Культуральная среда для скрининга или обогащения метициллин-резистентных s. aureus

Иллюстрации

Показать все

Группа изобретений относится к культуральной среде и способу для скрининга метициллин-резистентных Staphylococcus aureus (MRSA) в культуральной среде. Культуральная среда содержит комбинацию цефалоспоринов, выбранную из группы, состоящей из цефотетана (СТТ) и цефтриаксона (CRO); цефотетана (СТТ) и цефподоксима (CPD); цефсулодина (CFS) и цефтриаксона (CRO); цефсулодина (CFS) и цефепима (FEP); и цефотетана (СТТ) и цефтиофура (XLN). При этом каждый цефалоспорин присутствует в концентрации от 1 мг/л до 10 мг/л. Способ для скрининга MRSA включает инокуляцию указанной культуральной среды подлежащими тестированию бактериями, культивирование указанных бактерий в культуральной среде в условиях, которые обеспечивают возможность роста стафилококков, и идентификацию присутствия или отсутствия MRSA. Группа изобретений обеспечивает высокую чувствительность и специфичность при скрининге MRSA, а также быстрое выявление MRSA в пределах 18-24 ч. 2 н. и 8 з.п. ф-лы, 10 табл., 3 пр.

Реферат

Изобретение относится к быстрой идентификации или обогащению метициллин-резистентных Staphylococcus aureus (MRSA).

ПРЕДПОСЫЛКИ ИЗОБРЕТЕНИЯ

Staphylococcus aureus представляет собой один из наиболее часто идентифицируемых патогенов у человека в медицинской практике и является основной причиной внутрибольничных инфекций и внебольничных инфекций. Резистентность к метициллину, о которой впервые сообщалось в 1961 г., в настоящее время широко распространена в стационарах во всем мире. Быстрая и надежная идентификация метициллин-резистентных Staphylococcus aureus (MRSA) стала существенной для адекватного лечения пациента и борьбы с распространением штамма.

Определенная среда оптимальна, когда она способствует росту ожидаемых видов и ингибирует рост неожидаемых видов. Для выявления или обогащения MRSA решающее значение имеет получение всех MRSA и ингибирование всех MSSA (метициллин-чувствительных Staphylococcus aureus), потому что оба микроорганизма разделяют идентичные фенотипические виды активности. Для такой среды выявления и обогащения и чувствительность, и специфичность должны быть превосходными.

Стандартная процедура идентификации MRSA основана на культурах с использованием селективных агаровых сред (Cherkaoui et al., 2007, J. Med. Microbiol., 56:500-503).

В Международных патентных заявках WO2004/027086 и WO2004/063391 описана хромогенная агаровая среда, содержащая β-лактамный антибиотик, в частности, цефалоспорин.

Коммерчески доступны несколько хромогенных сред для скрининга MRSA. Cherkaoui et al., см. выше, сравнивали эффективность четырех их них: агаровую основу для скрининга резистентности к оксациллину (ИЛИ SAB; Oxoid), MRSA ID (BioMérieux); Chromogen oxacillin S. aureus (Axon Lab), и MRSASelect (Bio-Rad). Stoakes et al, 2006, J. Clin. Microbiol., 44(3):637-639 сравнивали MRSASelect с CHROMagar MRSA (Becton-Dickinson) и маннит-солевую среду с добавлением оксациллина или цефокситина (MSA-OXA и MSA-CFOX, Oxoid).

Однако эти среды не лишены недостатков.

Их устойчивость не гарантируется, поскольку известно, что цефалоспорины очень неустойчивы при комнатной температуре или при более высокой температуре. С коммерческой точки зрения важно, чтобы функции чашек или пробирок не уменьшались во время транспортировки или доставки, которая может продолжаться несколько дней обычно при комнатной температуре.

Кроме того, большинство из этих сред дают результат после 18-24 ч инкубации. Для повышения чувствительности пользователю часто необходимо продлевать время инкубации (в целом, 48 ч), что приводит к задержке диагностики и, в целом, к сниженной специфичности, в частности, когда среда недостаточно устойчива. Часто также рекомендуется пользователю выполнять подтверждающие тесты, такие как тестирование чувствительности к антимикробным средствам, латексная агглютинация или ПЦР (полимеразная цепная реакция), что ведет к увеличению стоимости анализа и снова к задержке диагностики.

