Способ обработки подземного пласта разлагаемым веществом
Иллюстрации
Показать всеИзобретение относится к обработке подземных пластов при добыче углеводородов. Способ обработки подземного пласта, пересеченного скважиной, включающий: обеспечение обрабатывающей жидкости, содержащей вязкоупругое поверхностно-активное вещество, имеющее по меньшей мере одну разлагаемую связь, гидролизуемый материал и материал для регулирования величины рН, при этом материал для регулирования величины рН имеет значение рН, равное или большее, чем примерно 9, и содержит сильнощелочное вещество и окислитель; и введение в подземный пласт обрабатывающей жидкости. Изобретение развито в зависимых пунктах формулы. Технический результат - повышение эффективности транспортирования крупноразмерного расклинивающего наполнителя и разложения при низкотемпературных условиях. 20 з.п. ф-лы, 1 табл., 14 ил.
Реферат
ОБЛАСТЬ ТЕХНИКИ
[001] Настоящее изобретение относится к технологии обработки подземных пластов, а более конкретно к способу доставки жидкой обрабатывающей композиции с основной смесью и разлагаемым веществом в пласт с целью применения при пониженных температурах. Изобретение, в частности, применимо к способам доставки вязкоупругих композиций поверхностно-активных веществ с низкой вязкостью, способных транспортировать крупноразмерные расклинивающие наполнители и чисто разлагаться без необходимости предварительных промывок или последующих промывок.
УРОВЕНЬ ТЕХНИКИ
[002] Гидравлический разрыв подземных пластов с давних пор зарекомендовал себя как эффективное средство стимулирования добычи углеводородных жидкостей из скважины. При гидравлическом разрыве пласта жидкость для интенсификации притока в скважину (обычно называемую жидкостью для гидроразрыва) вводят в скважину и через нее подают к поверхности подземного пласта, пересеченного скважиной, под давлением, по меньшей мере достаточным для создания разлома в пласте. Обычно для создания разлома сначала закачивают «заполняющую жидкость», а затем жидкость для гидроразрыва, часто несущую зернистые расклинивающие наполнители, под давлением и при расходе, которые достаточны для увеличения разлома от скважины вглубь пласта. При использовании расклинивающего наполнителя задача, в общем, сводится к созданию зоны, заполненной расклинивающим наполнителем, проходящей от границы разлома к скважине. В любом случае гидравлически созданный разлом является более проницаемым, чем указанный пласт, и представляет собой путепровод или канал, по которому углеводородные жидкости в пласте поступают к скважине и затем на поверхность, где их собирают.
[003] В качестве жидкостей для гидроразрыва используют самые разнообразные жидкости, но многие, если не большинство из них, являются жидкостями на водной основе, вязкость которых увеличивают или загущают путем добавления натурального или синтетического полимера (сшитого или несшитого) или вязкоупругого поверхностно-активного вещества (VES). Жидким носителем обычно является вода или соляной раствор (например, разбавленные водные растворы хлорида натрия и/или хлорида калия).
[004] Загущающий полимер обычно представляет собой сольватируемый (или гидратируемый) полисахарид, такой как галактоманнановая камедь, глюкоманнановая камедь или производное целлюлозы. Примеры таких полимеров включают гуар, гидроксипропилгуар, карбоксиметилгуар, карбоксиметилгидроксиэтилгуар, гидроксиэтилцеллюлозу, карбоксиметилгидроксиэтилцеллюлозу, гидроксипропилцеллюлозу, ксантан, полиакриламиды и другие синтетические полимеры. Из вышеуказанных веществ гуар, гидроксипропилгуар и карбоксиметилгидроксипропилгуар обычно являются предпочтительными благодаря их коммерческой доступности и выгодной стоимости.
[005] Во многих случаях, если не в большинстве, полимерный загуститель представляет собой сшитый подходящим сшивающим агентом полимер. Сшитый полимер имеет еще более высокую вязкость и является более эффективным при переносе расклинивающего наполнителя в разорванный пласт. Боратный ион широко используется в качестве сшивающего агента, обычно в жидкостях с высоким значением рН, для гуара, производных гуара и других галактоманнанов. Другие сшивающие агенты включают, например, титан, хром, железо, алюминий и цирконий.
