Система электроснабжения собственных нужд энергоблока электростанции

Иллюстрации

Показать все

Изобретение относится к электротехнике и может быть использовано в электроэнергетике, электростанции с блочными схемами выдачи электроэнергии. Техническим результатом является поддержание необходимого уровня напряжения на распределительной установке и электроприемниках собственных нужд энергоблока как во время изменения режимов энергоблока, так и во время коротких замыканий в распределительной установке электростанции и прилегающей к ней электрической сети. Система электроснабжения собственных нужд энергоблока электростанции содержит генератор, блочный трансформатор, распределительные установки электростанции и собственных нужд энергоблока, рабочий и дополнительный трансформаторы собственных нужд. Линейные выводы обмотки статора генератора присоединены через блочный трансформатор и через рабочий трансформатор соответственно к распределительным установкам электростанции и собственных нужд. Вторичная обмотка дополнительного трансформатора присоединена параллельно к электрической цепи между вторичной обмоткой рабочего трансформатора и распределительной установкой собственных нужд. Первичная обмотка дополнительного трансформатора включена последовательно в электрическую цепь нагрузки энергоблока, то есть этот трансформатор работает в режиме заданного нагрузкой тока. Система электроснабжения может содержать дополнительную распределительную установку собственных нужд, при этом рабочий и дополнительный трансформаторы выполнены с дополнительными вторичными обмотками. Система электроснабжения может содержать токоограничивающие реакторы. 2 з.п. ф-лы, 9 ил.

Реферат

Изобретение относится к электроэнергетике и может найти применение на мощных электростанциях с блочными схемами выдачи электроэнергии.

Известна система электроснабжения собственных нужд энергоблока электростанции, которая содержит генератор, линейные выводы обмотки статора которого присоединены через блочный трансформатор к распределительной установке электростанции и через рабочий трансформатор собственных нужд к распределительной установке собственных нужд энергоблока [Неклепаев Б.Н. Электрическая часть электростанций и подстанций: Учебник для вузов. - 2-е изд., перераб. и доп. - М.: Энергоатомиздат, 1986. - 640 с., с.371, рис.8.24, б].

Однако надежность такой системы электроснабжения собственных нужд энергоблока электростанции в отношении поддержания необходимого уровня напряжения на электроприемниках собственных нужд энергоблока недостаточно высока как во время изменения режима энергоблока, так и во время коротких замыканий в распределительной установке электростанции и прилегающей к ней электрической сети. Для сохранения работы электроприемников собственных нужд во время снижения напряжения на распределительной установке собственных нужд применяют устройства регулирования под нагрузкой на рабочих трансформаторах собственных нужд и сложные системы резервного питания.

В основу изобретения поставлена задача создать систему электроснабжения собственных нужд энергоблока электростанции, в которой введение новых элементов и связей между ними позволило бы обеспечить поддержание необходимого уровня напряжения на электроприемниках собственных нужд энергоблока как во время изменения режимов энергоблока, так и во время коротких замыканий в распределительной установке электростанции и примыкающей к ней электрической сети и тем самым повысить надежность работы энергоблока.

Поставленная задача достигается тем, что система электроснабжения собственных нужд энергоблока электростанции, содержащая генератор, линейные выводы обмотки статора которого присоединены через блочный трансформатор к распределительной установке электростанции и через рабочий трансформатор собственных нужд к распределительной установке собственных нужд энергоблока, согласно изобретению содержит дополнительный трансформатор собственных нужд, вторичная обмотка которого присоединена параллельно к электрической цепи между вторичной обмоткой рабочего трансформатора собственных нужд и распределительной установкой собственных нужд энергоблока, при этом первичная обмотка дополнительного трансформатора собственных нужд включена последовательно в электрическую цепь между линейными выводами обмотки статора генератора и местом присоединения первичной обмотки рабочего трансформатора собственных нужд.