Поэтому остается потребность в среде для выявления MRSA с большей эффективностью, чем доступные в настоящее время хромогенные среды, с точки зрения чувствительности и/или специфичности. Предпочтительно, такая среда должна обеспечить возможность быстрого выявления (в пределах 18-24 ч) и проявлять достаточную устойчивость.

КРАТКОЕ ИЗЛОЖЕНИЕ СУЩНОСТИ ИЗОБРЕТЕНИЯ

Настоящее изобретение относится к культуральной среде, которая отвечает указанным требованиям.

Таким образом, объектом изобретения является культуральная среда для скрининга или обогащения метициллин-резистентных Staphylococcus aureus (MRSA), причем среда содержит комбинацию по меньшей мере двух цефалоспоринов.

В предпочтительном варианте осуществления среда, кроме того, содержит хромогенный агент, который может представлять собой, например, 6-хлор-3-индоксилфосфат.

В предпочтительном варианте осуществления культуральная среда представляет собой агаровую культуральную среду. Однако она может также представлять собой жидкую культуральную среду, например, бульон.

В частном варианте осуществления среда содержит два цефалоспорина.

В другом частном варианте осуществления среда содержит три цефалоспорина.

Изобретение, кроме того, относится к способу скрининга или обогащения метициллин-резистентных Staphylococcus aureus (MRSA) в культуральной среде или бульоне, причем способ включает (i) инокуляцию культуральной среды, определенную в настоящем описании, с подлежащими тестированию бактериями, (ii) культивирование указанных бактерий в указанной культуральной среде и (iii), необязательно, идентификацию присутствия штаммов MRSA, которые появляются в виде цветных колоний на среде, когда среда содержит хромогенный агент.

В частном варианте осуществления подлежащие тестированию бактерии представлены в форме клинического образца, такого как мазок слизистой носовой полости.

ПОДРОБНОЕ ОПИСАНИЕ ИЗОБРЕТЕНИЯ

Заявители предположили, что, в конечном счете, устойчивость культуральной среды MRSA, содержащей цефалоспорин, может быть улучшена добавлением второго цефалоспорина в среду. Достаточно неожиданно было обнаружено то, что добавление другого цефалоспорина обеспечивало возможность не только действительно улучшить устойчивость культуральной среды, но также, в конечном счете, увеличить ее специфичность.

С коммерческой точки зрения важно, чтобы рабочие характеристики чашек или пробирок не уменьшались в течение периода хранения продукта вследствие условий транспортировки/доставки, на которые может потребоваться несколько дней. Смесь цефалоспоринов неожиданно увеличивала целостность или устойчивость среды, по данным наблюдения рабочих характеристик, полученных после термического стресса (когда чашки помещали в инкубатор на 3 дня при 37ºC).

Смесь цефалоспоринов, кроме того, ограничивала рост ложноположительных колоний, удерживая оптимальную чувствительность.

Объектом изобретения является культуральная среда для скрининга или обогащения метициллин-резистентных Staphylococcus aureus (MRSA), причем среда содержит комбинацию по меньшей мере двух цефалоспосринов.

Примеры цефалоспоринов включают без ограничения любой цефалоспорин первого, второго, третьего и четвертого поколения.

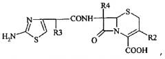
Выражение «цефалоспорин второго или третьего поколения» предназначено для обозначения антибиотиков семейства цефалоспоринов, имеющих формулу, выведенную из представленной ниже формулы (I):

,

в которой R2 представляет H группу, ацетоксиметильную группу, метилтиотетразольную группу, диметиламиноэтилтиотетразольную группу, тиазиновую группу, ацетаминопиридиновую (пиридиниевую) группу или пиридиниевую группу, замещенную карбамоильной группой, циклопентопиридиниевой группой или тиометилацетокситиазольной группой, R1 представляет амино-2-тиазольный гетероцикл, альфа-пиперазиндион или альфа-сульфофенил, и R4 представляет H группу или альфа-метокси радикал.

