод (С), кислород (О), хлор (Cl), и поперечное сечение Σt захвата тепловых нейтронов. Соответствующие величины можно задать для зоны проникновения фильтрата (все с нижним индексом «i») и промытой зоны (все с нижним индексом «хо» за исключением фильтрата бурового раствора, для которого предназначен нижний индекс «mf»). Относительный объем порового пространства («пористость» Ø) в пласте породы предполагается по существу одинаковой в каждой из упомянутых выше зон 40, 42, 44. Как в этой заявке пояснялось в разделе «Предпосылки создания изобретения», для определения Sw с использованием основанных на удельном сопротивлении способов требуются определение RW и некоторые сведения или предположения о показателях m и n степени Арчи, поскольку они характеризуют зависимость между удельным сопротивлением пласта породы и удельным сопротивлением флюида в поровых пространствах пласта породы. На результаты измерений, выполняемых некоторыми приборами с небольшой глубиной исследования (в поперечном направлении), которые являются чувствительными к удельному сопротивлению или солености воды, может существенно влиять присутствие фильтрата бурового раствора вследствие его электрического удельного сопротивления (Rmf), его солености и/или его химического состава, и поэтому они не могут быть полезными для определения RW. Например, результаты измерений на небольшой глубине поперечного сечения захвата тепловых нейтронов являются чувствительными к солености флюида и для определения насыщения требуются точные сведения о солености воды.
В одном примере использования способа согласно изобретению первый набор измерений можно выполнять во время бурения, используя переводник (10 на фиг.1) для оценивания пласта. Используемый в этой заявке термин «во время бурения» означает, что переводник (10 на фиг.1) перемещается мимо пласта в первый раз как только буровое долото (12 на фиг.1) наращивает ствол (18 на фиг.1) скважины в достаточной степени, чтобы сделать возможным такое перемещение. Как должно быть понятно специалистам в данной области техники, предполагается, что такое перемещение переводника (10 на фиг.1) в первый раз мимо такого недавно пробуренного пласта будет приводить к вытеснению в пласт практически настолько малого количества фильтрата бурового раствора, что зона проникновения фильтрата в поперечном направлении будет иметь относительно небольшую глубину (небольшое di), в противоположность ситуации, которая как правило существует позднее в процессе бурения ствола скважины, то есть когда проникновение раствора становится намного глубже.
Теперь с обращением к фиг.3 будет более подробно пояснен пример переводника (10 на фиг.1) для оценивания пласта. Переводник 10 может иметь функциональные компоненты, расположенные в по существу цилиндрической утяжеленной бурильной трубе 48 или в аналогичном компоненте бурильной колонны, выполненном с возможностью присоединения в бурильной колонне (20 на фиг.1). Как правило, утяжеленная бурильная труба 48 должна изготавливаться из высокопрочного немагнитного сплава, такого как нержавеющая сталь, монель или сплав, имеющийся в продаже под фирменным наименованием INCONEL (инконель), которое является зарегистрированным товарным знаком Huntington Alloys Corporation, Хантингтон, Западная Виргиния. Утяжеленная бурильная труба 48 может включать в себя подходящие места и на них соответствующие корпусы с импульсным источником 50 нейтронов и контрольным детектором 52 нейтронов, который выполнен с возможностью реагирования преимущественно на нейтроны, создаваемые источником 50. Импульсный источник 50 нейтронов выполнен с возможностью излучения с управляемой длительностью всплесков высокоэнергетических нейтронов и может быть таким же, как источник, используемый в приборе ECOSCOPE (для оценивания пласта и геологической проводки скважин), идентифицируемом в других местах этой заявки и описанном в заменяющем патенте США №36012, выданном Loomis и соавторам и переуступленном правопреемнику настоящего изобретения. Множество разнесенных в продольном направлении детекторов 54, 56, 58 нейтронов и/или гамма-излучения выполнено с возможностью измерения нейтронов и/или гамма-излучения, являющегося следствием взаимодействия нейтронов из источника 50 с пластами (11 на фиг.2), прилегающими к стенке ствола скважины. Результаты измерений с контрольного детектора 52 можно использовать для нормирования скоростей счета от других детекторов 54, 56, 58 при любых изменениях выходной скорости и/или уровня энергии нейтронов из источника 50 нейтронов.
Переводник 10 может включать в себя каверномер 60, такой как акустический каверномер с измерением по времени пробега, предназначенный для измерения расстояния между стенкой переводника 10 и стенкой ствола скважины, и спектрометрический детектор 62 гамма-излучения для измерения гамма-излучения, естественным путем исходящего из пластов пород. Упомянутые выше компоненты в значительной степени описаны в заменяющем патенте США №36012, выданном Loomis и соавторам и переуступленном правопреемнику настоящего изобретения. Как описано в упомянутом выше заменяющем патенте, источник нейтронов и детекторы нейтронов/гамма-излучения могут быть выполнены с возможностью получения результатов измерений, соответствующих объемной плотности пласта, пористости по данным нейтронного каротажа (связанной с концентрацией водорода в пласте) и концентрации различных химических элементов в пласте. Последние анализы химического состава обеспечиваются спектральным анализом обнаруживаемого гамма-излучения, являющегося следствием неупругих соударений высокоэнергетических нейтронов с определенными ядрами в пластах пород, и на основании длины пути замедления нейтронов и/или поперечного сечения захвата тепловых нейтронов, обеспечиваемого анализом обнаруженного «захваченного» гамма-излучения. Другие детекторы или те же самые детекторы могут быть выполнены с возможностью измерения фотоэлектрического эффекта, являющегося результатом взаимодействия активированного нейтронами гамма-излучения с материалами пласта. Чтобы определять объемную плотность пласта, другие детекторы или те же самые детекторы можно выполнять с возможностью обнаружения комптоновски рассеянного гамма-излучения (возникающего вследствие неупругих соударений нейтронов из источника). Изложенные выше измерения являются технически достижимыми при использовании упомянутого выше прибора ECOSCOPE и в настоящем примере переводник 10 может включать в себя упомянутые выше компоненты прибора ECOSCOPE. В настоящем примере компоновка детекторов 54, 56, 58 может быть такой, что можно будет определять поперечное сечение захвата тепловых нейтронов в пласте на множестве (трех в настоящем примере) различных поперечных глубинах в пласте от стенки ствола скважины. Например, некоторые из детекторов можно выполнять с возможностью обнаружения гамма-излучения, испускаемого из пласта в результате захвата ядрами тепловых нейтронов.
В настоящем примере по меньшей мере один из детекторов, например, детектор, показанный позицией 58, может быть детектором гамма-излучения со сцинтилляционным счетчиком, соединенным с многоканальным анализатором амплитуды импульсов (для упрощения не показанным) для анализа скорости счета и уровня энергии обнаруживаемого гамма-излучения, в частности, гамма-излучения, испускаемого в результате соударений высокоэнергетических нейтронов с атомными ядрами в пласте. Такое гамма-излучение может содержать информацию, касающуюся относительных концентраций атомов углерода и атомов кислорода в пласте, и такие концентрации могут быть связаны с относительным объемом порового пространства, занимаемого водой, и с относительным объемом порового пространства, занимаемого нефтью и/или газом. Принципы работы таких детекторов и способы определения концентраций углерода и кислорода описаны, например, в патенте США №6703606, выданном Adolph и переуступленном правопреемнику настоящего изобретения. Как будет дополнительно пояснено ниже, одна задача заключается в том, чтобы иметь такие компоненты в переводнике 10 и придавать переводнику такую способность к измерениям, чтобы можно было непосредственно определять насыщение водой в одной или нескольких зонах (например, 40, 42, 44 на фиг.2) без необходимости определения удельного сопротивления воды в поровых пространствах или показателей степени Арчи, упомянутые в этой заявке в разделе «Предпосылки создания изобретения».
В настоящем примере переводник 10 может включать в себя множество фокусируемых гальванических датчиков удельного сопротивления, совместно показанных позицией 64. Датчики 64 удельного сопротивления выполнены с возможностью выполнения измерений электрического удельного сопротивления вблизи стенки ствола скважины и на множестве приблизительно задаваемых, различных поперечных глубинах от ствола скважины. Компоненты в датчиках 64 удельного сопротивления имеются в приборе, известном под фирменным наименованием GEOVISION, которое является товарным знаком правопреемника настоящего изобретения. Прибор GEOVISION (для построения изображений удельных сопротивлений в процессе бурения) может также включать в себя датчики (непоказанные) для выполнения измерений удельного сопротивления пласта вблизи бурового долота (12 на фиг.1), и такие датчики могут использоваться в некоторых примерах. Структура электродов и связанных с ними схем, которые можно использовать в некоторых примерах, описаны в патенте США №6373254, выданном Dion и соавторам и переуступленном правопреемнику настоящего изобретения.
Переводник 10 может включать в себя электромагнитные передающие антенны 66А, 66В и электромагнитные приемные антенны 70, 72, расположенные на внешней поверхности утяжеленной бурильной трубы 48, для выполнения измерений при электромагнитном каротаже удельного сопротивления на более значительной поперечной глубине в пласте (в некоторых случаях в не затронутой проникновением фильтрата зоне 44 на фиг.2). Внутренние компоненты, связанные с упомянутыми выше антеннами, могут быть аналогичны компонентам скважинного каротажного прибора, предназначенного для выполнения таких измерений, описанного в патенте США №4968940, выданном Clark и соавторам и переуступленном правопреемнику настоящего изобретения.
Специалисты в данной области техники должны представлять, что упомянутые выше источник 50 и детекторы с 52 по 58, каверномер 60 и датчики 64, и антенны 66А, 66В, 70, 72 могут быть соединены с подходящим источником электропитания, устройствами преобразования сигналов и передачи сигналов. Упомянутое выше может быть сделано в соответствии со структурами, хорошо известными в данной области техники, и не показано на фиг.3 ради упрощения изображения.
Желательно, чтобы детекторы и датчики на переводнике 10 имели примерно одинаковую чувствительность (но необязательно точно одинаковую) на продольном интервале вдоль бурильной колонны (20 на фиг.1). Более конкретно, желательно, чтобы глубина проникновения была по существу одной и той же при каждом из различных измерений. Такая конфигурация является возможной, например, при распределении различных датчиков по окружности утяжеленной бурильной трубы 48 в по существу одном и том же продольном положении. При таком конфигурировании датчиков и детекторов предполагается, что диаметр проникновения будет по существу одинаковым для всех выполняемых измерений, поясняемых ниже.
С учетом пояснения общих терминов, относящихся к примеру прибора, применяемого для выполнения измерений, предназначенных для использования в изобретении, теперь с обращением к фиг.4 будет пояснен пример способа согласно изобретению. В одном примере, как показано позицией 80, во время бурения регистрируют результаты измерений, выполняемых с помощью переводника. В течение 82 первым элементом способа является обработка множества результатов измерений удельного сопротивления для определения глубины (di на фиг.2) проникновения. Такая обработка может включать в себя инверсию, при которой образуют исходную модель распределения удельных сопротивлений, для такой модели формируют ожидаемый (прямой) отклик датчиков (64 на фиг.3) удельного сопротивления, а модель корректируют и прямой отклик пересчитывают до тех пор, пока прямой отклик в пределах выбранного допустимого отклонения не будет согласован с результатами измерений, выполненных в стволе скважины. Исходно предполагают, что проникновение меньше, чем глубина исследования, соответствующая отсчитываемому замеру прибором GEOVISION на наибольшей глубине, например, около 7 дюймов (17,78 см). Такое предположение может быть приемлемым, если измерения выполняют во время бурения ствола скважины. Соленость реликтовой воды в промытой зоне, зоне проникновения фильтрата и не затронутой проникновением фильтрата зоне не требуется в качестве входного значения для определения глубины проникновения. Упомянутой выше процедурой будет обеспечиваться оценочный профиль поперечного проникновения, который можно использовать при интерпретации поперечного сечения захвата тепловых нейтронов и результатов измерений соотношения углерод/кислород («С/О»).
При выполнении следующего элемента 83 процесса результаты измерений поперечного сечения захвата тепловых нейтронов можно обработать, чтобы определить, является ли проникновение настолько неглубоким, что мало сказывается на результатах измерений удельного сопротивления, и/или чтобы выполнить перекрестную проверку профиля проникновения, определяемого на основании измерений удельного сопротивления. Как и в предыдущем элементе процесса, используя результаты измерений удельного сопротивления, профиль (Σt, Σi, Σxo и di) проникновения с поперечными сечениями захвата можно определять с помощью процесса инверсии. Кроме того, как и в предыдущем элементе процесса, определение профиля проникновения с поперечными сечениями захвата можно выполнять непосредственно на основании результатов измерений поперечного сечения захвата тепловых нейтронов без необходимости получать значение солености реликтовой воды на этом этапе процесса. Предполагается, что любой скважинный каротажный прибор, используемый для выполнения настоящего способа, должен выполнять измерения поперечного сечения захвата тепловых нейтронов на по меньшей мере двух, а предпочтительно на трех различных поперечных глубинах исследования. Прибор ECOSCOPE, упомянутый выше, обладает такой способностью.
Предполагается, что зависимость результата измерения соотношения углерод/кислород от насыщения флюидом и пористости полностью описана до использования результатов измерений соотношения углерод/кислород в настоящем способе, то есть характеристика соотношения углерод/кислород для различных радиальных проникновений и двумерных профилей насыщения должна определяться заранее. Поэтому, используя результаты измерений соотношения углерод/кислород и профиль радиального проникновения, определяемый, как пояснялось выше, с использованием измерений удельного сопротивления и/или поперечного сечения захвата, оценку Sw в не затронутой проникновением фильтрата зоне (44 на фиг.2) можно получить по измерениям соотношения углерод/кислород. Такое оценивание показано на блок-схеме последовательности действий позицией 84. Предполагается, что получение такой оценки является применимым в ситуациях, когда определяют, что проникновение должно быть относительно неглубоким (например, меньше чем около 4 дюймов (10,16 см)). Если определяют, что проникновение должно быть больше чем около 6 дюймов (15,24 см), оценивание Sw по соотношению углерод/кислород можно еще использовать, но значения, определяемые таким образом, следует идентифицировать в записи данных как результаты измерений из зоны проникновения фильтрата и промытой зоны (42 и 40 на фиг.2).
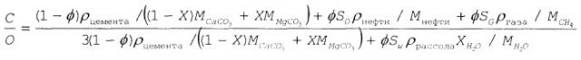
Измерения углерода и кислорода, выполняемые с помощью переводника (10 на фиг.1), можно использовать для определения насыщения водой в карбонатных пластах, в том числе в известняковых, доломитных и смешанных, в соответствии с выражением
,
где представляет молекулярную массу определенных составляющих пласта, для похожего на известняковый (кальциево-карбонатный) , доломитного (магниево-карбонатного) , оценочное значение для нефти, Mнефти≈14, для метана (природного газа) и для воды .
Плотность цемента (зерен породы) связана с количеством магния (доломитизацией), при этом плотность известняка составляет 2,71 г/см3 и доломита 2,87 г/см3. Плотность рассола (реликтовой воды) также связана с его соленостью Х:
В случае, когда пласт не содержит свободного газа: SG=0, So=1-Sw и в результате:
Пористость и плотность цемента можно определять на основании результатов измерений, выполняемых прибором ECOSCOPE, в том числе объемную плотность, пористость по данным нейтронного каротажа и фотоэлектрический эффект.
Затем соленость пластовой воды в не затронутой проникновением фильтрата зоне (44 на фиг.2) можно определить на основании результатов измерений поперечного сечения захвата тепловых нейтронов, используя Sw, определяемое, как пояснялось выше, на основании измерений соотношения углерод/кислород. Соленость связана с объемом воды в поровых пространствах [(1-Sw)*] и поперечным сечением захвата тепловых нейтронов, определяемым, как пояснялось выше, путем инверсии результатов измерений поперечного сечения захвата. Соленость, определенную таким образом, можно сравнивать с количеством хлора, которое определяют, используя результаты измерений гамма-спектроскопией неупругого рассеяния, выполненные так, как они должны выполняться прибором ECOSCOPE.
На данном этапе процесса для не затронутой проникновением фильтрата зоны (44 на фиг.2) определены величины Rt, Sw и . Применяя спосо
 
                         
                            