[006] Вязкоупругие жидкие поверхностно-активные вещества обычно получают путем смешивания в жидком носителе соответствующих количеств подходящих поверхностно-активных веществ, таких как анионные, катионные, неионные и цвиттерионные поверхностно-активные вещества. Вязкость вязкоупругих жидких поверхностно-активных веществ объясняется трехмерной структурой, формируемой компонентами в жидкости. Когда концентрация вязкоупругих поверхностно-активных веществ существенно превышает критическую концентрацию, молекулы поверхностно-активных веществ агрегируются в мицеллы, которые могут быть очень сильно сплетены с образованием сетчатой структуры, проявляющей упругие свойства.
[007] Растворы вязкоупругих поверхностно-активных веществ обычно получают путем добавления некоторых реагентов к концентрированным растворам поверхностно-активных веществ, зачастую состоящих из длинноцепочечных четвертичных аммониевых солей, таких как бромид цетилтриметиламмония (СТАВ). Обычные реагенты, которые инициируют возникновение вязкоупругих свойств у растворов поверхностно-активных веществ, представляют собой соли, такие как хлорид аммония, хлорид калия, салицилат натрия и изоцианат натрия, и неионные органические молекулы, такие как хлороформ. Содержание электролитов в растворах поверхностно-активных веществ также является важным фактором контроля их вязкоупругих свойств.
[008] В процессе гидравлического разрыва пласта контроль роста глубины разлома может быть важным обстоятельством. В тех случаях, когда уровень грунтовых вод близок к зоне разрыва, или когда зоны разрыва имеют низкие барьеры механических напряжений, когда рост глубины разлома может приводить к выпадению расклинивающего наполнителя из жидкости для гидроразрыва, контроль глубины разлома может быть критически важным. Обычная технология контроля глубины разлома состоит в применении жидкостей с более низкой вязкостью, таких как вязкоупругие поверхностно-активные средства (VES). Однако жидкости с пониженной вязкостью неспособны к эффективному переносу в разлом крупноразмерных расклинивающих наполнителей.
[009] Один способ разрешения проблемы состоял во введении волокна в поверхностно-активные жидкости. Однако разрушение волокон и содержащего волокна вязкоупругого поверхностно-активного вещества (VES) в жидкости для гидроразрыва может все же представлять проблему, в особенности в отсутствие предварительной или последующей промывок. Как было показано, волокна из полимолочной кислоты (ПМК) разлагаются на растворимые вещества под действием температуры и времени. Однако все применения ограничены температурами выше 82°С, исходя из скорости разложения. При температурах ниже 82°С ПМК волокна разлагаются слишком медленно, чтобы их можно было использовать для обработки нефтяных месторождений. Следовательно, было бы полезным разработать вязкоупругую жидкую поверхностно-активную композицию, которая бы эффективно транспортировала крупноразмерные расклинивающие наполнители и при этом разлагалась при низкотемпературных условиях (ниже 82°С, например 50°С или 60°С), оставляя немного или вообще не оставляя остаточных твердых компонентов в разломе.
КРАТКОЕ ОПИСАНИЕ ИЗОБРЕТЕНИЯ
[0010] Согласно одному варианту реализации в изобретении предложен способ обработки подземного пласта, пересеченного скважиной, который включает обеспечение обрабатывающей жидкости, содержащей вязкоупругое поверхностно-активное вещество, имеющее по меньшей мере одну разлагаемую связь, гидролизуемый материал и материал для регулирования величины рН, при этом материал для регулирования величины рН имеет значение рН, равное или большее, чем примерно 9, и включает сильнощелочной материал и окислитель; и введение обрабатывающей жидкости в подземный пласт.
[0011] Согласно еще одному варианту реализации в изобретении предложен способ обработки подземного пласта, пересеченного скважиной, который включает введение в подземный пласт обрабатывающей жидкости, состоящей из вязкоупругого поверхностно-активного вещества, имеющего по меньшей мере одну разлагаемую связь, гидролизуемого материала и материала для регулирования величины рН, при этом материал для регулирования величины рН представляет собой аминную добавку.
[0012] Согласно некоторым вариантам реализации изобретения гидролизуемый материал представляет собой гидролизуемые волокна, например, выбранные из группы, включающей сложные полиэфиры, полиамиды и полилактиды. Гидролизуемые волокна и вязкоупругое поверхностно-активное вещество могут образовать нетвердые продукты при гидролизе.
[0013] Согласно некоторым вариантам реализации изобретения окислитель, и/или сильнощелочной материал, и/или аминная добавка может (могут) быть инкапсулирована(ы).