В частности, для обозначения предназначены соединения, имеющие представленную ниже формулу:

в которой R3 представляет группу H или альфа-метоксиимино группу. В определенном случае группа R4 представляет водород.

Цефамицины представляют собой соединения, в которых группа R4 представляет собой альфа-метокси радикал, защищающий кольцо бета-лактама против гидролиза бета-лактамазами, и соответствующие представленной ниже формуле:

.

Оксацефемы представляют собой соединения, в которых атом серы цефемового кольца замещен атомом кислорода, и считаются производными формулы (I), представленной выше.

В целом, для этих соединений группа R4 представляет [альфа]-метокси.

Таким образом, предполагаемое определение цефалоспоринов можно найти в публикации Binger «Mécanisme d'Action des Beta-lactamines (de la structure bactérienne à la structure de la molecule)» (Механизм действия бета-лактамов (о бактериальной структуре и структуре молекулы) 1986, Roussel (Paris) publisher, chapter III, pages 47-62, и chapter IV, pages 63-68), и в работе Richmond (Beta-lactam antibiotics (the background to their use as therapeutic agents) (Бета-лактамовые антибиотики (предпосылки их применения в качестве терапевтических средств), Hoechst Aktiengesellschaft, D-6230 Frankfurt (Main) 80 publisher, 1981, chapter 3, pages 55-65).

Среди цефалоспоринов второго и третьего поколения можно упомянуть: лоракарбеф, цефаклор, цефуроксим, цефпрозил, цефокситин (цефокситан), цефамандол, цефотиан, цефотетан, цефметазол, цефоцинид, цефоранид, цефподоксим, цефиксим, цефотаксим, цефтизоксим, цефтриаксон, цефтазидим, цефменоксим, цефодизим, цефоперазон, цефепим (иногда классифицируемый как цефалоспорин четвертого поколения), цефпиром, цефсульфонид, цефетамет, цефтибутен, моксалактам (латамоксеф) и фломоксеф, в частности, в форме солей (например, солей натрия).

В частности, цефалоспорины могут быть выбраны из группы цефамицинов (включая, например, цефокситин, цефотетан, цефметазол, цефбутперазон, цефминокс) и из оксацефемов (включая, например, моксалактам или фломоксеф).

Предпочтительно, указанные цефалоспорины выбраны из группы, состоящей из цефотетана (CTT), цефтриаксона (CRO), цефуроксима (CXM), цефсулодина (CFS), цефтибутена (CTB), цефепима (FEP), цефоперазона (CFP), цефподоксима (CPD), цефокситина (FOX), фломоксефа, цефметазола (CMT), моксалактама (MOX) и цефтиофура (XLN), или их солей. Далее в настоящем описании делается ссылка или на полное название цефалоспорина, или на 3-буквенную аббревиатуру.

Предпочтительнее, среда содержит комбинацию цефалоспоринов, выбранных из группы, состоящей из:

цефотетана и цефтриаксона;

цефотетана и цефокситина;

цефотетана и цефподоксима;

цефподоксима и цефсулодина;

цефуроксима и цефсулодина;

цефсулодина и цефотетана;

цефсулодина и цефтриаксона;

цефтиофура и цефсулодина;

цефсулодина и цефепима;

моксалактама и цефокситина;

моксалактама и цефподоксима;

цефотетана и цефтиофура;

цефподоксима и цефтриаксона;

цефоперазона и цефтиофура;

цефоперазона и цефсулодина;

цефтриаксона и цефоперазона;

цефоперазона и цефуроксима;

цефотетана и цефтибутена;

цефтриаксона и цефтибутена;

и

цефтриаксона и цефепима.

«Культуральная среда», описанная в настоящей заявке, представляет собой питательную агаровую среду или жидкую среду (т.е., бульон), которая содержит питательные вещества, обеспечивающие возможность роста Staphylococcus aureus. Культуральные среды для S. aureus общеизвестны и в целом содержат мясные экстракты и пептон, а также соли (см., например, Международную патентную публикацию WO2004/027086).

Термин «скрининг» или «скрининг MRSA» относится к определению и/или идентификации MRSA и включает содействие росту и дифференцировку MRSA от других S. aureus и других бактерий.