Введение дополнительного трансформатора собственных нужд и новых связей между элементами позволит путем параметрического изменения величины тока во вторичной обмотке дополнительного трансформатора собственных нужд при изменении тока обмотки статора генератора обеспечить поддержание необходимого уровня напряжения на распределительной установке и электроприемниках собственных нужд энергоблока как во время изменения режимов энергоблока, так и во время коротких замыканий в распределительной установке электростанции и прилегающей к ней электрической сети и тем самым повысить надежность работы.

Поставленная задача достигается также тем, что в системе электроснабжения собственных нужд энергоблока электростанции первичная обмотка дополнительного трансформатора собственных нужд соединена последовательно с нейтральными выводами обмотки статора генератора.

Это обеспечивает дополнительно уменьшение уровня напряжения на изоляции первичной обмотки дополнительного трансформатора собственных нужд и тем самым повышает надежность работы.

Поставленная задача достигается также тем, что в системе электроснабжения собственных нужд энергоблока электростанции первичная обмотка дополнительного трансформатора собственных нужд включена последовательно в электрическую цепь между местом присоединения первичной обмотки рабочего трансформатора собственных нужд и линейными выводами первичной обмотки блочного трансформатора.

Это позволяет уменьшить токовую нагрузку первичной обмотки дополнительного трансформатора собственных нужд и тем самым повысить надежность работы.

Поставленная задача достигается также тем, что в системе электроснабжения собственных нужд энергоблока электростанции первичная обмотка дополнительного трансформатора собственных нужд соединена последовательно с нейтральными выводами первичной обмотки блочного трансформатора.

Это позволяет при снижении токовой загрузки первичной обмотки дополнительного трансформатора собственных нужд обеспечить уменьшение уровня напряжения на изоляции этой обмотки и тем самым повысить надежность работы.

Поставленная задача достигается также тем, что в системе электроснабжения собственных нужд энергоблока электростанции первичная обмотка дополнительного трансформатора собственных нужд включена последовательно в электрическую цепь между линейными выводами вторичной обмотки блочного трансформатора и распределительной установкой электростанции.

Это обеспечивает значительное уменьшение токовой загрузки первичной обмотки дополнительного трансформатора собственных нужд и тем самым повышает надежность работы.

Поставленная задача достигается также тем, что в системе электроснабжения собственных нужд энергоблока электростанции первичная обмотка дополнительного трансформатора собственных нужд соединена последовательно с нейтральными выводами вторичной обмотки блочного трансформатора.

Это позволяет при значительном уменьшении токовой загрузки первичной обмотки дополнительного трансформатора собственных нужд обеспечить дополнительно уменьшение уровня напряжения на изоляции этой обмотки и тем самым повысить надежность работы.

Поставленная задача достигается также тем, что система электроснабжения собственных нужд энергоблока электростанции содержит дополнительную распределительную установку собственных нужд энергоблока, при этом рабочий трансформатор собственных нужд выполнен с дополнительной вторичной обмоткой, которая соединена с дополнительной распределительной установкой собственных нужд, и дополнительный трансформатор собственных нужд выполнен с дополнительной вторичной обмоткой, которая присоединена параллельно к электрической цепи между дополнительной вторичной обмоткой рабочего трансформатора собственных нужд и дополнительной распределительной установкой собственных нужд энергоблока.

Это позволяет дополнительно расширить ранее указанные преимущества на системы электроснабжения собственных нужд, которые содержат дополнительную распределительную установку собственных нужд, и тем самым повысить надежность работы.

Поставленная задача достигается также тем, что система электроснабжения собственных нужд энергоблока электростанции содержит токоограничивающий реактор, обмотка которого включена последовательно в электрическую цепь между вторичной обмоткой рабочего трансформатора собственных нужд и местом присоединения вторичной обмотки дополнительного трансформатора собственных нужд.

Это позволяет снизить уровень токов во время коротких замыканий в электрической цепи собственных нужд, а также дополнительно повысить уровень напряжения на распределительной установке и электроприемниках собственных нужд во время коротких замыканий в распределительной установке электростанции и прилегающей к ней электрической сети и тем самым повысить надежность работы.

