Набухающий пакер, система и способ его использования
Иллюстрации
Показать всеГруппа изобретений относится к пакерам, способу использования пакера в скважине, системе, используемой в скважине. Техническим результатом является подавление концевого эффекта. Пакер, используемый в скважине, содержит трубчатое внутреннее ядро и продольно сегментированное набухающее тело, прикрепленное к ядру и выполненное с возможностью набухания в присутствии активационного вещества для образования кольцевого уплотнения у внутренней поверхности скважины. Набухающее тело продольно проходит между первым и вторым концами тела и содержит: первую область, образующую первый сегмент из первого материала, расположенную между первым и вторым концами набухающего тела, для набухания с первой скоростью и приведения в уплотнительное взаимодействие с внутренней поверхностью; и вторую область, образующую второй сегмент из второго материала, расположенную ближе к одному первому или второму концам по сравнению с первой областью, для набухания со второй скоростью и приведения в уплотнительное взаимодействие с внутренней поверхностью и со скоростью, которая ниже первой скорости. Набухающее тело содержит границу между первым и вторым сегментами, которая скошена для обеспечения того, что один из первого и второго сегментов подвергается увеличенному поверхностному воздействию скважины и активационного вещества. 3 н. и 8 з.п. ф-лы, 8 ил.
Реферат
УРОВЕНЬ ТЕХНИКИ
Пакер представляет собой устройство, используемое в скважине для образования кольцевого уплотнения между внутренним трубчатым элементом и окружающим наружным трубчатым элементом (в качестве лишь нескольких примеров - обсадная колонна или вкладыш) или стенкой ствола скважины. Например, внутренний трубчатый элемент может представлять собой насосно-компрессорную колонну (испытательную колонну, эксплуатационную колонну, рабочую колонну и т.п.) или может быть элементом скважинного инструмента (клапана формирования изоляции, мостовой пробки и т.п.).
Один тип обычного пакера имеет уплотняющий элемент, образованный набором эластомерных уплотнительных колец. Кольца имеют такой размер, который позволяет им проходить по скважине при опускании пакера по скважине до достижения позиции. Когда пакер достигает соответствующего положения внутри скважины и готов к установке, датчики пакера сжимают кольца, вследствие чего кольца радиально расширяются, образуя кольцевое уплотнение.
В пакере, устанавливаемом под действием массы, для сжатия уплотнительных колец пакера используют вес колонны и, возможно, вес дополнительных муфт. В этой связи при необходимости установки пакера механическое манипулирование колонной можно осуществлять с поверхности скважины, чтобы инициировать выпуск веса на кольца.
Для сжатия уплотнительных колец в гидравлически устанавливаемом пакере используется давление жидкости. Давлением жидкости может быть, например, давление, передаваемое по скважине через насосно-компрессорную колонну; давление в затрубном пространстве или давление, передаваемое по скважине через линию управления.
Другие типы пакеров могут включать уплотнительные элементы, которые устанавливаются без использования компрессии. Например, пакер может иметь надувную камеру, которая радиально расширяется, образуя кольцевое уплотнение, с помощью жидкости, которая передается во внутреннее пространство камеры по линии управления. В другом примере набухающий пакер имеет набухающий материал, который набухает в присутствии скважинного флюида или другого активационного вещества с целью образования кольцевого уплотнения.
Сущность изобретения позволяет представить ряд концепций, которые дополнительно описаны ниже в подробном описании. Описание сущности изобретения не предназначено для идентификации ключевых или основных признаков заявленного предмета изобретения, или для использования в качестве вспомогательного средства, ограничивающего объем заявленного предмета изобретения.
В некоторых вариантах реализации изобретения пакер, используемый со скважиной, содержит трубчатое внутреннее ядро и набухающее тело, прикрепленное к ядру и приспособленное к набуханию в присутствии активационного вещества для образования кольцевого уплотнения в скважине. Набухающее тело продольно простирается между первым и вторым концами тела и включает первую область, расположенную между первым и вторым концами набухающего тела, для обеспечения набухания с первой скоростью, и, по меньшей мере, вторую область, расположенную ближе к одному первому или второму концам относительно первой области, для обеспечения набухания со второй скоростью, которая ниже первой скорости.