Термин «обогащение» или «обогащение MRSA» относится к селективной культуре MRSA и включает преимущественное содействие росту MRSA относительно роста других S. aureus и других бактерий.

Культуральная среда инокулируется бактериями для тестирования или непосредственно биологическим образом, или образцом из окружающей среды. Бактерии для тестирования могут быть из человеческих клинических источников или из любого источника, включая без ограничения, пищу, ткань живого или мертвого животного или растения, воду, воздух, поверхности других неодушевленных предметов окружающей среды. Если источник образца представляет собой твердое вещество, то образец может быть суспендирован в жидком разбавителе перед инокуляцией культуральной среды. Жидкий или сжиженный образец может быть также разбавлен перед инокуляцией культуральной среды. В определенных вариантах осуществления образец может быть серийно разбавлен, и серийные разведения могут использовать для инокуляции множества культуральных сред для получения более точного подсчета S. aureus в первоначальном образце. В предпочтительном варианте осуществления подлежащие тестированию бактерии представлены в форме клинического образца, такого как мазок слизистой оболочки носовой полости, образец из раны или культура крови.

Термин «устойчивость» относится к способности среды в соответствии с изобретением обеспечить возможность селективного скрининга или выявления MRSA в течение данного периода времени, с одинаковой надежностью в течение указанного периода времени.

Инокулированную культуральную среду инкубируют в условиях, которые обеспечивают возможность роста стафилококков. В одном варианте осуществления способа по настоящему изобретению инокулированную культуральную среду инкубируют при 37ºC в течение примерно 24 ч. Однако в других вариантах осуществления инокулированную культуральную среду можно инкубировать от примерно 18 ч до примерно 48 ч при температуре от примерно 30ºC до примерно 42ºC. В частности, температура инкубации составляет примерно от 33ºC до 39ºC. Хотя добавление дополнительного количества NaCl до концентрации примерно 5% дает оптимальные результаты, также хорошо работают столь низкие концентрации как 2,5% NaCl. Столь низкие концентрации как 0,01% также могут обеспечить удовлетворительные результаты.

Концентрация каждого цефалоспорина в среде в соответствии с изобретением составляет предпочтительно от 0,01 до 50 мг/л, предпочтительно от 0,5 до 30 мг/л, в частности от 0,5 до 15 мг/л, еще предпочтительнее от 0,5 мг/л до 10 мг/л. В частном варианте осуществления культуральная среда содержит от 1 до 2 или 2,5 мг/л цефотетана и от 1,5 до 2,5 мг/л цефтриаксона, предпочтительно 1,75 мг/л, 2 мг/л или 2,4 мг/л цефотетана и 2,4 мг/л цефтриаксона.

В другом частном варианте осуществления культуральная среда содержит от 1,5 до 2,5 мг/л цефотетана и от 1,5 до 2,5 мг/л цефподоксима, предпочтительно 2 мг/л цефотетана и 1,5 мг/л цефподоксима.

Культуральная среда предпочтительно содержит хромогенный агент, и культивированные микроорганизмы, которые выживают, продуцируют выявляемую окрашенную колонию в среде или на ней, указывающую на рост микроорганизмов и обеспечивающую возможность специфического выявления S. aureus (метициллин-резистентных Staphylococci epidermidis, растущих на среде в виде белых колоний).

Среды в соответствии с настоящим изобретением предпочтительно содержат от 0,01 до 0,50 г/л, в частности, от 0,05 до 0,40 г/л хромогенного агента, который обеспечивает возможность окрашивания штаммов Staphylococcus aureus. Хромогенный агент представляет собой предпочтительно 6-хлор-3-индоксил фосфат. Другие примеры хромогенных агентов, которые могут использоваться в среде в соответствии с изобретением, включают без ограничения 5-бром-6-хлор-3-индоксил-фосфат, 5-бром-4-хлор-3-индоксил-фосфат, 5-бром-3-индоксил-фосфат, 3-индоксил-фосфат, 6-бром-3-индоксил-α-D-глюкозид, 5-бром-4-хлор-3-индоксил-α-D-глюкозид, 5-бром-4-хлор-3-индоксил-N-метил-α-D-глюкозид, 6-хлор-3-индоксил-α-D-глюкозид.

