Способ определения удаленности короткого замыкания контактной сети электрического транспорта (варианты)

Иллюстрации

Показать все

Группа изобретение относится к линиям электроснабжения транспортных средств на электротяге. Способ определения удаленности короткого замыкания контактной сети заключается в том, что в момент короткого замыкания измеряют на смежных подстанциях значение токов (), напряжений () и фазовых углов () между ними. Определяют дополнительные фазовые углы (), используя параметры напряжения холостого хода () и сопротивлений (). Путем реализации вычислительных алгоритмов находят дополнительные модули () и аргументы () сопротивлений схемы замещения, модуль тока () и аргумент тока () в месте короткого замыкания. Затем определяют расстояния от подстанции А до места короткого замыкания. Технический результат заключается в повышении точности и упрощении способа определения удаленности короткого замыкания 2 н.п. ф-лы, 3 ил.

Реферат

Вариант 1

Изобретение относится к электрифицированному транспорту и может использоваться на контактной сети переменного тока при двухстороннем питании для определения расстояния от тяговой подстанции до места короткого замыкания.

Известен способ определения расстояния (удаленности) до места короткого замыкания в контактной сети, реализованный в устройстве [1], при котором в момент короткого замыкания измеряют ток Iф присоединения контактной сети того пути, на котором произошло ее повреждение, напряжение Uш на шинах тяговой подстанции и определяют расстояние до места повреждения путем реализации вычислительного алгоритма в виде формулы:

где zтс - сопротивление 1 км тяговой сети.

Недостатком этого способа является низкая точность из-за переходного сопротивления (сопротивление электрической дуги), возникающей в месте повреждения, и отсутствия указанной зависимости от отношения Uш/Iф на многопутных участках [2, стр. 570-579].

Известны способы определения расстояния до места короткого замыкания на контактной сети, реализованные в [3-8]. Все они основаны на измерении в момент короткого замыкания напряжения на шинах, тока и фазового угла между ними на одной или двух смежных тяговых подстанциях, а также тока и его фазового угла присоединения контактной сети того пути, на котором произошло повреждение, и определении расстояния до места повреждения путем реализации соответствующих вычислительных алгоритмов.

Эти способы имеют один и тот же недостаток, заключающийся в том, что использование в вычислительном алгоритме значений тока обуславливает возможность определения искомого расстояния только на участке от шин тяговой подстанции до ближайшей узловой точки (точки поперечного соединения контактных сетей разных путей между собой). В качестве узловых точек выступают пункты параллельного соединения и посты секционирования [2, стр. 4-5]. Таким образом, при типовой параллельной схеме питания контактной сети с двумя пунктами параллельного соединения и постом секционирования между ними даже в том случае, если определение осуществлять со стороны каждой из смежных тяговых подстанций, примерно на 1/2 длины межподстанционной зоны (между пунктами параллельного соединения), определение этим способом невозможно.

Известен способ, реализованный в устройстве [9], лишенный этого недостатка и принятый в качестве прототипа. Его сущность заключается в том, что на смежных тяговых подстанциях А и В в момент короткого замыкания контактной сети измеряют токи подстанций IA, IB, напряжения UA, UB на их шинах, фазовые углы ϕA, ϕB между соответствующими, определяют для известных значений ХпА, ХпВ сопротивлений тяговых подстанций соответственно А и В дополнительные фазовые углы ψA и ψB путем реализации вычислительных алгоритмов в виде выражений:

определяют дополнительно расчетные величины N и αN путем реализации вычислительных алгоритмов в виде выражений:

где ZтсA, ZтсB - модули заранее неизвестных комплексных значений сопротивлений тяговой сети на участках от места короткого К замыкания до тяговых подстанций соответственно А и В; αтсА, αтсВ - аргументы этих сопротивлений, и определяют расстояние до места повреждения путем реализации вычислительного алгоритма в виде выражения:

Недостатком этого способа является сложность и снижение точности из-за неопределенности заранее неизвестных значений ZтсA и ZтсB, поскольку место короткого замыкания также заранее неизвестно, и необходимости поэтому значения N, αN, , вычислять методом последовательных приближений. В устройстве [9] такой метод реализован с помощью связей (блоки 14-19).