В некоторых вариантах реализации изобретения способ включает использование набухающего тела, которое продольно простирается вдоль трубчатого элемента в скважине с образованием кольцевого уплотнения в скважине и предотвращает захват жидкости набухающим телом в ответ на радиальное расширение набухающего тела. Предотвращение захвата жидкости включает радиальное расширение первой области набухающего тела между концами тела с первой скоростью и радиальное расширение второй области набухающего тела ближе к концам относительно первой области со второй скоростью, которая ниже первой скорости.
Преимущества и другие признаки станут очевидными из нижеприведенного чертежа, описания и формулы изобретения. На чертежах:
Фиг. 1 представляет собой схематическую диаграмму скважины в соответствии с примером реализации изобретения;
Фиг. 2 представляет собой частичный поперечный разрез набухающего пакера с изображением пакера в состоянии радиального сжатия или в неустановленном состоянии;
Фиг. 3 представляет собой частичный поперечный разрез набухающего пакера Фиг. 2 с изображением пакера в состоянии радиального расширения или в установленном состоянии;
Фиг. 4 представляет собой блок-схему, изображающую способ подавления концевого эффекта для набухающего пакера в соответствии с примером реализации изобретения;
Фиг. 5A, 5B и 5C изображают частичные поперечные разрезы набухающего пакера с изображением пакера в неустановленном (Фиг. 5А), установленном (Фиг. 5С) и промежуточном (Фиг. 5В) состояниях в соответствии с примером реализации изобретения;
Фиг. 6-8 изображают частичный поперечный разрез набухающих пакеров в неустановленных состояниях в соответствии с дополнительным примером реализации изобретения.
В нижеприведенном описании многочисленные детали изложены для обеспечения понимания характеристик различных вариантов реализации изобретения. Тем не менее, специалистам в данной области техники будет понятно, что настоящее изобретение может быть реализовано без указанных подробностей и возможны многочисленные варианты или модификации описанных вариантов реализации изобретения.
В данном контексте термины, такие как «вверх» и «вниз»; «верхний» и «нижний»; «направленный вверх» и «направленный вниз»; «направленный выше» и «направленный ниже»; «выше» и «ниже», а также другие подобные термины, указывающие относительные положения выше или ниже заданной точки или элемента, приведены в настоящем описании для более четкого описания некоторых вариантов реализации изобретения. Однако применительно к оборудованию и способам использования в наклонных или горизонтальных средах такие термины могут указывать на направления слева направо, справа налево или другую взаимосвязь в соответствующих случаях.
В целом системы и способы раскрываются здесь в контексте управления продольным профилем набухающего элемента или тела набухающего пакера, поскольку тело набухает и радиально расширяется таким образом, чтобы жидкость не попадала между телом и корпусом или стенкой ствола скважины, относительно которой в противном случае уплотняется тело. Более конкретно, в соответствии с раскрываемыми здесь примерными реализациями изобретения набухающее тело набухающего пакера сконструировано таким образом, чтобы исключить или, по меньшей мере, подавить «концевой эффект»: явления, наблюдаемые в однородном набухающем теле, которое номинально имеет ту же самую скорость набухания на всем протяжении и в котором концевые участки тела фактически набухают относительно быстрее центральной части тела.
Набухающие пакеры, раскрываемые здесь, могут иметь многочисленные формы в зависимости от конкретной реализации изобретения. Например (без ограничений), в соответствии с примером реализации изобретения набухающие пакеры могут представлять собой набитые гравием пакеры, пакеры для разобщения пластов, мостовые пробки и т.п. Набухающие пакеры могут использовать для формирования уплотнений внутри трубчатых элементов, таких как обсадные колонны и вкладыши, а также могут использовать для герметизации необсаженных стен ствола скважины в зависимости от конкретной реализации изобретения. Набухающие пакеры, раскрываемые здесь, могут использовать в многочисленных внутрискважинных операциях, таких как операции гравийной засыпки, операции интенсификации скважин, операции гидравлического разрыва пласта, производственные операции, операции перфорирования, операции нагнетания, операции тестирования и т.п. Кроме того, раскрываемые здесь набухающие пакеры, могут использовать в операциях временного ремонта скважин (операциях тестирования, интенсификации и перфорирования, например), а также в ходе заканчивания скважины стационарным оборудованием.
Хотя конкретно раскрываемые здесь пакеры имеют набухающее тело в качестве единственного уплотнительного элемента, раскрываемые здесь способы и системы можно также применять к композитному пакеру, который включает набухающее тело и другой уплотнительный не набухающий элемент пакерного типа, в соответствии с некоторыми вариантами реализации изобретения. Например, набухающее тело может быть расположено на пакере, который также включает эластомерное уплотнительное кольцо, сжимаемое между датчиками для формирования кольцевого уплотнения в дополнение к кольцевому уплотнению, образованному набухающим телом. Таким образом, рассматриваются многие варианты, которые находятся в пределах объема прилагаемой формулы изобретения.
Ссылаясь на Фиг. 1 в качестве более конкретного примера, в соответствии с некоторыми реализациями изобретения набухающий пакер 60 может быть развернут внутри скважины 10 (наземной или подводной скважины) как элемент насосно-компрессорной колонны 30. Как показано на Фиг. 1, насосно-компрессорная колонна 30 простирается внутри скважины от поверхности Земли E в ствол скважины 12, который может проходить один или более пластов (в качестве примера, не имеющего ограничительный характер). В этом примере ствол скважины 12 простирается от основания 17 до узкого конца 19 бокового сегмента ствола скважины 12 через одну или несколько зон или ярусов 35 (один ярус 35 изображен на Фиг. 1) скважины 10.
Более того, в примере, изображенном на Фиг. 1, ствол скважины 12, по меньшей мере, частично обсажен насосно-компрессорной колонной, называемой здесь «обсадная колонна 20», которая, в целом, выстилает и поддерживает ствол скважины 12. Для состояния скважины 10, изображенного на Фиг. 1, в скважине внутри яруса 35 можно выполнить одну или более предперфорационных операций с образованием соответствующих перфораций 51 в обсадной колонне 20, а также соответствующих перфорационных каналов 50 в окружающем(их) пласте(ах).
В данном примерном применении набухающего пакера 60 насосно-компрессорная колонна 30 представляет собой эксплуатационную насосно-компрессорную колонну, которая содержит один или более сборных фильтров 40 (один сборный фильтр 40 изображен на Фиг. 1), которые расположены в ярусе 35 в целях получения добываемого флюида из окружающего(их) пласта(ов). В целом, набухающий пакер 60, когда установлен, образует кольцевое уплотнение между внешней поверхностью насосно-компрессорной колонны 30 и внутренней поверхностью обсадной колонны 20. Альтернативно, в дальнейших реализациях изобретения, если набухающий пакер 60 расположен в необсаженном стволе скважины, пакер 60, когда установлен, образует кольцевое уплотнение между внешней поверхностью насосно-компрессорной колонны 30 и стенкой необсаженного ствола скважины. Таким образом, рассматриваются многие варианты, которые находятся в пределах объема прилагаемой формулы изобретения.
Набухающий пакер 60 содержит набухающее тело 61, которое образует уплотнительный элемент для пакера 60 (в данном примере) и, в целом, описывает внутреннее металлическое ядро насосно-компрессорной колонны 30. В некоторых реализациях изобретения набухающее тело 61 может быть соединено с металлическим ядром насосно-компрессорной колонны 30, и, в целом, набухающее тело 61 может продольно простираться (вдоль локальной продольной оси насосно-компрессорной колонны 30) между двумя датчиками или дрейфовыми кольцами (не показаны), которые ограничивают/предотвращают продольную экструзию тела 61.
Как дополнительно описано ниже, в соответствии с примерами реализации изобретения набухающее тело 61 можно продольно сегментировать таким образом, чтобы продольно расположенные сегменты могли образовывать тело 61. Материалы этих сегментов обладают свойствами набухания, которые взаимодействуют, как описано здесь, с целью регулирования радиального расширения тела 61 контролируемым способом при набухании тела 61, что исключает или, по меньшей мере, подавляет концевой эффект.
Изначально, пакер 60 разворачивают внутри скважины в его неустановленном состоянии, что означает, что набухающее тело 61 радиально сжато, т.е. набухающее тело 61 не набухло или, по меньшей мере, существенно не набухло во время запуска насосно-компрессорной колонны 30 в скважину 10, поскольку набухающее тело 61 еще не подверглось воздействию стимулирующего вещества в течение достаточного времени. После расположения насосно-компрессорной колонны 30 соответствующим образом в скважине 10, устанавливают набухающий пакер 60, что это означает, что набухающее тело 61 набухает в радиальном направлении с образованием телом 61 кольцевого уплотнения относительно внутренней поверхности окружающей обсадной колонны 20.