В предпочтительном варианте осуществления, в дополнение к указанному выше хромогенному агенту, который обеспечивает возможность окрашивания других микроорганизмов, которые могут присутствовать в инокуляте, такому как 5-бром-4-хлор-3-индоксил-глюкуронид («X-глюкуронид») и/или 5-бром-4-хлор-3-индоксил-глюкозид («X-глю»), 5-бром-4-хлор-3-индоксил-галактазид («X-галл»). Среда в соответствии с изобретением может также содержать флуорогенный субстрат, такой как 4-метилумбеллиферил-α-D-глюкозид.

Культуральная среда по изобретению может содержать другие антибиотики, такие как ванкомицин, тейкопланин, авопарцин. Предпочтительно, культуральная среда не содержит оксациллин и/или не содержит цефокситин.

Культуральная среда по изобретению очень чувствительна и избирательна. Она обеспечивает возможность идентификации слабо резистентных штаммов MRSA и обеспечивает достаточную специфичность.

Предпочтительно, среда содержит любую из следующих комбинаций цефалоспоринов (следует понимать, что каждая концентрация может применяться при ±10%):

CTT 2 мг/л + CRO 2 мг/л

CTT 2,4 мг/л + CRO 2,4 мг/л

FOX 4,5 мг/л + CTT 2 мг/л

CTT 2 мг/л + CPD 1,5 мг/л

CTT 2,4 мг/л + CPD 1,8 мг/л

CPD 1,5 мг/л + CFS 3,5 мг/л

CXM 0,75 мг/л + CFS 3 мг/л

CXM 0,75 мг/л + CFS 3,5 мг/л

CFS 3,5 мг/л + CRO 2 мг/л

XLN 0,75 мг/л + CFS 3 мг/л

CFS 3 мг/л + FEP 2 мг/л

MOX 6 мг/л + FOX 4,5 мг/л

MOX 4 мг/л + CPD 1 мг/л

CTT 2 мг/л + XLN 0,75 мг/л

CTT 1,75 мг/л + CXM 0,75 мг/л

CPD 2,5 мг/л + CRO 3,5 мг/л

CPD 2 мг/л + CRO 4 мг/л

CFP 1,75 мг/л + XLN 2 мг/л

CFP 2,25 мг/л + XLN 1,25 мг/л

CFP 1,5 мг/л + CFS 3 мг/л.

Среды по изобретению проявляют превосходные рабочие характеристики с точки зрения чувствительности и специфичности. Было показано, что оптимальные среды и чувствительны, и специфичны при тестировании в пределах 24 ч. Некоторые другие работали лучше при тестировании в пределах 48 ч. Однако задержка при диагностике была сбалансирована превосходной устойчивостью.

Среды по изобретению проявили достаточную селективность. Действительно, проблему может представлять собой рост других стафилококков (т.е. не S. aureus), главным образом, метициллин-резистентных S. epidermidis, потому что некоторые из них, вероятно, дадут ложноположительную реакцию и затем могут классифицироваться как MRSA. Смесь цефалоспоринов в соответствии с изобретением обеспечивает возможность ингибирования этих нежелательных видов или ограничения их окрашивания.

В предпочтительном варианте осуществления культуральная среда в соответствии с изобретением содержит соединение, которое ингибирует рост Staphylococcus epidermidis без ингибирования Staphylococcus aureus. Предпочтительно, указанное соединение представляет собой дефроксамин, который предпочтительно используется в концентрации от 0,01 до 0,10 г/л. Предпочтительно, указанное соединение представляет собой цефоперазон. Действительно, заявители показали, что добавление цефоперазона в среду, уже содержащую по меньшей мере один другой цефалоспорин (для селекции MRSA и ингибирования MSSA), преимущественно уменьшает окрашивание или ингибирует рост метициллин-резистентных S. epidermidis, снижая риск ложноположительных результатов. Предпочтительно, цефоперазон используется в концентрации от 0,1 до 3 мг/л.

В еще одном предпочтительном варианте осуществления культуральная среда содержит три цефалоспорина, включая цефоперазон.

В наиболее предпочтительном варианте осуществления культуральная среда содержит цефотетан, цефтриаксон и цефоперазон.