[0014] Согласно еще одному варианту реализации сильнощелочной материал имеет значение рН по меньшей мере примерно 11. Сильнощелочной материал может быть выбран из группы, включающей гидроксид, оксид металла, гидроксид кальция, карбонаты металла и бикарбонаты металла. Гидроксид металла может представлять собой NaOH, Са(ОН)2, Mg(OH)2 или КОН, и оксид металла может представлять собой CaO, MgO или ZnO. Окислитель может представлять собой персульфат аммония или пероксид кальция. Аминная добавка может быть выбрана из группы, включающей мочевину, диметилолмочевину, 1,1-диэтилмочевину, 1,1,3,3-тетраметилмочевину, 1,3-диэтилмочевину, гидроксимочевину, 1,3-диаллилмочевину, этилмочевину, 1,1-диметилмочевину, 4-диметиламинопиридин (DMAP) и 1,8-диазабицило[5.4.0]ундек-7-ен (DBU). Аминная добавка может дополнительно содержать соль, например карбонат калия.
[0015] Если специально не указано иное, в настоящей заявке все процентные содержания представляют собой процентные содержания по массе.
КРАТКОЕ ОПИСАНИЕ ФИГУР
(0016] На Фиг.1 представлен график зависимости растворения волокна от времени, в часах, при температуре 75°С.
[0017] На Фиг.2 представлен график, иллюстрирующий разложение ПМК волокна через 18 ч 30 мин при температуре 50°С.
[0018] На Фиг.3 представлен график, иллюстрирующий разложение ПМК волокна через 4 ч при температуре 50°С.
[0019] На Фиг.4 представлен график, иллюстрирующий разложение ПМК волокна различными окислителями при температуре 50°С.
[0020] На Фиг.5 представлен график, иллюстрирующий проницаемость расклинивающих наполнителей Fores 12/18 с волокнами при различных количествах гидроксида натрия.
[0021] На Фиг.6 представлен график, иллюстрирующий разложение волокон с различными мочевинными добавками и аминными добавками при температурах 66°С и 100°С.
[0022] На Фиг.7 представлен график зависимости разложения волокон как функция концентрации DBU при температурах 50°С и 66°С.
[0023] На Фиг.8 представлен график зависимости разложения волокон с DMAP как функция концентрации DBU при температуре 50°С и 66°С.
[0024] На Фиг.9 представлен график, иллюстрирующий разложение волокон с DMAP при температуре 50°С в течение 58 часов.
[0025] На Фиг.10 представлен график, иллюстрирующий разложение волокон с DMAP при температуре 66°С в течение 21 часа.
[0026] На Фиг.11 представлен график, иллюстрирующий разложение волокон с DBU при температуре 50°С в течение 68 часов.
[0027] На Фиг.12 представлен график, иллюстрирующий разложение волокон с DBU при 66°С в течение 21 часа.
[0028] На Фиг.13 представлен график, иллюстрирующий разложение волокон с 1,1-диэтилмочевиной при температуре 50°С в течение 5 часов.
[0029] На Фиг.14 представлен график, иллюстрирующий разложение волокон с 1,1-диэтилмочевиной при температуре 66°С в течение 21 часа.
ПОДРОБНОЕ ОПИСАНИЕ ИЗОБРЕТЕНИЯ
[0030] Вначале следует отметить, что при разработке любого конкретного варианта реализации изобретения необходимо принятие многочисленных зависящих от конкретного варианта реализации решений, направленных на решение конкретных задач, поставленных разработчиком, таких как соответствие требованиям, связанным с техническими системами и коммерческой деятельностью, которые будут варьировать в зависимости от того или иного варианта осуществления. Более того, следует учитывать, что такие разработки могут быть сложными и трудозатратными, но тем не менее будут являться рутинными для среднего специалиста в данной области техники с учетом настоящего описания. Описание и примеры представлены исключительно для иллюстрации предпочтительных вариантов реализации изобретения и не должны рассматриваться в качестве ограничения объема и применимости изобретения. Несмотря на то, что композиции согласно настоящему изобретению описаны здесь таким образом, что они содержат определенные вещества (материалы), следует учитывать, что композиция может содержать два или более химически различных материала. Кроме того, композиция может также содержать несколько компонентов, отличных от тех, что указывались в настоящей заявке.