Техническим результатом является повышение точности и упрощение, достигаемое за счет использования других вычислительных алгоритмов, не требующих применения метода последовательных приближений.

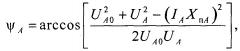
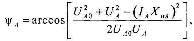
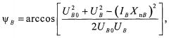
Сущность предлагаемого способа заключается в том, что в момент короткого замыкания контактной сети измеряют на смежных тяговых подстанциях А и В, питающих с двух сторон контактную сеть всех электрифицированных путей межподстанционной зоны с коротким замыканием, значения тока IA, напряжения на шинах UA и фазового угла ϕA между ними на тяговой подстанции А, значения тока IB, напряжения на шинах UB и фазового угла ϕB между ними на подстанции В и определяют дополнительные фазовые углы ψА и ψB при известных значениях напряжений холостого хода UA0, UB0 и сопротивлений ХпА, ХпВ соответствующих подстанций путем реализации вычислительных алгоритмов в виде выражений:

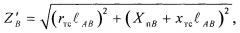
находят дополнительно модули и аргументы сопротивлений схемы замещения тяговой сети путем реализации вычислительных алгоритмов в виде выражений:

где rтс, хтс - справочные значения активной и индуктивной составляющих погонного сопротивления 1 км тяговой сети; - известное расстояние между смежными тяговыми подстанциями А и В, определяют модуль Iк и аргумент γк тока в месте короткого замыкания путем реализации вычислительных алгоритмов в виде выражений:

и определяют расстояние от подстанции А до места короткого замыкания путем реализации вычислительного алгоритма в виде выражения:

где zтс, αтс - известные модуль и аргумент погонного сопротивления 1 км тяговой сети при параллельном соединении контактной сети всех путей.

Новыми признаками способа являются вычислительные алгоритмы углов ψА, ψВ, дополнительное определение модуля и аргументов сопротивлений схемы замещения тяговой сети и тока короткого замыкания в месте повреждения, а также новое выражение для определения расстояния .

Предложенный способ обеспечивает повышение точности и упрощение вычисления расстояния (не требуется применять метод последовательных приближений).

Вариант 2.

Изобретение относится к электрифицированному транспорту и может использоваться на контактной сети переменного тока при двухстороннем питании для определения расстояния от тяговой подстанции до места короткого замыкания.

Известен способ определения расстояния (удаленности) до места короткого замыкания в контактной сети, реализованный в устройстве [1], при котором в момент короткого замыкания измеряют ток Iф присоединения контактной сети того пути, на котором произошло ее повреждение, напряжение Uш на шинах тяговой подстанции и определяют расстояние до места повреждения путем реализации вычислительного алгоритма в виде формулы:

где zтс - сопротивление 1 км тяговой сети.

Недостатком этого способа является низкая точность из-за переходного сопротивления (сопротивление электрической дуги), возникающей в месте повреждения, и отсутствия указанной зависимости от отношения Uш/Iф на многопутных участках [2, стр. 570-579].

Известны способы определения расстояния до места короткого замыкания на контактной сети, реализованные в [3-8]. Все они основаны на измерении в момент короткого замыкания напряжения на шинах, тока и фазового угла между ними на одной или двух смежных тяговых подстанциях, а также тока и его фазового угла присоединения контактной сети того пути, на котором произошло повреждение, и определении расстояния до места повреждения путем реализации соответствующих вычислительных алгоритмов.

Эти способы имеют один и тот же недостаток, заключающийся в том, что использование в вычислительном алгоритме значений тока обуславливает возможность определения искомого расстояния только на участке от шин тяговой подстанции до ближайшей узловой точки (точки поперечного соединения контактных сетей разных путей между собой). В качестве узловых точек выступают пункты параллельного соединения и посты секционирования [2, стр. 4-5]. Таким образом, при типовой параллельной схеме питания контактной сети с двумя пунктами параллельного соединения и постом секционирования между ними даже в том случае, если определение осуществлять со стороны каждой из смежных тяговых подстанций примерно на 1/2 длины межподстанционной зоны (между пунктами параллельного соединения), определение этим способом невозможно.