Приведенные ниже примеры иллюстрируют изобретение без ограничения его объема.

ПРИМЕРЫ

Пример 1: Сравнение рабочих характеристик культуральной среды с использованием цефалоспорина в сравнении с цефалоспоринами в комбинации

Материалы и методы

Основная среда включает пептон, соли, противогрибковые и антибактериальные средства для ингибирования роста грамотрицательных бактерий и грибов. Основная среда выбрана для содействия росту стафилококков, в частности, Staphylococcus aureus.

Несколько штаммов MRSA (метициллин-резистентных S. aureus) и MSSA (метициллин-чувствительных S. aureus) были выбраны из коллекций штаммов. Штаммы культивировали сначала на не селективной среде. Колонии используют для выполнения «тяжелого инокулята» или «heavy inoculum или HI», соответствующего приблизительно 108 бактерий/мл, инокулированных в виде пятна на небольшую часть чашки, и «легкого инокулята» или «light inoculum или LI», соответствующего приблизительно 105 бактерий/мл, и наносят в виде штрихового посева на большую часть чашки. Чашки инкубировали в течение 48 ч при 35-37ºC. Считывание результатов выполняли через периоды времени инкубации 24 и 48 ч.

Аббревиатуры и подписи к таблицам:

цефотетан (CTT),

цефриаксон (CRO),

цефуроксим (CXM),

цефсулодин (CFS),

цефепим (FEP),

цефоперазон (CFP),

цефподоксим (CPD),

моксалактам (MOX),

цефокситин (FOX),

цефметазол (CMT),

цефтиофур (XLN),

G: рост (если больше ничего не написано, «G» означает рост при HI и LI через 24 ч); Imp G: выраженный рост; AG: отсутствие роста; cfu: колониеобразующая единица; μcfu: точечные колонии; SENS: чувствительность (%); SPE: специфичность (%); MRSA: метициллин-резистентные Staphylococcus aureus; MSSA: метициллин-чувствительные Staphylococcus aureus; MRSE: метициллин-резистентные Staphylococcus epidermidis; MSSE: метициллин-чувствительные Staphylococcus epidermidis.

Результаты

Ниже в таблицах показаны рабочие характеристики различных составов, содержащих один цефалоспорин или смесь цефалоспоринов. Наилучшие среды обеспечивают рост и окрашивание MRSA без роста MSSA.

CTT 17 мг/л была выбрана как наилучшая концентрация для получения наиболее удовлетворительного, хотя и не идеального, баланса чувствительности и специфичности. Для каждой молекулы, используемой отдельно, был выбран наилучший компромисс между чувствительностью и специфичностью.

При использовании одного CRO колонии MRSA были бесцветными и MSSA были способны расти. При использовании одного CTT штаммы MSSA росли, хотя некоторые MRSA не росли оптимально. При смеси CRO и CTT все MRSA были способны расти, и не наблюдался рост MSSA (100% чувствительность и 100% специфичность через 24 и 48 ч).

При использовании одного CTT штаммы MSSA росли, хотя некоторые MRSA росли недостаточно.

При использовании одного CPD штаммы MSSA росли, хотя некоторые MRSA не росли оптимально. Невозможно было обнаружить оптимальную концентрацию.

При смеси CTT и CPD все MRSA были способны расти через 48 ч, и не наблюдался рост MSSA (100% чувствительность и 100% специфичность через 48 ч).

При использовании CXM или CFS отдельно штаммы MSSA росли, хотя некоторые MRSA не росли оптимально. Невозможно было найти оптимальную концентрацию.

При использовании смеси CXM и CFS все MRSA, кроме одной, были способны расти, и наблюдалась только одна cfu MSSA.

При использовании одного CRO MSSA были способны расти.

При использовании одного CFS штаммы MSSA росли, хотя некоторые MRSA росли не оптимально. Невозможно было найти оптимальную концентрацию.

При смеси CRO и CFS все MRSA были способны расти, и не наблюдался рост MSSA.

При использовании одного FEP некоторые MRSA не росли должным образом, хотя штаммы MSSA росли. Невозможно было найти оптимальную концентрацию.

При использовании одного CFS штаммы MSSA росли, хотя некоторые MRSA проявили трудность роста. Невозможно было найти оптимальную концентрацию.