Для раскрываемых здесь примеров набухающий материал набухающего материала 61 набухает в присутствии активационной жидкости, которую используют для активации или установки пакера 60 с целью образования уплотнительного кольца пакера. Активационная жидкость может представлять собой, например, жидкость, которая естественным образом присутствует в скважине 10, или другое активационное вещество, которое вводят в скважину 10 с поверхности Земли E. В качестве более конкретного примера, набухающее тело 61 может представлять собой набухающий эластомерный материал, который набухает вследствие термодинамического поглощения или осмоса жидкости в присутствии активационного вещества, как, например, скважинного флюида; нефти; воды; активационного вещества, которое передается с поверхности Земли E в скважину 10; комбинации одного или более этих жидкостей и т.п. в зависимости от конкретной реализации изобретения.
В примере, изображенном на Фиг. 1, пакер 60 при установке образует кольцевое уплотнение, которое изолирует ярус 35 от расположенного вверху сегмента ствола скважины 12, т.е. пакер 60 изолирует кольцевую область 34, которая находится за пределами сборного фильтра 40 и непосредственно внутри скважины от пакера 60, от соответствующей кольцевой области, расположенной вверх по стволу 33 пакера 60. Следует отметить, что кольцевое уплотнение может использоваться в целях изолирования зоны 35 в таких целях, как эксплуатация, для выполнения операции интенсификации, засыпки гравием и т.п.
При отсутствии раскрываемых здесь способов и систем, могут возникать проблемы в использовании набухающего пакера для образования кольцевого уплотнения в скважине в связи с концевым эффектом. Например, набухающий пакер 110, который потенциально может подвергаться концевому эффекту, изображен на Фиг. 2. Набухающий пакер 110 продольно простирается вдоль продольной оси 100 и изображен на Фиг. 2 в неустановленном состоянии, т.е. в состоянии, в котором набухающее тело 111 (которое огибает и связано с внутренним трубчатым металлическим ядром 130) пакера 100 радиально сжимается, тем самым покидая кольцевое пространство 120 между телом 111 и окружающей обсадной колонной 125. Следует отметить, что Фиг. 2 изображает частичный поперечный разрез пакера 110: на Фиг. 2 изображена верхняя сторона поперечного сечения пакера, при этом понимают, что пакер 110, как правило, симметричен относительно продольной оси 100, поэтому нижняя сторона поперечного сечения пакера является, в целом, зеркальным отображением верхней стороны. Следует отметить, что в частичных поперечных разрезах набухающих пакеров, изображенных на Фиг. 3, 5A, 5B, 5C, 6, 7 и 8, соблюдены одни и те же условные обозначения; при этом понимают, что нижняя сторона каждого поперечного сечения, как правило, является зеркальным отображением изображенной верхней стороны поперечного сечения.
По-прежнему ссылаясь на Фиг. 2 для данного примера, тело набухающего пакера 111 представляет собой однородное тело, которое номинально имеет равномерную скорость набухания на всем протяжении, но подвергается конечному эффекту, который эффективно передает телу большую скорость набухания вблизи его продольных концов 118. Другими словами, в связи с концевым эффектом, области тела набухающего пакера 111 вблизи его продольных концов 118, в целом, расширяются радиально быстрее, чем соответствующая центральная часть 116 тела 111. Таким образом, ссылаясь на Фиг. 3, в связи с концевым эффектом при набухании набухающего тела 111 области 126 набухающего тела 111 вблизи концов 118 контактируют с внутренней поверхностью 124 обсадной колонны 125 до того, как центральная часть 116 тела 111 будет контактировать с внутренней поверхностью 124. Это, в свою очередь, создает автономное кольцевое пространство 140, которое простирается в продольном направлении между концевыми участками и между центральной частью 116 набухающего тела 111 и обсадной колонной 125, и которое может захватывать скважинный флюид там, где предполагается образование кольцевого уплотнения.