Известен способ, реализованный в устройстве [9], лишенный этого недостатка и принятый в качестве прототипа. Его сущность заключается в том, что на смежных тяговых подстанциях А и В в момент короткого замыкания контактной сети измеряют токи подстанций IA, IB, напряжения UA, UB на их шинах, фазовые углы ϕА, ϕB между соответствующими, определяют для известных значений ХпА, ХпВ сопротивлений тяговых подстанций соответственно А и В дополнительные фазовые углы ψА и ψB путем реализации вычислительных алгоритмов в виде выражений:

определяют дополнительно расчетные величины N и αN путем реализации вычислительных алгоритмов в виде выражений:

где ZтсA, ZтсВ - модули заранее неизвестных комплексных значений погонных сопротивлений 1 км тяговой сети на участках от места короткого К замыкания до тяговых подстанций соответственно А и В; αтсА, αтсВ - аргументы этих сопротивлений, и определяют расстояние до места повреждения путем реализации вычислительного алгоритма в виде выражения:

Недостатком этого способа является сложность и снижение точности из-за неопределенности заранее неизвестных значений ZтсА и ZтсB, поскольку место короткого замыкания также заранее неизвестно, и необходимости поэтому значения N, αN, , вычислять методом последовательных приближений. В устройстве [9] такой метод реализован с помощью связей (блоки 14-19).

Техническим результатом является повышение точности и упрощение, достигаемое за счет использования других вычислительных алгоритмов, не требующих применения метода последовательных приближений.

Сущность предлагаемого способа заключается в том, что в момент короткого замыкания контактной сети измеряют на смежных тяговых подстанциях А и В, питающих с двух сторон контактную сеть всех электрифицированных путей межподстанционной зоны с коротким замыканием, значения тока IA, напряжения на шинах UA и фазового угла ϕА между ними на тяговой подстанции А, значения тока IB, напряжения на шинах UB и фазового угла ϕB между ними на подстанции В и определяют дополнительные фазовые углы ψA и ψB при известных значениях напряжений холостого хода UA0, UB0 и сопротивлений ХпА, ХпВ соответствующих подстанций путем реализации вычислительных алгоритмов в виде выражений:

находят дополнительно модули и аргументы , сопротивлений схемы замещения тяговой сети путем реализации вычислительных алгоритмов в виде выражений:

где rтс, хтс - справочные значения активной и индуктивной составляющих погонного сопротивления 1 км тяговой сети; - известное расстояние между смежными тяговыми подстанциями А и В, определяют модуль Iк и аргумент γк тока в месте короткого замыкания путем реализации вычислительных алгоритмов в виде выражений:

и определяют расстояние от подстанции А до места короткого замыкания путем реализации вычислительного алгоритма в виде выражения:

где zтс, αтс - известные модуль и аргумент погонного сопротивления 1 км тяговой сети при параллельном соединении контактной сети всех путей.

Новыми признаками способа являются вычислительные алгоритмы углов ψA, ψB, дополнительное определение модуля и аргументов сопротивлений схемы замещения тяговой сети и тока короткого замыкания в месте повреждения, а также новое выражение для определения расстояния .

Предложенный способ обеспечивает повышение точности и упрощение вычисления расстояния (не требуется применять метод последовательных приближений).

Обоснование вариантов способа.

Обоснование основано на известных схеме двухстороннего питания контактной сети многопутного участка с пунктами параллельного соединения ППС1, ППС2 и постом секционирования ПС, приведенной на фиг. 1, а, индуктивно развязанной ее схеме замещения, приведенной на фиг. 1, б [10], а также векторной диаграммы для напряжений и токов подстанции А, приведенной на фиг. 2.

На схеме замещения обозначены:

ХпА, ХпВ - сопротивления тяговых подстанций;

ZтсA - сопротивление участка тяговой сети, по которому протекает ток IA;

ZтcB - сопротивление участка тяговой сети, по которому протекает ток IB;

ZтcAB - сопротивление эквивалентного участка тяговой сети, по которому протекает ток Iк;

Rд - сопротивление дуги в месте повреждения;

UА0, UB0 - напряжение холостого хода тяговых подстанций соответственно А и В.