При смеси FEP и CFS все MRSA были способны расти через 48 ч, и рост MSSA не наблюдался.

При использовании одного CTT штаммы MSSA росли, хотя некоторые MRSA росли недостаточно для выявления.

При использовании одного XLN штаммы MSSA росли, хотя некоторые MRSA не росли. Невозможно было найти оптимальную концентрацию.

При смеси CTT и XLN все MRSA были способны расти через 48 ч, и рост MSSA не наблюдался (100% чувствительность и 100% специфичность).

При использовании одного CTT штаммы MSSA росли, хотя некоторые MRSA росли недостаточно.

При использовании одного CXM штаммы MSSA росли, хотя некоторые MRSA не росли. Невозможно было найти оптимальную концентрацию.

При использовании смеси CTT и CXM все MRSA, кроме одной, были способны расти через 48 ч, и рост MSSA не наблюдался.

Пример 2: Исследования устойчивости

Когда добавляются два цефалоспорина, то устойчивость состава увеличивается. Вследствие того, что молекулы неустойчивы, рост MSSA часто появляется после стресса. Заявители имитировали стресс вследствие транспортировки чашек Петри в лабораторию потребителя летом помещением чашек на 3 дня при 37ºC перед инокуляцией и инкубацией 24 или 48 ч. Композиция основной среды была такой же, как описано в примере 1. Аббревиатуры имеют такое же значение.

Оптимальная концентрация была выбрана для Fox и Mox. Затем наблюдали ингибирование MSSA (таблица 9A).

При оптимальной концентрации FOX, отдельно используемой молекулы, 4 штамма MSSA росли через 24 ч после стресса.

При оптимальной концентрации отдельно используемого MOX 4 штамма MSSA росли через 24 ч после стресса. При комбинации FOX+MOX через 24 ч после стресса рос только 1 штамм MSSA.

Заявители в данном случае показывают, что рост MSSA еще ингибировался после стресса и менее выражен при смеси цефалоспоринов, по сравнению с изолированным применением цефалоспорина.

Дополнительные эксперименты выполняли с комбинацией CTT и CPD (таблица 9B) или комбинацией CTT и CRO (таблица 9C).

22 мг/л CTT было, в конечном счете, выбрано в качестве оптимальной концентрации для получения наиболее удовлетворительного, хотя и не идеального, баланса чувствительности и специфичности при отдельном применении.

4 мг/л CPD было, в конечном счете, выбрано в качестве оптимальной концентрации для получения наиболее удовлетворительного, хотя и не идеального, баланса чувствительности и специфичности при отдельном применении.

4,5 мг/л CRO было, в конечном счете, выбрано в качестве наилучшей концентрации для получения наиболее удовлетворительного, хотя и не идеального, баланса чувствительности и специфичности при отдельном применении.

В таблицах 9B и 9C LG означает «ограниченный рост» для MRSA, т.е. рост только при тяжелом инокуляте (HI); отсутствие роста при легком инокуляте (LI).

В контрольных чашках только с CTT или CPD, не подвергнутых никакому стрессу, все MRSA росли, когда несколько штаммов MSSA были способны расти через 24 ч.

В чашках с комбинацией CTT и CPD, но не подвергнутых стрессу, все MRSA росли, а MSSA не были способны расти.

Все MRSA росли, и большинство штаммов MSSA были также способны расти через 24 ч в чашках с CTT, подвергнутых стрессу (в течение 3 дней при 37ºC перед инокуляцией). Наблюдалось резкое снижение специфичности по сравнению с контрольными (не подвергнутыми стрессу) чашками.

Все MRSA росли, а два штамма MSSA были способны расти через 24 ч в чашках с CPD, подвергнутых стрессу (в течение 3 дней при 37ºC перед инокуляцией).

В чашках с комбинацией CTT и CPD, подвергнутых стрессу, все MRSA росли, а MSSA были неспособны расти.

Таким образом, смесь антибиотиков давала наилучшую эффективность и проявила наилучшую устойчивость после стресса.

В контрольных чашках только с CTT или CRO, не подвергнутых никакому стрессу, все MRSA росли, когда один штамм MSSA был способен расти через 24 ч.

