PatentDB.ru — поиск по патентным документам

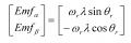
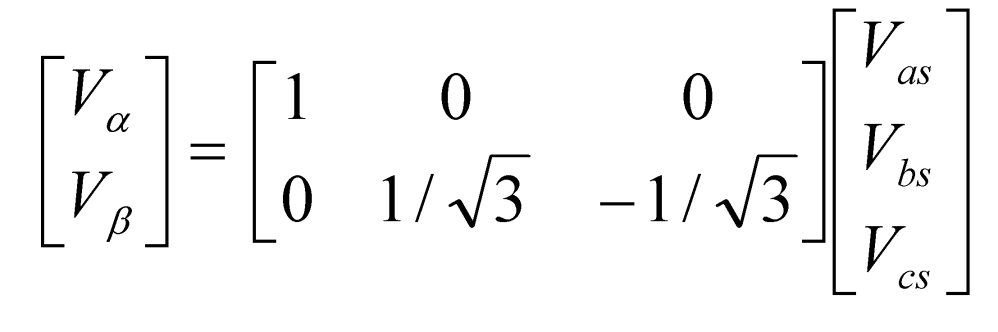
Иллюстрации к патенту 2596104

Устройство приведения в действие мотора и машина для стирки белья, включающая в себя его

Устройство приведения в действие мотора и машина для стирки белья, включающая в себя его (патент 2596104)