Импульсный трансформатор на неоднородной линии

Иллюстрации

Показать все

Изобретение относится к электротехнике, к импульсным трансформаторам. Технический результат состоит в повышении импульсного входного напряжения. Трансформатор включает радиальную линию с радиусом R, состоящую из плоских проводящих дисков с зазором h между ними, в который помещен диэлектрик с проницаемостью ε. Внешний периметр радиальной линии является входом трансформатора с импедансом ρR со значением В центре верхнего проводящего диска выполнено отверстие с радиусом r, внутренний периметр которого является выходом трансформатора. К входу трансформатора равномерно присоединены n электродов подключения с интервалом Δl между краями соседних электродов, причем их количество соответствует значению где Δx - ширина электродов подключения, при этом одновременно значение интервала Δl соответствует условию где с - скорость света в вакууме; τ - длительность фронта нарастания входных импульсов напряжения. Точность синхронизации Δt подачи входных импульсов напряжения соответствует условию Δt<±τ/2. Коэффициент трансформации k равен значению причем где ρвх - импеданс на входе трансформатора; ρвых - импеданс на выходе трансформатора, и удовлетворяет условию где Т - длительность трансформируемого импульса. 14 з.п. ф-лы, 13 ил.

Реферат

Изобретение относится к импульсным трансформаторам и может быть использовано для формирования высоковольтных импульсов напряжения в плазмохимии, ускорителях, медицинской технике и других областях.

Известен импульсный коаксиальный трансформатор на неоднородной линии, содержащий наружный электрод в виде проводящей трубы и внутренний электрод, выполненный из группы отрезков труб с дискретно изменяющимися в одну сторону значениями диаметров, пространство между электродами заполнено трансформаторным маслом, входной узел трансформатора предназначен для подключения к источнику трансформируемого сигнала, а выходной узел - к нагрузке (см. В.В. Кремнев, Г.А. Месяц «Методы умножения и трансформации импульсов», Новосибирск, Наука, 1987, стр.14-15).

В данном трансформаторе изменение импеданса достигается переменным сечением одного электрода с заданными значениями спада вершины импульса напряжения.

Известен импульсный коаксиальный трансформатор на неоднородной линии, содержащий наружный и внутренний электроды с диэлектрической средой между ними, при этом один из электродов выполнен с переменным плавно изменяющимся в одну сторону значений сечением, входной узел трансформатора предназначен для подключения к источнику трансформируемого импульса, а выходной узел - к нагрузке, при этом выходной узел расположен от входного на расстоянии L, на котором обеспечена трансформация сигнала с допустимой величиной спада вершины импульса заданной длительности (В.В. Кремнев, Г.А. Месяц «Методы умножения и трансформации импульсов», Новосибирск, Наука, 1987, стр.15-16).

Недостатками известных устройств являются малый коэффициент трансформации, большие размеры, вес и неудобство использования выхода с низким значением импеданса.

Наиболее близким по технической сущности к заявляемому решению является импульсный коаксиальный трансформатор на неоднородной линии, использующий изменение импеданса неоднородной линии по ее длине (см. патент RU №2149485, H01P 5/12, H01P 5/19, 1998).

Устройство содержит коаксиальные наружный и внутренний электроды, один из которых имеет плавно изменяющееся сечение, входной и выходной узлы, последний выполнен в виде n идентичных коаксиальных каналов, оси которых расположены равномерно радиально в плоскости, перпендикулярной оси трансформатора в точке, находящейся на заданном расстоянии от входного узла.

Внутренний и наружный электроды каждого канала подключены соответственно к внутреннему и наружному электроду трансформатора, волновые сопротивления каналов и трансформатора согласованы выбором соотношения диаметров электродов трансформатора в плоскости подключения каналов.

В этой плоскости кратчайшее расстояние по поверхности наружного электрода трансформатора между соседними наружными электродами каналов и диаметром наружного электрода связаны приведенным расчетным соотношением с учетом заданного значения погрешности длительности фронта трансформируемого импульса, скорости света в межэлектродной диэлектрической среде, заданного значения длительности фронта трансформируемого импульса и диэлектрической проницаемости среды между электродами трансформатора.