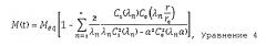
Динамика, которая приводят к концевому эффекту, связана с концентрацией потока массы на конце набухающего тела, достигающего равновесия, прежде чем равновесия достигнет концентрация массы потока в центральной части набухающего тела. Более конкретно, коэффициент диффузии (называемый здесь «D») активационного вещества (нефти, например) через набухающее тело (резиновую матрицу, например) регулирует динамику процесса набухания. Предположив, что коэффициент диффузии D является постоянным и не учитывая связь между эластичностью резины и кинетикой набухания, поток массы (называемый здесь «М») активационного вещества в однородном цилиндрическом полом набухающем теле пакера без «концевого эффекта» (т.е. предполагается, что тело обладает теоретической бесконечной длиной) можно выразить следующим образом:
где r означает радиус цилиндра, а t означает время. Граничные условия и начальные условия, предполагаемые при выведении Уравнения 1, приведены ниже, в Уравнениях 2 и 3, соответственно:
где ri означает внутренний радиус набухающего тела; ro - внешний радиус набухающего тела; Meq - концентрацию потока массы M в условиях равновесия; и H - пленочный коэффициент переноса массы.
Решение Уравнения 1 с точки зрения концентрации потока массы M в любой момент времени можно описать следующим образом:
где C0 и C1 означают цилиндрические функции от ноля до функций Бесселя первого порядка; λ - собственное значение/корень; и а - соотношение внутреннего и внешнего диаметров набухающего цилиндра.
Для учета аксиального переноса массы или концевых эффектов (т.е. для тела набухающего пакера конечной длины) Уравнение 1 можно представить иначе при тех же самых граничных и начальных условиях, указанных в Уравнениях 2 и 3 так, а именно:
Решение Уравнения 5 с точки зрения концентрации потока массы набухания М в качестве функции времени и аксиальной позиции (называемой z, где z варьирует от 0 до L, длины набухающего цилиндра) можно представить следующим образом:
Как указано в Уравнении 6, концентрация потока массы M в конце цилиндра конечной длины достигает равновесия достаточно быстро по сравнению с центральной частью цилиндра; и в результате концы набухают быстрее, чем центральная часть. Влияние концевого эффекта может быть снижено при изменении коэффициента диффузии D при изменении концентрации потока массы М; однако, по-прежнему остается тот факт, что эластомер на конце набухающего тела набухает быстрее, чем центральная часть тела. На обоих концах (z=0 и z=L), контакт жидкости и набухающего тела с поверхностью увеличивается, и скорость набухания также повышается, что также приводит к большему смещению набухающего тела вблизи концов.
Ссылаясь на Фиг. 4, для подавления, если не устранения, концевого эффекта можно использовать способ 150 в соответствии с примерами реализации изобретения. В соответствии со способом 150 для формирования набухающего пакера (блок 154) используют продольно простирающееся набухающее тело. Тело сконструировано таким образом, чтобы область тела между концами тела набухала относительно быстрее скорости, с которой набухает, по меньшей мере, одна из концевых областей тела, в соответствии с блоком 158.
Среди потенциальных преимуществ устранения или, по меньшей мере, подавления концевого эффекта для набухающего тела, - возможность повысить производительность в режиме давления и надежность набухающего пакера. Устранение/подавление концевого эффекта означает, что концы тела набухающего пакера поддерживаются центральной частью набухающего пакера, тем самым продлевая срок службы пакера. Набухающий пакер с подавленным концевым эффектом можно использовать в операциях, как например, операции гидравлического разрыва пласта на нескольких ярусах, в которых существует дифференциальное давление относительно большой величины поперек набухающего тела. Кроме того, длина набухающего пакера может быть сокращена за счет более эффективного уплотнения, созданного набухающим телом, которое минимизирует риски осаждения пакера в скважине во время его прохождения по скважине и минимизирует себестоимость продукции. Другие и различные преимущества рассматриваются в соответствии с дальнейшими вариантами реализации изобретения.
В соответствии с примерами реализации изобретения набухающее тело набухающего пакера может быть продольно сегментировано, т.е. набухающее тело может быть образовано конкатенацией цилиндров набухающего тела или колец, которые расположены вплотную вдоль продольной оси набухающего тела и огибают внутреннее ядро пакера. Сегменты набухающего тела изготавливают из материалов, имеющих различные скорости набухания, с целью регулирования пространственного профиля набухания для устранения/подавления концевого эффекта.
В качестве более конкретного примера Фиг. 5A изображает частичное поперечное сечение продольно сегментированного набухающего пакера 200 в соответствии с примерами реализации изобретения. Набухающий пакер 200 представляет собой конкретный пример реализации пакера 60 на Фиг. 1.
