PatentDB.ru — поиск по патентным документам

Иллюстрации к патенту 2396299

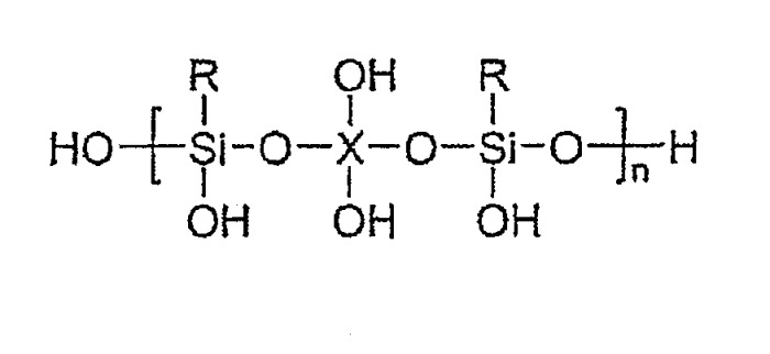
Композиция антикоррозионного покрытия в водной дисперсии, содержащая органический титанат

Композиция антикоррозионного покрытия в водной дисперсии, содержащая органический титанат (патент 2396299)