Изменение импеданса достигается переменным сечением одного электрода, а выход выполнен в виде параллельно включенных n коаксиальных линий с импедансом 50 Ом.

Недостатком данного трансформатора является то, что он позволяет только понижать входное напряжение, а также имеет большие размеры и вес.

Задачей изобретения является создание компактного в одном измерении импульсного трансформатора на неоднородной линии, технологичного в изготовлении.

Техническим результатом изобретения является повышение импульсного входного напряжения с большим диапазоном коэффициента умножения в сочетании с плоской формой трансформатора, один из размеров которого может быть на несколько порядков меньше других размеров, и возможностью выбора значений входного и выходного импедансов.

Для достижения указанного технического результата в импульсном трансформаторе на неоднородной линии, использующем изменение импеданса неоднородной линии по ее длине, согласно изобретению, неоднородная линия выполнена радиальной, состоящей из плоских проводящих дисков, верхнего и нижнего, расположенных соосно с зазором h между ними, в который помещен диэлектрик с проницаемостью ε, при этом внешний периметр радиальной линии является входом трансформатора с импедансом ρR со значением где ε - диэлектрическая проницаемость среды между проводящими дисками; R - радиус радиальной линии; h - зазор между проводящими дисками, в центре верхнего проводящего диска выполнено отверстие с радиусом r, внутренний периметр которого является выходом трансформатора, при этом к входу трансформатора равномерно присоединены n электродов подключения с интервалом Δl между краями соседних электродов, причем их количество соответствует значению где Δx - ширина электродов подключения, при этом одновременно значение интервала Δl соответствует условию где с - скорость света в вакууме; τ - длительность фронта нарастания входных импульсов напряжения, а точность синхронизации Δt подачи входных импульсов напряжения соответствует условию Δt<±τ/2, при этом коэффициент трансформации k равен значению

причем где ρвх - импеданс на входе трансформатора; ρвых - импеданс на выходе трансформатора, и удовлетворяет условию

где Т - длительность трансформируемого импульса.

Согласно изобретению, зазор h является величиной постоянной или переменной вдоль радиуса R радиальной линии.

Согласно изобретению, значение диэлектрической проницаемости среды ε является величиной постоянной вдоль радиуса R радиальной линии и находится в диапазоне от 1 до 1000 или величиной переменной.

Согласно изобретению, в отверстии верхней проводящей поверхности установлен коаксиальный разъем с импедансом ρС для снятия выходного импульса напряжения, при этом центральный электрод коаксиального разъема подключен к центру нижнего проводящего диска, а его внешний экран соединен по периметру с краем отверстия верхнего проводящего диска.

Согласно изобретению, в центре нижнего проводящего диска также выполнено отверстие с радиусом r.

Согласно изобретению, электроды подключения выполнены в виде металлических проводов, или полосковых линий, или коаксиальных кабелей, в последнем случае экраны коаксиальных кабелей присоединены к нижнему проводящему диску, а центральные электроды присоединены к верхнему проводящему диску.

Согласно изобретению, устройство содержит m раздельных полосковых линий с изменяющимся импедансом, включенных параллельно и образующих радиальную линию, при этом расстояние между соседними полосковыми линиями является величиной переменной или постоянной.

Сущность предложения поясняется чертежами, где на фиг.1 представлен общий вид устройства с электродами подключения в виде металлических проводов; на фиг.2 изображен поперечный разрез А-А трансформатора; на фиг.3 изображен общий вид устройства с электродами подключения в виде коаксиальных кабелей; на фиг.4 изображен общий вид устройства с электродами подключения в виде полосковых линий; на фиг.5 изображена радиальная линия с переменным зазором между дисками; на фиг.6 изображен поперечный разрез Б-Б трансформатора; на фиг.7 изображен общий вид устройства с выходным коаксиальным разъемом; на фиг.8 представлено устройство с резистором нагрузки на выходе трансформатора; на фиг.9 показано устройство на нескольких неоднородных полосковых линиях; на фиг.10 изображен поперечный разрез В-В трансформатора; на фиг.11 представлены временные диаграммы, на которых отображены моменты прихода импульсов напряжения по электродам подключения; на фиг.12 представлена осциллограмма входных импульсов напряжения, подаваемых по коаксиальным кабелям к входу трансформатора; на фиг.13 представлена осциллограмма выходного импульса напряжения, снимаемого с коаксиального разъема, установленного на выходе трансформатора.