Ссылаясь на Фиг. 5A в связи с Фиг. 1, в целом, набухающий пакер 200 включает продольно сегментированное набухающее тело 201, которое проходит вдоль локальной продольной оси 101 насосно-компрессорной колонны 30 и соединено с внутренним металлическим трубчатым ядром 31 (колонны 30), огибаемое телом 201. В соответствии с примерным вариантом реализации изобретения набухающее тело 201 включает два различных материала с целью противодействия концевому эффекту: первый материал 208, который формирует концевые сегменты 222 набухающего тела 201 и имеет номинально относительно меньшую скорость набухания; и второй материал 210, который образует центральный сегмент 220 набухающего тела 201 и который имеет номинально относительно большую скорость набухания. Можно установить различные скорости набухания, например, за счет различных параметров пленочного коэффициента переноса массы для материалов 208 и 210 благодаря различным композициям эластомеров и добавок.
В соответствии с некоторыми вариантами реализации изобретения скорость набухания можно изменить путем регулирования количества ЭПДМ (этилен-пропилен-диеновый мономер) набухающего материала. Таким образом, в соответствии с некоторыми вариантами реализации изобретения материал центрального сегмента 210 может иметь более высокий процент ЭПДМ, чем материал 208, который образует концевые сегменты 222. В соответствии с некоторыми вариантами реализации изобретения, игнорируя концевой эффект, материал центрального сегмента 210 может иметь номинальную скорость набухания, которая приблизительно на пятьдесят процентов выше номинальной скорости набухания материала концевого сегмента 208.
В соответствии с некоторыми вариантами реализации изобретения материалы, которые образуют набухающее тело 201, можно изготавливать из эластомерных соединений, таких как соединения, раскрываемые в патенте США № 7373991 В2, которые образуются из продукта реакции линейного или разветвленного полимера, имеющего остаточную этиленовую ненасыщенность этиленовоненасыщенного органического мономера, имеющего, по меньшей мере, одну реакционноспособную группу, выбранную из группы, состоящей из кислоты, ангидрида кислоты и соли.
Как следует из их названий, центральный сегмент 220 проходит в продольном направлении и отделяет два концевых сегмента 222. Кроме того, в соответствии с примерами реализации изобретения, каждый концевой сегмент 222 соединен с соответствующим продольным концом центрального сегмента 220 по соответствующей границе 211.
Хотя концевой сегмент 222 может набухать относительно быстрее прогнозируемой скорости за счет того, что концентрация потока массы сегмента 222 достигает равновесия относительно быстро, фактическая скорость набухания концевого сегмента 222 остается ниже фактической скорости набухания центрального сегмента 220, благодаря чему сегмент 220 первым формирует уплотнение. Таким образом, вследствие различий скорости набухания центральный сегмент 220, при набухании набухающего тела 201, набухает быстрее и первым контактирует с внутренней поверхностью 21 обсадной колонны 20, прежде чем любой концевой сегмент 222, исключая тем самым образование кармана захвата жидкости (т.е. подавляя, если не устраняя, тем самым концевой эффект). Таким образом, хотя концентрация потока массы в каждом сегменте 222 достигает равновесия быстрее, чем концентрация потока массы в центральном сегменте 220, скорость набухания центрального сегмента 220 достаточно велика для преодоления этого несоответствия и образования уплотнения с корпусом 20, прежде чем концевые сегменты 222 образуют свои соответствующие уплотнения.
Фиг. 5B изображает промежуточное состояние процесса набухания набухающего тела 201 в соответствии с примерами реализации изобретения. В этом примере центральный сегмент набухающего тела 220 представляет собой первый сегмент, который контактирует с внутренней поверхностью 21 обсадной колонны 20; и в целом, за счет связывания сегментов 220 и 222 вместе, центральный сегмент 220 оказывает радиальное усилие для обеспечения радиального расширения концевых сегментов 222, как показано на Фиг. 5В. Таким образом, в состоянии набухающего тела 201, изображенном на Фиг. 5B, концевые сегменты 222 еще не вступили в контакт с внутренней поверхностью 21 обсадной колонны 20. Ссылаясь на Фиг. 5C, когда набухающее тело 201 полностью радиально расширяется по всей своей продольной длине, концевые сегменты 222 полностью контактируют с внутренней поверхностью 21 обсадной колонны 20 с полным образованием кольцевого уплотнения набухающего пакера 200.