[0031] В кратком описании изобретения и в настоящем разделе каждое численное значение один раз следует рассматривать как значение, с использованием термина "примерно" (если этого явно не указано) и затем снова рассматривать как неизмененное значение, если в контексте не указано иное. Также в кратком описании изобретения и в настоящем подробном описании следует учитывать, что любые значения из интервала концентраций, приведенного или описанного в качестве применяемого, подходящего или т.п., в том числе конечные значения интервала, следует рассматривать в качестве заявленных. Например, следует считать, что "интервал от 1 до 10" включает каждое и любое возможное число в пределах бесконечного множества между примерно 1 и примерно 10. Таким образом, даже если указаны конкретные значения в пределах интервала или ни одно из значений не указано в пределах интервала, или указано только несколько конкретных значений, следует учитывать, что авторы изобретения предполагают, что любые и все значения в пределах указанного интервала были установлены, и что авторами заявлен полный интервал и все точки в пределах указанного интервала.
[0032] Первый вариант реализации изобретения представляет собой способ обработки нефтяного месторождения, включающий обеспечение жидкости, загущенной вязкоупругим поверхностно-активным веществом, включающей разлагаемое вещество и основную смесь для гидролиза ПМК при низкой температуре.
[0033] Согласно некоторым вариантам реализации изобретения разлагаемое вещество представляет собой разлагаемое волокно или разлагаемую частицу. Например, применяют разлагаемые волокна или частицы, выполненные из разлагаемых полимеров. Различные молекулярные структуры разлагаемых веществ, которые подходят для применения в вариантах реализации настоящего изобретения, обеспечивают широкий ряд возможностей, касающийся регулирования скорости разложения разлагаемого вещества. Способность к разложению полимера зависит по меньшей мере частично от структуры его основной цепи. Одной из наиболее общих структурных характеристик является присутствие гидролизуемых и/или окисляемых связей в основной цепи. Скорости разложения, например, сложных полиэфиров зависят от типа структурного звена, композиции, последовательности, длины, геометрии молекул, молекулярной массы, морфологии (например, кристалличности, размера сферолитов и ориентации), гидрофильности, площади поверхности и добавок. Также окружающие условия, воздействию которых подвергается полимер, могут влиять на процесс его разложения, например температура, присутствие влаги, кислорода, микроорганизмов, ферментов, рН и т.п. Средний специалист в данной области техники с учетом настоящего описания будет способен определить, каким должен быть оптимальный полимер для данного варианта применения, с учетом характеристик применяемого полимера и окружающих условий, воздействию которых он будет подвергаться.
[0034] Подходящие примеры полимеров, которые могут быть использованы в соответствии с вариантами реализации изобретения, таким образом, включают помимо прочего гомополимеры, случайные сополимеры алифатических сложных полиэфиров, блок-сополимеры алифатических сложных полиэфиров, звездообразные сополимеры алифатических сложных полиэфиров, или гиперразветвленные сополимеры алифатических сложных полиэфиров. Такие подходящие полимеры можно получить с помощью реакций поликонденсации, полимеризаций с раскрытием цикла, свободно радикальных полимеризаций, анионных полимеризаций, карбокатионных полимеризаций, координационной полимеризации с раскрытием цикла, например лактонов, и любых других подходящих процессов. Конкретные примеры подходящих полимеров включают полисахариды, такие как декстран или целлюлоза; хитины; хитозаны; белки; алифатические сложные полиэфиры; поли(лактиды); поли(гликолиды); поли(ε-капролактоны); поли(гидрокси эфиры алкоксикислоты); поли(гидроксибутираты); полиангидриды; поликарбонаты; поли(ортоэфиры); поли(ацетали); поли(акрилаты); поли(алкилакрилаты); поли(аминокислоты); поли(этиленоксид); полиэфиры алкоксикислоты; полиэфирамиды; полиамиды; полифосфазены и их сополимеры или смеси. Для применения в настоящем изобретении могут также подходить другие разлагаемые полимеры, которые подвергаются гидролитическому разложению. Из этих подходящих полимеров предпочтительными являются алифатические сложные полиэфиры. Из подходящих алифатических сложных полиэфиров предпочтительными являются сложные полиэфиры α- или β-гидроксикислоты. Наиболее предпочтительным является поли(лактид). Поли(лактид) синтезируют из молочной кислоты посредством реакции конденсации или, более часто, посредством полимеризации с раскрытием цикла циклического мономера лактида. Мономер лактида, как правило, существует в трех различных формах: в виде двух стереоизомеров L- и D-лактид; и D,L-лактида (мезо-лактида). Хиральность лактидных звеньев обеспечивает средства для регулирования, среди прочего, скоростей разложения, а также достижение определенных физических и механических свойств после полимеризации лактида. Поли(L-лактид), например, представляет собой полукристаллический полимер с относительно низкой скоростью гидролиза. Он может быть предпочтительным для использования в применениях, при которых желательным является медленное разложение разлагаемого вещества. Поли(D,L-лактид) представляет собой аморфный полимер с гораздо более высокой скоростью гидролиза. Он может быть предпочтительным для использования в других вариантах применения. Стереоизомеры молочной кислоты могут быть использованы по отдельности или вместе для применения в композициях и способах согласно настоящим вариантам реализации изобретения. Кроме того, их можно сополимеризовать, например, с гликолидом или другими мономерами, подобно ε-капролактону, 1,5-диоксепан-2-ону, триметиленкарбонату, или с другими подходящими мономерами для получения полимеров с различными свойствами или временами разложения. Кроме того, стереоизомеры молочной кислоты можно модифицировать путем смешивания высоко- и низкомолекулярного полилактида или путем смешивания полилактида с другими алифатическими сложными полиэфирами. Например, на скорость разложения полимолочной кислоты можно влиять путем смешивания, например, высоко- и низкомолекулярных полилактидов; смесей полилактида и мономера лактида; или путем смешивания полилактида с другими алифатическими сложными полиэфирами.