Следует учесть, что на чертежах представлены только те детали, которые необходимы для понимания существа предложения, а сопутствующее оборудование, хорошо известное специалистам в данной области, на чертежах не представлено.

Импульсный трансформатор на неоднородной линии представляет собой радиальную линию, состоящую из двух плоских проводящих дисков, верхнего диска 1 и нижнего диска 2, расположенных соосно с зазором h между ними, в который помещен диэлектрик с проницаемостью ε (фиг.1, 2).

Внешний периметр радиальной линии является входом трансформатора с импедансом ρR, соответствующим значению где ε - диэлектрическая проницаемость среды между проводящими дисками; R - радиус радиальной линии; h - зазор между проводящими дисками.

Зазор h между проводящими дисками 1 и 2 может меняться вдоль радиуса R радиальной линии (фиг.5, 6).

Изменение зазора h, также как и изменение радиуса R, обеспечивает изменение величины импеданса (волнового сопротивления) ρR вдоль радиуса радиальной линии.

Диэлектрическую проницаемость ε между проводящими дисками 1 и 2 выбирают в диапазоне от 1 до 1000, значение ε также может быть величиной переменной вдоль радиуса R радиальной линии.

Изменение ε позволяет регулировать импеданс ρR вдоль радиуса радиальной линии и регулировать время прохождения импульса напряжения вдоль радиуса R радиальной линии.

В центре верхнего проводящего диска 1 выполнено отверстие 3 с радиусом r. В этом случае выходом трансформатора являются внутренний периметр отверстия 3 диска 1 и поверхность диска 2, находящаяся под отверстием 3 диска 1.

И в центре нижнего проводящего диска 2 может быть выполнено отверстие 4 с радиусом r. Периметры отверстий 3 и 4 дисков 1 и 2 являются выходом трансформатора (фиг.1, 2).

В отверстии 3 с радиусом r диска 1 может быть установлен коаксиальный разъем 5 с импедансом ρC (фиг.7).

В этом случае центральный электрод коаксиального разъема 5 подключен к центру диска 2, не имеющего отверстия, а внешний экран коаксиального разъема 5 соединен по периметру с краем отверстия 3 диска 1.

Для подключения импульсов напряжения к входу трансформатора устройство содержит n электродов подключения 6, равномерно расположенных по внешнему периметру радиальной линии (фиг.1, 3, 4, 7, 8).

Электроды подключения 6 могут быть выполнены в виде, например, металлических проводов, при этом ширину каждого электрода обозначим Δх, а расстояние между краями электродов обозначим Δl (фиг.1, 2).

Электроды подключения 6 могут быть выполнены в виде коаксиальных кабелей, экраны которых присоединены к диску 2, а центральные электроды кабелей присоединены к диску 1. Расстояние между краями электродов также будет Δl (фиг.3).

Электроды подключения 6 могут быть выполнены в виде полосковых линий с шириной Δх, расстояние между краями соседних полосок будет Δl (фиг.4).

Заявляемое устройство может быть выполнено из m раздельных полосковых линий с изменяющимся импедансом, включенных параллельно и образующих радиальную линию, при этом расстояние между соседними полосковыми линиями Δz является величиной переменной или постоянной (фиг.9).

Для достижения указанного технического результата значения n, Δl, Δt должны выбираться с учетом следующих условий.

Число электродов подключения 6 равно значению

Интервал Δl между краями электродов где τ - длительность фронта нарастания входных импульсов напряжения; с - скорость света в вакууме.

Точность синхронизации Δt входных импульсов напряжения Δt<±τ/2, где τ - длительность фронта нарастания входных импульсов напряжения.

Коэффициент трансформации k импульсного трансформатора на неоднородной линии равен значению:

причем где ρвх - импеданс на входе трансформатора; ρвых - импеданс на выходе трансформатора.