Снова ссылаясь на Фиг. 5A, в соответствии с примером реализации изобретения границы 211 между концевыми сегментами 222 и центральным сегментом 220 наклонены или скошены относительно продольной оси 101. Более конкретно, как изображено на Фиг. 5A, граница 211 варьирует и по отношению к радиальному смещению от сердцевины 31 и по отношению к продольному смещению по ее длине. В примере, изображенном на Фиг. 5A, границы 211 ориентированы таким образом, чтобы центральный сегмент 220 стал продольно тоньше в радиальном расстоянии от сердцевины 31; и наоборот, каждый концевой сегмент 222 стал продольно толще в радиальном расстоянии от сердцевины 31.
В качестве другого примера на Фиг. 6 изображен набухающий пакер 250 в соответствии с дальнейшими вариантами реализации изобретения, которые могут использоваться в качестве набухающего пакера 60 на Фиг. 1. Как показано на Фиг. 6, набухающий пакер 250 включает продольно сегментированное набухающее тело 251, которое включает концевые сегменты 260, образованные материалом 208, который набухает относительно медленнее, и заменяют соответствующие концевые сегменты 222 (см. Фиг. 5A, например) пакера 200. Набухающий пакер 250 дополнительно включает центральный сегмент 270, образованный материалом 210, который набухает относительно быстрее, и заменяет центральный сегмент 220 пакера 200.
Каждый концевой сегмент прикреплен к другому концу центрального сегмента 270; и сегменты 260 и 270 соединены с ядром 31. В отличие от пакера 200, границы 261 между каждым концевым сегментом 260 и центральным сегментом 270 скошены относительно продольной оси 101 так, что продольная толщина центрального сегмента 270 возрастает с изменением радиального расстояния от сердцевины 31, и, наоборот, каждый концевой сегмент 260 становится продольно тоньше с изменением радиального расстояния от сердцевины 31.
В качестве другого примера, набухающий пакер 280 (см. Фиг. 7) альтернативно могут использовать для пакера 60 Фиг. 1 в дальнейших вариантах реализации изобретения. Пакер 280 имеет продольно сегментированное набухающее тело 281, которое включает концевые сегменты 290 (образованные материалом 208) и центральные сегменты 298 (образованные материалом 210), которые заменяют соответствующие концевые и центральные сегменты набухающих пакеров 200 (см. Фиг. 5А, например) и 250 (Фиг. 6). Концевые сегменты 290 присоединены к разным концам центрального сегмента 298; и сегменты 290 и 298 соединены с ядром 31. В отличие от этих других набухающих пакеров, границы 283 между концевыми 290 и центральным сегментами 298, как правило, ортогональны к продольной оси 101, т. е. не имеют скошенных границ. Таким образом, продольная толщина каждого сегмента 290, 298 обычно не изменяется в зависимости от радиального расстояния от ядра 31.
В еще одном варианте набухающий пакер 300, изображенный на Фиг. 8, могут использовать в дальнейших вариантах реализации изобретения для пакера 60 Фиг. 1. Набухающий пакер 300 включает продольно сегментированное набухающее тело пакера 301, которое включает концевые 290 и центральный 210 сегменты пакера 280 (Фиг. 7), которые соединены с внутренним ядром 30. Однако, в отличие от пакера 280, между ними расположен разделитель 310, который, таким образом, отделяет каждый концевой сегмент 290 от смежного конца центрального сегмента 298.
Разделитель 310 может быть образован одним из нескольких различных материалов в зависимости от конкретной реализации изобретения. Например, в соответствии с некоторыми вариантами реализации изобретения разделитель 310 может быть образован ненабухающим материалом (не набухающим материалом на основе эластомера, например). В других вариантах реализации изобретения разделитель 310 может быть образован набухающим материалом, скорость набухания которого отличается от скорости набухания либо центрального 298, либо концевых 290 сегментов (материал, скорость набухания которого ниже скорости набухания центрального сегмента 298, но выше скорости набухания концевого сегмента 290, например).
Предлагаются другие варианты, которые находятся в пределах объема прилагаемой формулы изобретения. Например, в дальнейших вариантах реализации изобретения, набухающий пакер может включать продольно сегментированное набухающее тело, которое образовано более чем тремя сегментами (десятью или более сегментами, например) материалов, имеющих различные скорости набухания. В других вариантах реализации изобретения тело набухающего пакера может представлять собой монолитное тело и, следовательно, несегментированное тело, скорость набухания которого зависит от продольного положения вдоль тела так, что центральная часть тела будет набухать быстрее, чем концевые участки тела.