[0035] Один принцип выбора композиционных частиц для применения в конкретном случае заключается в понимании того, какие продукты разложения будут образовываться. Другой принцип состоит в учете условий, при которых реализуется конкретный вариант применения изобретения. При выборе подходящего разлагаемого вещества следует учитывать продукты разложения, которые будут образовываться. Например, при разложении некоторых веществ может образоваться кислота, тогда как присутствие кислоты может быть нежелательным; при разложении других веществ могут образоваться нерастворимые продукты разложения, которые также могут быть нежелательными. Более того, эти продукты разложения не должны оказывать вредного воздействия на другие технологические операции или компоненты.
[0036] Физические свойства разлагаемых полимеров могут зависеть от нескольких факторов, таких как состав структурных звеньев, упругость цепи, присутствие полярных групп, молекулярная масса, степень разветвленности, кристалличность, ориентация и т.п. Например, разветвление коротких цепей снижает степень кристалличности полимеров, тогда как разветвление длинных цепей уменьшает вязкость расплава и придает, среди прочего, объемную вязкость с увеличением жесткости при растяжении. Указанные свойства используемого вещества можно также варьировать путем его смешивания и сополимеризации с другим полимером или путем изменения макромолекулярной архитектуры (например, получая гиперразветвленные полимеры, звездообразные полимеры или дендримеры, и т.д.). Свойства любых таких подходящих разлагаемых полимеров (такие как гидрофильность, скорость биоразложения и т.д.) можно контролировать путем введения функциональных групп по всей длине полимерных цепей. Средний специалист в данной области техники с учетом настоящего описания сможет определить соответствующие функциональные группы для введения в полимерные цепи и достижения требуемого эффекта.
[0037] Согласно одному варианту реализации в предлагаемом способе используют разлагаемые волокна, на которые воздействуют условиями с высоким значением рН в течение определенного периода времени. Примеры таких волокон включают без ограничений сложные полиэфиры, полиамиды, полилактиды и т.п.
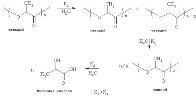
[0038] Согласно одному варианту реализации в способе используют полимолочную кислоту, которая подвергается гидролизу с образованием жидкости при воздействии среды с высоким значением рН, как показано на следующей схеме реакции:
Схема 1: Реакция гидролиза полимолочных волокон
[0039] Для создания среды с рН, подходящим для проведения гидролиза волокон при низкой температуре (40°С-85°С), применяют основную смесь. Основная смесь может представлять собой реагент, регулирующий рН.
[0040] Подходящие реагенты, регулирующие рН, будут варьировать в зависимости от конкретного выбранного разлагаемого волокна, но, в общем, могут включать те реагенты, которые являются сильнощелочными веществами и могут создать среду с высоким значением рН. Как правило, сильнощелочными веществами считаются рН регулирующие реагенты, которые имеют значение рН 9 или более. Примеры таких сильнощелочных веществ включают, без ограничений, гидроксиды металлов, оксиды металлов, гидроксид кальция, карбонаты или бикарбонаты металлов и т.п. Например, сильнощелочное вещество может представлять собой СаО, Са(ОН)2, MgO, а также жидкие добавки, такие как NaOH и КОН.
[0041] Реагент, регулирующий рН, может также содержать окислители, такие как (NH4)2S2O4 и CaO2. Как было обнаружено, окислители увеличивают скорость разложения волокна при их совместном использовании с оксидом металла.
