Иллюстрации к патенту
2360906
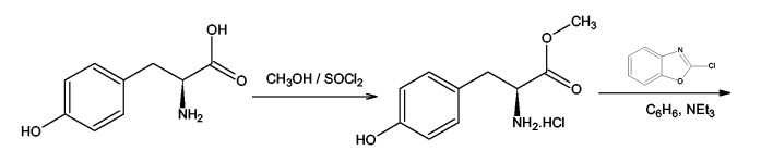
Новые производные 3-фенилпропионовой кислоты для лечения диабета