Хотя настоящее изобретение описано со ссылкой на ограниченное число вариантов его реализации, специалистам в данной области техники будут понятны многочисленные модификации и изменения этого раскрытия. Подразумевается, что прилагаемая формула изобретения охватывает все такие модификации и изменения.
1. Пакер, используемый в скважине, содержащий:
трубчатое внутреннее ядро; и
продольно сегментированное набухающее тело, прикрепленное к ядру и выполненное с возможностью набухания в присутствии активационного вещества для образования кольцевого уплотнения у внутренней поверхности скважины, при этом набухающее тело продольно проходит между первым и вторым концами тела и содержит:
первую область, образующую первый сегмент из первого материала, расположенную между первым и вторым концами набухающего тела, для набухания с первой скоростью и приведения в уплотнительное взаимодействие с внутренней поверхностью;
по меньшей мере вторую область, образующую второй сегмент из второго материала, расположенную ближе к одному первому или второму концам по сравнению с первой областью, для набухания со второй скоростью и приведения в уплотнительное взаимодействие с внутренней поверхностью и со скоростью, которая ниже первой скорости; и
границу между первым и вторым сегментами, которая скошена для обеспечения того, что один из первого и второго сегментов подвергается увеличенному поверхностному воздействию скважины и активационного вещества.
2. Пакер по п. 1, отличающийся тем, что разница между первой и второй скоростями приводит к полному радиальному расширению центрально расположенной части набухающего тела, до полного радиального расширения по меньшей мере части тела, расположенной возле одного первого или второго концов.
3. Пакер по п. 1, отличающийся тем, что первый материал имеет продольную толщину, которая увеличивается с изменением радиального расстояния от ядра.
4. Способ использования пакера в скважине, в котором:
подвергают набухающее тело со скошенной границей между первым и вторым сегментами увеличенному поверхностному воздействию на один из сегментов активационным веществом в скважине;
используют набухающее тело, продольно простирающееся вдоль трубчатого элемента в скважине для образования кольцевого уплотнителя в скважине; и
предотвращают захват жидкости набухающим телом в ответ на радиальное расширение набухающего тела, при этом предотвращение захвата жидкости включает:
радиальное расширение первой области набухающего тела, расположенной между концами тела, с первой скоростью набухания в ответ на воздействие; а также
радиальное расширение второй области набухающего тела, расположенной ближе к концам по сравнению с первой областью, со второй скоростью набухания, которая ниже первой скорости набухания, в ответ на воздействие.
5. Способ по п. 4, отличающийся тем, что для радиального расширения первой области набухающего тела обеспечивают первый материал для первой области и обеспечивают второй материал для второй области; при этом первый материал имеет большую скорость набухания по сравнению со скоростью набухания второго материала.
6. Система, используемая в скважине, содержащая:
насосно-компрессорную колонну, простирающуюся внутри скважины; и
пакер для образования кольцевого уплотнения между насосно-компрессорной колонной и обсадной колонной или стенкой ствола скважины, при этом пакер включает:
внутреннее ядро; и
продольно сегментированное набухающее тело, прикрепленное к внутреннему ядру, для набухания с образованием кольцевого уплотнения в скважине у корпуса или стенки ствола скважины, при этом набухающее тело прикреплено к внутреннему ядру, огибает внутреннее ядро и содержит:
первый сегмент, расположенный отдельно от продольных концов набухающего тела, при этом первый сегмент содержит первый материал, связанный с первой скоростью набухания для набухания в уплотнительное взаимодействие с корпусом или стенкой ствола скважины;
вторые сегменты, расположенные рядом с продольными концами набухающего тела, при этом каждый второй сегмент включает второй материал, связанный со второй скоростью набухания для набухания в уплотнительное взаимодействие с корпусом или стенкой ствола скважины; и
границу между первым и вторым сегментами, которая скошена для обеспечения того, что один из первого и второго сегментов подвергается увеличенному поверхностному воздействию скважины,
при этом первая и вторая скорости набухания отличаются для обеспечения образования первым сегментом уплотнения с насосно-компрессорной колонной или обсадной колонной, прежде чем один из вторых сегментов образует уплотнение с насосно-компрессорно
 
                         
                            