Для приведенной на фиг. 1, б схемы имеем:

Для сопротивлений ZтсA и ZтсB имеем:

где - погонное сопротивление 1 км тяговой сети.

Подставив эти значения в (11) и полагая напряжения холостого хода подстанций А и В одинаковыми, получаем:

где принято:

В приведенных выражениях фазовые углы векторов токов IA, IB, Iк, должны отсчитываться от одной оси, в качестве которой принимаем ось, совпадающую по направлению с вектором напряжения холостого хода. На векторной диаграмме для векторов UA0, UA, IA, IAXпA подстанции А, приведенной на фиг. 2, вектор IАХпА направлен по отношению к ветру тока IA под углом 90°, поскольку сопротивление тяговой подстанции XA является практически чисто индуктивным.

Для треугольника «0ас» на фиг. 2 на основании теоремы косинусов получаем выражение (1). Аналогичным образом для подстанции В получаем выражение (2).

Прибавив и вычтя в числителе выражения (12) член , получим:

Обозначим:

Тогда выражение (15) с учетом (14) примет вид:

Модули и аргументы комплексных чисел и вычисляют по формулам (3), (4), (5), и (6). Модуль и аргумент комплексного числа Iк вычисляют по формулам (7) и (8). Представив комплексные числа, входящие в выражение (17), в экспоненциальной форме, получаем:

Заменив в выражении (18) экспоненциальную форму комплексных чисел на тригонометрическую и приняв мнимую часть полученного выражения равной нулю, поскольку расстояние по определению вещественно и не имеет мнимой части, получаем выражение (9).

Из условия равенства нулю мнимой части выражения имеем:

откуда:

Подставив это выражение в (9) и используя известные формулы сложения тригонометрических функций, получаем выражение (10).

Источники информации

1. А.С. СССР 161410, МКИ3 G01r, В60m. Устройство для определения места короткого замыкания в контактной сети железных дорог переменного тока / Фигурнов Е.П., Самсонов Ю.Я., (СССР)-. №787278/24-7. Заявл. 16.07.1962. Опубл. 19.03.1964. Бюл. №7.

2. Фигурнов Е.П. Релейная защита: Учебник. В 2 ч. Ч. 2 3-е изд. перераб. и доп. - М.: ГОУ «Учебно-методический центр по образованию на железнодорожном транспорте», 2009. 604 с.

3. Патент RU 2160673, МПК 7 В60М 1/00. Определитель места повреждения контактной сети / Фигурнов Е.П., Петров И.П., Жарков Ю.И., Быкадоров А.Л. (RU) - №98110428/28. Заявл. 01.06.1998. Опубл. 20.12.2000. Бюл. №35.

4. Патент RU 2160193, МПК 7 В60М 1/00. Указатель удаленности короткого замыкания в тяговой сети переменного тока / Быкадоров А.Л., Жарков Ю.И., Петров И.П., Фигурнов Е.П. (RU) - №98110434/28. Заявл. 01.06.1998. Опубл. 10.12.2000 Бюл. №34.

5. Патент RU 2177417, МПК 7 В60М 1/00. Определитель места повреждения тяговой сети / Фигурнов Е.П., Петров И.П., Жарков Ю.И., Быкадоров А.Л. (RU) - №98110414. Заявл. 01.06.1998. Опубл. 27.02.2001. Бюл. №36.

6. Патент RU 2181672, МПК 7 В60М 1/00. Устройство для определения удаленности места короткого замыкания в тяговой сети электрифицированного транспорта (варианты) / Быкадоров А.Л., Жарков Ю.И., Петров И.П., Фигурнов Е.П. (RU) - №98110757. Заявл. 01.06.1998. Опубл. 27.04.2002. Бюл. №12;

7. Патент RU 2189606, МПК 7 В60М 1/00. Способ определения удаленности короткого замыкания контактной сети переменного тока и устройство для его выполнения / Фигурнов Е.П., Жарков Ю.И., Стороженко Д.Е. (RU) - №2001110241/09. Заявл. 16.04.2001. Опубл. 20.09.2002. Бюл. №26;

8. Патент RU 2189607, МПК 7 В60М 1/00. Определитель удаленности повреждения контактной сети (варианты) / Фигурнов Е.П., Жарков Ю.И., Стороженко Д.Е. (RU) - №2001110308/09. Заявл. 16.04.2001. Опубл. 20.09.2002. Бюл. №26.

