Иллюстрации к патенту
511874
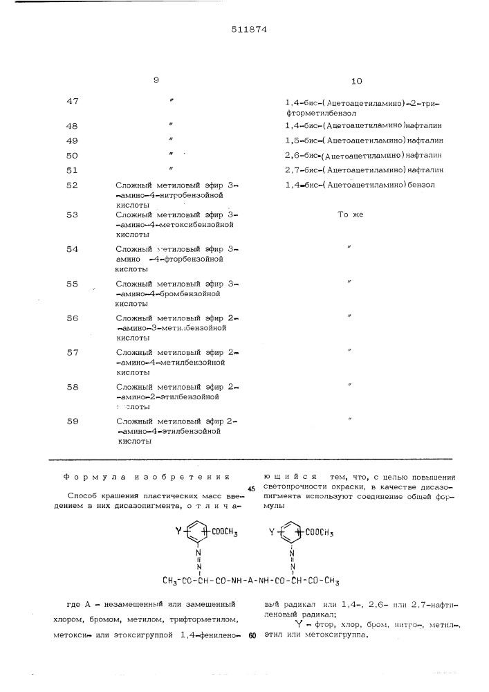
Способ крашения пластических масс