[0042] Реагент, регулирующий рН, также может содержать аминные основные добавки, такие как мочевину и ее производные, а также нуклеофильные амины, такие как 4-диметиламинопиридин (DMAP) и 1,8-диазабицикло[5.4.0]ундек-7-ен (DBU). Согласно одному варианту реализации реагент, регулирующий рН, может также содержать комбинацию аминов с карбонатом калия (К2СО3).
[0043] Согласно первому варианту реализации изобретения реагент, регулирующий рН, состоит из сильнощелочного вещества и окислителя. Согласно второму варианту реализации изобретения реагент, регулирующий рН, состоит из аминной добавки. Аминная добавка может представлять собой аминное основание и/или нуклеофильный амин. Согласно одному варианту реализации аминная добавка также может представлять собой амин и соль. Согласно третьему варианту реализации изобретения реагент, регулирующий рН, состоит из сильнощелочного вещества, окислителя и аминной добавки.
[0044] Количество реагента, регулирующего рН, необходимое для проведения гидролиза при низкой температуре, будет варьировать в зависимости от конкретного выбранного регулирующего реагента и регулирующей системы, но в общем реагент, регулирующий рН, может составлять от примерно 0,5 массовых процентов до примерно 15 массовых процентов относительно массы обрабатывающей жидкости. Согласно одному варианту реализации жидкость может содержать примерно от 1 массового процента до примерно 10 массовых процентов. Согласно еще одному варианту реализации жидкость может содержать примерно от 3 массовых процентов до примерно 10 массовых процентов. Согласно еще одному варианту реализации изобретения жидкость может содержать от примерно 3 массовых процентов до примерно 7 массовых процентов.
[0045] При загущении жидкостей путем добавления вязкоупругих поверхностно-активных систем предполагают, что увеличение вязкости обусловлено образованием мицелл, например червеобразных мицелл, которые сплетаются, придавая жидкости структуру, обеспечивающую увеличение вязкости. Помимо самой вязкости важным аспектом свойств жидкости является степень восстановления вязкости или возвращение к прежнему состоянию при воздействии на жидкость сильного сдвигового напряжения, а затем снятия сдвигового напряжения. Для вязкоупругих поверхностно-активных жидкостей сдвиг может разрушить мицеллярную структуру, после чего структура реформируется. Регулирование степени реорганизации (возвращения к прежнему состоянию) необходимо для максимизации эффективности поверхностно-активной системы при различных применениях. Например, при гидравлическом разрыве пласта критическим для жидкости является восстановление вязкости, настолько быстрое, насколько возможно, после выхода из зоны высокого сдвигового напряжения в трубопроводах и при входе в среду со слабыми сдвиговыми напряжениями в гидравлическом разломе. С другой стороны, при очистке скрученных труб желательно обеспечить некоторую задержку восстановления полной вязкости, чтобы более эффективно смыть сильной струей твердые компоненты со дна скважины в межтрубное пространство. Именно в межтрубном пространстве восстановившаяся вязкость обеспечивает эффективный вынос твердых компонентов на поверхность. Таким образом, необходим контроль за восстановлением вязкости и временем, требуемым для такого восстановления.
[0046] В указанном варианте применения можно использовать многие вязкоупругие поверхностно-активные вещества. Поверхностно-активные вещества с разлагаемой связью в молекуле будут гидролизоваться с отделением гидрофильной головки от гидрофобного хвоста. Не желая быть связанным какой-либо теорией, предполагают, что такое разделение будет разрушать мицеллы, образованные вязкоупругим поверхностно-активным веществом.
[0047] Типичные катионные вязкоупругие поверхностно-активные вещества включают аминные соли и четвертичные аминные соли, описанные в патентах США №5,979,557 и 6,435,277, которые имеют общего заявителя с настоящей заявкой и которые включены в настоящее описание посредством ссылки.
[0048] Согласно одному варианту реализации вязкоупругое поверхностно-активное вещество имеет амидную связь в концевой группе согласно схеме
[0049] Примеры подходящих катионных вязкоупругих поверхностно-активных веществ включают катионные поверхностно-активные вещества, имеющие структуру:
R1N+(R2)(R3)(R4) X-,
в которой R1 содержит примерно от 14 до примерно 26 атомов углерода и может быть разветвленным или неразветвленным, ароматическим, насыщенным или ненасыщенным, и может содержать карбонил, амид, ретроамид, имид или амин; R2, R3 и R4 каждый независимо представляет собой водород или алифатическую группу С1 - примерно С6, которая может быть одинаковой или различной, разветвленной или неразветвленной, насыщенной или ненасыщенной, и одна или более чем одна из которых может иметь в качестве заместителя группу, которая делает группы R2, R3 и R4 более гидрофильными; группы R2, R3 и R4 могут быть включены в гетероциклическую пяти- или шестичленную кольцевую структуру, которая включает атом азота; группы R2, R3 и R4 могут быть одинаковыми или различными; и X- представляет собой анион. Также для применения в настоящем изобретении пригодны смеси таких соединений. В качестве дополнительного примера, R1 состоит примерно из 18 до примерно 22 атомов углерода и может содержать карбонил, амид или амин, и R2, R3 и R4 являются одинаковыми между собой и содержат от 1 до 3 атомов углерода. Катионные поверхностно-активные вещества, имеющие структуру R1N+(R2)(R3)(R4) X-, могут включать амины, имеющие структуру R1N(R2)(R3). Хорошо известно, что коммерчески доступные катионные поверхностно-активные вещества на основе четвертичных аминов часто содержат соответствующие амины (в которых R1, R2 и R3 в катионном поверхностно-активном веществе и в амине имеют одну и ту же структуру). При покупке коммерчески доступные концентрированные составы вязкоупругих поверхностно-активных веществ, например катионные вязкоупругие поверхностно-активные составы, могут также содержать один или более ингредиентов из группы, состоящей из растворителей, сорастворителей, органических кислот, солей органических кислот, неорганических солей и олигомеров, полимеров, сополимеров и смесей этих ингредиентов. Они могут также содержать усилители эффективности, такие как вещества, повышающие вязкость, например полисульфонаты, например полисульфоновые кислоты, как описано в находящейся на рассмотрении опубликованной патентной заявке США №2003-0134751, которая имеет общего заявителя с настоящей заявкой и которая включена в настоящее описание посредством ссылки.
[0050] Еще одно подходящее катионное вязкоупругое поверхностно-активное вещество представляет собой хлорид эруцил-бис(2-гидроксиэтил)метиламмония («ЕМНАС»), также известный как хлорид (Z)-13-докозенил-N,N-бис(2-гидроксиэтил)метиламмония. Обычно указанное вещество получают от производителей в виде смеси, содержащей примерно 60 массовых процентов поверхностно-активного вещества в смеси с изопропанолом, этиленгликолем и водой. В этом описании авторы при упоминании «ЕМНАС» подразумевают указанный раствор. Прочие подходящие аминные соли и соли четвертичных аминов включают (индивидуально или в комбинации) хлорид эруцилтриметиламмония; хлорид N-метил-N,N-бис(2-гидроксиэтил)аммония, полученный из рапсового масла; хлорид олеилметилбис(гидроксиэтил)аммония; хлорид эруциламидопропилтриметиламина, бромид октадецилметилбис(гидроксиэтил)аммония; бромид октадецилтрис(гидроксиэтил)аммония; бромид октадецилдиметилгидроксиэтиламмония; бромид цетилдиметилгидроксиэтиламмония; салицилат цетилметилбис(гидроксиэтил)аммония; 3,4-дихлорбензоат цетилметилбис(гидроксиэтил)аммония; иодид цетилтрис(гидроксиэтил)аммония; бромид козилдиметилгидроксиэтиламмония; хлорид козилметилбис(гидроксиэтил)аммония; бромид козилтрис(гидроксиэтил)аммония; бромид дикозилдиметилгидроксиэтиламмония; хлорид дикозилметилбис(гидроксиэтил)аммония; бромид дикозилтрис(гидроксиэтил)аммония; хлорид гексадецилэтилбис(гидроксиэтил)аммония; иодид гексадецилизопропилбис(гидроксиэтил)аммония; и хлорид цетиламино, N-октадецилпиридиния.