9. Патент RU 2153426, МПК 7 В60М 1/00. Указатель места короткого замыкания контактной сети / Фигурнов Е.П., Петров И.П., Жарков Ю.И., Быкадоров А.Л. (RU) - №98110435/28. Заявл. 01.06.1998. Опубл. 27.07.2000. Бюл. №21.

10. Фигурнов Е.П. Сопротивление электротяговой сети однофазного переменного тока. Электричество, 1997, №5. - С. 23-29.

1. Способ определения удаленности короткого замыкания контактной сети электрического транспорта при известных - расстоянии между тяговыми подстанциями А и В, сопротивлениях ХпА и ХпВ соответственно тех же тяговых подстанций, активной rтс и индуктивной хтс составляющих, а также модуля zтс и аргумента αтс погонного сопротивления 1 км тяговой сети, заключающийся в измерении в момент короткого замыкания признаков конкретного режима в виде значений тока IA, напряжения на шинах UA и фазового угла ϕА между ними на тяговой подстанции А, значений тока IB, напряжения на шинах UB и фазового угла ϕВ между ними на тяговой подстанции В, а также вычислении фазовых углов ΨA и ΨВ и определении удаленности короткого замыкания путем реализации вычислительных алгоритмов, использующих измеренные признаки конкретного режима и указанные известные параметры тяговых подстанций и тяговой сети, отличающийся тем, что дополнительно используют параметры напряжений холостого хода UA0, UB0 соответственно тяговых подстанций А и В и вычисляют фазовые углы ΨA и ΨВ между напряжениями холостого хода UA0, UB0 и соответствующими напряжениями UA, UB на шинах тяговых подстанций для конкретного режима короткого замыкания путем реализации вычислительного алгоритма в виде выражений:

дополнительно определяют модули , и аргументы , , схемы замещения реальной тяговой сети при известных значениях , ХпА, ХпВ, rтс и хтс путем реализации вычислительных алгоритмов в виде выражений:

а также модуль Iк и аргумент γк результирующего значения тока короткого замыкания в месте короткого замыкания путем реализации вычислительных алгоритмов в виде выражений:

и определяют удаленность от тяговой подстанции А до места короткого замыкания путем реализации вычислительного алгоритма в виде выражения:

2. Способ определения удаленности короткого замыкания контактной сети электрического транспорта при известных - расстоянии между тяговыми подстанциями А и В, сопротивлениях ХпА и ХпВ соответственно тех же тяговых подстанций, активной rтс и индуктивной хтс составляющих, а также модуля zтс и аргумента αтс погонного сопротивления 1 км тяговой сети, заключающийся в измерении в момент короткого замыкания признаков конкретного режима в виде значений тока IA, напряжения на шинах UA и фазового угла ϕA между ними на тяговой подстанции А, значений тока IB, напряжения на шинах UB и фазового угла ϕВ между ними на тяговой подстанции В, а также вычислении фазовых углов ΨA и ΨВ и определении удаленности короткого замыкания путем реализации вычислительных алгоритмов, использующих измеренные признаки конкретного режима и указанные известные параметры тяговых подстанций и тяговой сети, отличающийся тем, что дополнительно используют параметры напряжений холостого хода UA0, UB0 соответственно тяговых подстанций А и В и вычисляют фазовые углы ΨA и ΨВ между напряжениями холостого хода UA0, UB0 и соответствующими напряжениями UA, UB на шинах тяговых подстанций для конкретного режима короткого замыкания путем реализации вычислительного алгоритма в виде выражений:

дополнительно определяют модули , и аргументы , , схемы замещения реальной тяговой сети при известных значениях , ХпА, ХпВ, rтс и хтс путем реализации вычислительных алгоритмов в виде выражений:

а также модуль Iк и аргумент γк результирующего значения тока короткого замыкания в месте короткого замыкания путем реализации вычислительных алгоритмов в виде выражений:

и определяют удаленность от тяговой подстанции А до места короткого замыкания путем реализации вычислительного алгоритма в виде выражения: