PatentDB.ru — поиск по патентным документам

Иллюстрации к патенту 2369602

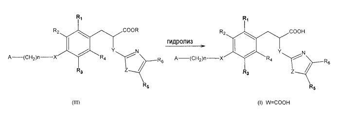
Новые производные 3-фенилпропионовой кислоты

Новые производные 3-фенилпропионовой кислоты (патент 2369602)