Иллюстрации к патенту
2546077
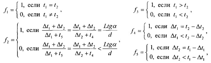
Способ обнаружения нарушителя и определения параметров нарушения