Также k одновременно удовлетворяет условию

где Т - длительность трансформируемого импульса, с - скорость света в вакууме.

Для достижения максимального коэффициента полезного действия (далее - КПД) импульсного трансформатора необходимо обеспечивать следующие условия:

1. На вход трансформатора, которым является внешний периметр радиальной линии с длиной окружности 2πR, подают n одинаковых импульсов напряжения по электродам подключения 6, равномерно распределенных вдоль окружности с интервалом Δl между краями соседних электродов. Общий импеданс n электродов подключения 6 ρZ должен быть равен входному импедансу радиальной линии ρR, то есть ρZR.

2. Интервал Δl выбирают с минимально возможным значением, то есть Δl стремится к нулю.

3. Точность синхронизации Δt входных импульсов напряжения должна быть максимальной, то есть Δt стремится к нулю.

4. Необходимо обеспечить ρвыхразъема=Rнагрузки.

При выполнении этих условий исходный импульс передается на выход трансформатора с минимальными искажениями и с минимальными потерями энергии.

Импульсы напряжения, поступающие на вход радиальной линии, распространяются к центру радиальной линии, при этом амплитуда импульсов напряжения трансформируется согласно изменению импеданса радиальной линии.

Радиальная линия одновременно трансформирует исходные импульсы напряжения и объединяет их на выходе, что позволяет получить трансформатор плоской конструкции, где толщина трансформатора значительно меньше всех других габаритных размеров.

Представляем пример конкретного исполнения импульсного трансформатора на неоднородной линии, выполненного на фольгированном стеклотекстолите, диэлектрическая проницаемость стеклотекстолита ε=4.

Из листа стеклотекстолита толщиной 3 мм, фольгированного медной фольгой с двух сторон, вырезают цилиндр диаметром 30,0 см. Верхний слой фольги является верхним проводящим диском 1, а нижний слой фольги - нижним проводящим диском 2.

В центре образца выполняют отверстие 3 диаметром 4,0 мм, в котором устанавливают коаксиальный разъем 5 с импедансом 50,0 Ом. Центральный электрод разъема 5 припаивают центру нижнего слоя фольги 2, а экран разъема 5 припаивают по периметру отверстия 3 диска 1. По внешнему периметру дисков 1 и 2 припаивают 100 коаксиальных кабелей 6 с импедансом 50,0 Ом. Кабели 6 присоединяют с интервалом 9,0 мм. Экраны кабелей 6 припаяны к диску 2, а центральные электроды кабелей 6 припаяны к диску 1.

Суммарный импеданс всех 100 кабелей 6 равен ρкабеля/100=0,5 Ом.

Входной импеданс трансформатора

Таким образом, обеспечено хорошее согласование кабелей подключения 6 с входным импедансом трансформатора.

Величина Δl равняется 8,0 мм.

Из формулы определяем, что допустимая минимальная длительность фронта для данного трансформатора

Для трансформации использовали импульс напряжения колоколообразной формы с фронтом в 100,0 пс и длительностью 250,0 пс. Длительность фронта отвечает условию минимально допустимого значения 100,0 пс > 27,0 пс.

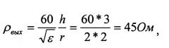
Выходной импеданс трансформатора что хорошо согласуется с импедансом выходного разъема 50,0 Ом.

Коэффициент трансформации .

Коэффициент трансформации должен соответствовать условию,

Таким образом, коэффициент трансформации k=8<16, что соответствует условию допустимого значения коэффициента трансформации для импульса длительностью 250,0 пс.

Устройство работает следующим образом.

По всем 100 кабелям 6 подают одинаковые импульсы напряжения колоколообразной формы с фронтом 100,0 пс, длительностью 250,0 пс, амплитудой 10,0 В.

Точность синхронизации Δt составила ±10,0 пс, что отвечает условию правильной работы трансформатора Δt<±τ/2=±50,0 пс.

На выходе трансформатора был зарегистрирован импульс напряжения амплитудой 75,0 В, фронтом 100,0 пс и длительностью 240,0 пс, коэффициент трансформации составил 7,5 раза, что близко к расчетному значению, равному 8.

Таким образом, реализован трансформатор на радиальной линии, имеющий вес меньше 1,0 кг, толщину 3,0 мм, при диаметре 300,0 мм, имеющий компактный размер в одном измерении, технологичный в изготовлении.

1. Импульсный трансформатор на неоднородной линии, использующий изменение импеданса неоднородной линии по ее длине, отличающийся тем, что неоднородная линия выполнена радиальной, состоящей из плоских проводящих дисков, верхнего и нижнего, расположенных соосно с зазором h между ними, в который помещен диэлектрик с проницаемостью ε, при этом внешний периметр радиальной линии является входом трансформатора с импедансом ρR со значением где:ε - диэлектрическая проницаемость среды между проводящими дисками;R - радиус радиальной линии;h - зазор между проводящими дисками,а в центре верхнего проводящего диска выполнено отверстие с радиусом r, внутренний периметр которого является выходом трансформатора, при этом к входу трансформатора равномерно присоединены n электродов подключения с интервалом Δl между краями соседних электродов, причем их количество соответствует значению где:Δx - ширина электродов подключения,при этом одновременно значение интервала Δl соответствует условию где:с - скорость света в вакууме;τ - длительность фронта нарастания входных импульсов напряжения, а точность синхронизации Δt подачи входных импульсов напряжения соответствует условию Δt<±τ/2, при этом коэффициент трансформации k равен значению причем гдеρвх - импеданс на входе трансформатора;ρвых - импеданс на входе трансформатора,и одновременно удовлетворяет условию где:Т - длительность трансформируемого импульса.

2. Импульсный трансформатор на неоднородной линии по п. 1, отличающийся тем, что зазор h является величиной постоянной вдоль радиуса R радиальной линии.

3. Импульсный трансформатор на неоднородной линии по п. 1, отличающийся тем, что зазор h является величиной переменной вдоль радиуса R радиальной линии.

4. Импульсный трансформатор на неоднородной линии по п. 1, отличающийся тем, что значение диэлектрической проницаемости среды ε является величиной постоянной вдоль радиуса R радиальной линии и находится в диапазоне от 1 до 1000.

5. Импульсный трансформатор на неоднородной линии по п. 1, отличающийся тем, что значение диэлектрической проницаемости среды ε является величиной переменной вдоль радиуса R радиальной линии.

6. Импульсный трансформатор на неоднородной линии по п. 1, отличающийся тем, что в отверстии верхней проводящей поверхности установлен коаксиальный разъем с импедансом ρС для снятия выходного импульса напряжения.

7. Импульсный трансформатор на неоднородной линии по п. 6, отличающийся тем, что центральный электрод коаксиального разъема подключен к центру нижнего проводящего диска, а его внешний экран соединен по периметру с краем отверстия верхнего проводящего диска.

8. Импульсный трансформатор на неоднородной линии по п. 1, отличающийся тем, что в центре нижнего проводящего диска также выполнено отверстие с радиусом r.

9. Импульсный трансформатор на неоднородной линии по п. 1, отличающийся тем, что электроды подключения выполнены в виде металлических проводов.

10. Импульсный трансформатор на неоднородной линии по п. 1, отличающийся тем, что электроды подключения выполнены в виде коаксиальных кабелей.

11. Импульсный трансформатор на неоднородной линии по п. 10, отличающийся тем, что экраны коаксиальных кабелей присоединены к нижнему проводящему диску, а центральные электроды присоединены к верхнему проводящему диску.

12. Импульсный трансформатор на неоднородной линии по п. 1, отличающийся тем, что электроды подключения выполнены в виде полосковых линий.

13. Импульсный трансформатор на неоднородной линии по п. 1, отличающийся тем, что содержит m раздельных полосковых линий с изменяющимся импедансом, включенных параллельно и образующих радиальную линию.

14. Импульсный трансформатор на неоднородной линии по п. 13, отличающийся тем, что расстояние между соседними полосковыми линиями является величиной переменной.

15. Импульсный трансформатор на неоднородной линии по п. 13, отличающийся тем, что расстояние между соседними полосковыми линиями является величиной постоянной.