[0051] Цвиттерионные вязкоупругие поверхностно-активные вещества также пригодны для применения в настоящем изобретении. Типичные цвиттерионные вязкоупругие поверхностно-активные вещества включают вещества, описанные в патенте США №6,703,352, который имеет общего заявителя с настоящей заявкой, и который включен в настоящее описание посредством ссылки. Типичные цвиттерионные поверхностно-активные вещества имеют структуру:
в которой R1 представляет собой гидрокарбил, который может быть разветвленным или
неразветвленным, ароматическим, алифатическим или олефиновым, и содержит примерно от 14 до примерно 26 атомов углерода, и может включать аминогруппу; R2 представляет собой водород или алкильную группу, содержащую от 1 до примерно 4 атомов углерода; R3 представляет собой нециклическую углеводородную группу, содержащую от 1 до примерно 5 атомов углерода; и Y представляет собой электроноакцепторную группу. Более конкретно, цвиттерионное поверхностно-активное вещество может иметь бетаиновую структуру:
в которой R представляет собой гидрокарбил, который может быть разветвленным или неразветвленным, ароматическим, алифатическим или олефиновым, и содержать примерно от 14 до примерно 26 атомов углерода, возможно содержащий аминогруппу; n принимает значения примерно от 2 до примерно 4; и p принимает значения примерно от 1 до примерно 5. Можно также использовать смеси указанных соединений.
[0052] Два примера подходящих бетаинов представляют собой соответственно ВЕТ-O-30 и ВЕТ-Е-40. Вязкоупругое поверхностно-активное вещество в ВЕТ-O-30 представляет собой олеиламидопропилбетаин. В настоящей заявке это вещество обозначают как ВЕТ-O-30 по наименованию поставщик (фирма Rhodia, Inc., Cranbury, New Jersey, U.S.A.) - Mirataine BET-O-30; указанное вещество содержит амид олеиновой кислоты (включающую С17Н33-алкеновую концевую группу) и поставляется в виде примерно 30% активного поверхностно-активного вещества; оставшуюся часть, по существу, составляют вода, хлорид натрия, глицерин и пропан-1,2-диол. Аналогичный подходящий материал, ВЕТ-Е-40, использовали в нижеописанных экспериментах; его химическое название - эруциламидопропилбетаин. ВЕТ-Е-40 также производится фирмой Rhodia; указанное вещество содержит группу амида эруковой кислоты (включающую С21Н41-алкеновую концевую группу) и поставляется в виде примерно 40% активного ингредиента, при этом оставшуюся часть, по существу, составляют вода, хлорид натрия и изопропанол. ВЕТ-поверхностно-активные вещества и другие соединения, подходящие для применения в настоящем изобретении, описаны в патенте США No. 6,703,352.
[0053] Некоторые дополнительные поверхностно-активные вещества можно применять для повышения устойчивости к соляному раствору, для увеличения прочности геля, для сокращения времени восстановления вязкости после сдвигового напряжения и/или для снижения чувствительности к сдвигу цвиттерионных вязкоупругих жидких поверхностно-активных систем, таких как бетаиновые вязкоупругие жидкие поверхностно-активные вещества. Примером, приведенным в патенте США №6,702,352, является додецилбензолсульфонат натрия (SDBS). Еще один пример представляет полинафталинсульфонат. Цвиттерионные вязкоупругие поверхностно-активные вещества могут быть использованы с этим типом дополнительного поверхностно-активного вещества или без него, например веществом со структурой типа SDBS, имеющей насыщенную или ненасыщенную, разветвленную или неразветвленную С6-С16-цепь; другие примеры дополнительного поверхностно-активного вещества этого типа представляют собой вещества, включающие насыщенную или ненасыщенную, разветвленную или неразветвленную С8-С16-цепь. Другие подходящие примеры дополнительного поверхностно-активного вещества этого типа, в особенности для ВЕТ-O-30, представляют собой некоторые хелатообразующие вещества, такие как тринатриевая соль триацетата гидроксиэтилэтилендиамина. Известны многие добавки, подходящие для улучшения эффективности желатинизированных вязкоупругих поверхностно-активных систем; в настоящем изобретении можно использовать любые из них; перед применением эти добавки должны быть исследованы на совместимость с композициями и способами согласно вариантам реализации настоящего изобретения; простые лабораторные эксперименты для такого исследования хорошо известны.
[0054] Цвиттерионные поверхностно-активные вязкоупругие системы обычно содержат один или более ингредиентов из группы, состоящей из органических кислот, солей органических кислот, неорганических солей и олигомеров, полимеров, сополимеров и смесей этих ингредиентов. Указанные ингредиенты, как правило, содержатся лишь в небольшом количестве и совсем не обязательно присутствуют. Органическая кислота обычно представляет собой сульфоновую кислоту или карбоновую кислоту, и анионные противоионы солей органических кислот обычно представляют собой сульфонаты или карбоксилаты. Типичные примеры таких органических молекул включают разнообразные ароматические сульфонаты и карбоксилаты, такие как n-толуолсульфонат, нафталинсульфонат, хлорбензойная кислота, салициловая кислота, фталевая кислот
 
                         
                            