В чашках с комбинацией CTT и CRO, но не подвергнутых стрессу, все MRSA росли, а MSSA не были способны расти.

Все MRSA росли, и большинство штаммов MSSA также были способны расти через 24 ч в чашках с CTT, подвергнутых стрессу (в течение 3 дней при 37ºC перед инокуляцией). Наблюдалось резкое уменьшение специфичности по сравнению с контрольными (не подвергнутыми стрессу) чашками.

Все MRSA росли, и четыре штамма MSSA были также способны рати через 24 ч в чашках с CRO, подвергнутых стрессу (в течение 3 дней при 37ºC перед инокуляцией). Наблюдалось уменьшение специфичности по сравнению с контрольными (не подвергнутыми стрессу) чашками.

В чашках с комбинацией CTT и CRO, подвергнутых стрессу, все MRSA росли, и только один штамм MSSA был способен расти через 24 ч.

Таким образом, смесь антибиотиков дала наилучшую эффективность и проявила наилучшую устойчивость после стресса.

Пример 3: Ингибирование других видов

Исследовали чувствительность, специфичность, а также селективность среды, содержащей CFP+CRO+CTT.

Композиция основной среды была такой же, как описано в примере 1. Аббревиатура имеет такое же значение.

Добавление CFP в среду, содержащую уже другой цефалоспорин, снижает окрашивание или ингибирует рост метициллин-резистентных S. epidermidis, снижая риск ложноположительных результатов.

Кроме того, наблюдалась более высокая чувствительность и специфичность в отношении MSSA и MRSE.

1. Культуральная среда для скрининга метициллин-резистентных Staphylococcus aureus (MRSA), которая включает комбинацию цефалоспоринов, выбранную из группы, состоящей из цефотетана (СТТ) и цефтриаксона (CRO); цефотетана (СТТ) и цефподоксима (CPD); цефсулодина (CFS) и цефтриаксона (CRO); цефсулодина (CFS) и цефепима (FEP); и цефотетана (СТТ) и цефтиофура (XLN), и в которой каждый цефалоспорин присутствует в концентрации от 1 мг/л до 10 мг/л.

2. Культуральная среда по п. 1, которая дополнительно содержит хромогенный агент.

3. Культуральная среда по п. 2, где хромогенный агент представляет собой 6-хлор-3-индоксилфосфат.

4. Культуральная среда по п. 1, которая представляет собой агаровую культуральную среду.

5. Культуральная среда по п. 1, которая представляет собой бульон.

6. Культуральная среда по п. 1, которая содержит от 1 до 2,5 мг/л цефотетана и от 1,5 до 2,5 мг/л цефтриаксона, предпочтительно 1,75 мг/л или 2,4 мг/л цефотетана и 2,4 мг/л цефтриаксона.

7. Культуральная среда по п. 1, которая содержит:2 мг/л цефотетана и 2 мг/л цефтриаксона,2,4 мг/л цефотетана и 2,4 мг/л цефтриаксона,2 мг/л цефотетана и 1,5 мг/л цефподоксима,2,5 мг/л цефотетана и 1,8 мг/л цефподоксима,3,5 мг/л цефсулодина и 2 мг/л цефтриаксона,3 мг/л цефсулодина и 2 мг/л цефепима, или2 мг/л цефотетана и 0,75 мг/л цефтиофура.

8. Культуральная среда по п. 1, которая дополнительно содержит цефоперазон предпочтительно в концентрации от 0,1 мг/л до 3 мг/л.

9. Способ скрининга метициллин-резистентных Staphylococcus aureus (MRSA) в культуральной среде, включающий (i) инокуляцию культуральной среды по любому из пп. 1-8 подлежащими тестированию бактериями, (ii) культивирование указанных бактерий в указанной культуральной среде в условиях, которые обеспечивают возможность роста стафилококков, и (iii) идентификацию присутствия или отсутствия штаммов MRSA, где штаммы MRSA появляются в виде цветных колоний на среде, когда среда содержит хромогенный агент.

10. Способ по п. 9, где подлежащие тестированию бактерии представлены в форме клинического образца, такого как мазок слизистой носовой полости, раневой образец или образец крови.