PatentDB.ru — поиск по патентным документам

Иллюстрации к патенту 2481347

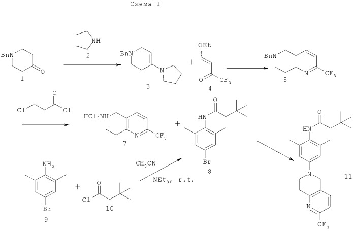
Производные нафтиридина в качестве модуляторов калиевых каналов

Производные нафтиридина в качестве модуляторов калиевых каналов (патент 2481347)