Поставленная задача достигается также тем, что в системе электроснабжения собственных нужд энергоблока электростанции токоограничивающий реактор выполнен сдвоенным с дополнительной обмоткой, при этом одни концы обмоток реактора присоединены соответственно к вторичным обмоткам рабочего и дополнительного трансформаторов собственных нужд, а другие концы обмоток реактора соединены между собой и присоединены к распределительной установке собственных нужд энергоблока.

Это позволяет дополнительно обеспечивать необходимый уровень напряжения на распределительной установке и электроприемниках собственных нужд во время нормальных режимов и тем самым повысить надежность работы.

Техническую сущность и принцип действия предложенной системы электроснабжения собственных нужд энергоблока электростанции объясняют фиг.1÷9. На фиг.1÷6 показаны системы электроснабжения собственных нужд энергоблока электростанции с генератором, блочным трансформатором (БТ), рабочим трансформатором собственных нужд (РТСН), распределительными установками электростанции (РУЭС) и собственных нужд (РУСН), а также с дополнительным трансформатором собственных нужд (ДТСН); на фиг.7 - система электроснабжения с дополнительной РУСН; на фиг.8 - система электроснабжения с токоограничивающим реактором (ТР); на фиг.9 - система электроснабжения с сдвоенным реактором с дополнительной обмоткой.

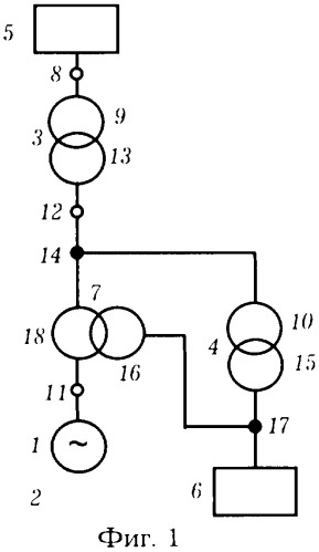
Система электроснабжения собственных нужд энергоблока электростанции (фиг.1) содержит генератор 1 с обмоткой 2 статора, блочный трансформатор (БТ) 3, рабочий трансформатор собственных нужд (РТСН) 4, распределительную установку электростанции (РУЭС) 5, распределительную установку собственных нужд (РУСН) 6 энергоблока и дополнительный трансформатор собственных нужд (ДТСН) 7. Линейные выводы 8 вторичной обмотки 9 БТ 3 присоединены к РУЭС 5. Первичная обмотка 10 РТСН 4 присоединена к электрической цепи между линейными выводами 11 обмотки 2 статора генератора 1 и линейными выводами 12 первичной обмотки 13 БТ 3 в произвольном месте 14. Вторичная обмотка 15 РТСН 4 присоединена к РУСН 6. Вторичная обмотка 16 ДТСН 7 присоединена параллельно к электрической цепи между вторичной обмоткой 15 РТСН 4 и РУСН 6 в произвольном месте 17. Первичная обмотка 18 ДТСН 7 включена последовательно в электрическую цепь между линейными выводами 11 обмотки 2 статора генератора 1 и местом 14 присоединения первичной обмотки 10 РТСН 4.

На фиг.2 показана система электроснабжения, в которой первичная обмотка 18 ДТСН 7 соединена последовательно с нейтральными выводами 19 обмотки 2 статора генератора 1.

На фиг.3 показана система электроснабжения, в которой первичная обмотка 18 ДТСН 7 включена последовательно в электрическую цепь между местом 14 присоединения первичной обмотки 10 РТСН 4 и линейными выводами 12 первичной обмотки 13 БТ 3.

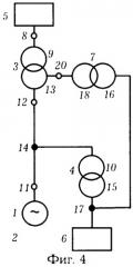
На фиг.4 показана система электроснабжения, в которой первичная обмотка 18 ДТСН 7 соединена последовательно с нейтральными выводами 20 первичной обмотки 13 БТ 3.

На фиг.5 показана система электроснабжения, в которой первичная обмотка 18 ДТСН 7 включена последовательно в электрическую цепь между линейными выводами 8 вторичной обмотки 9 БТ 3 и РУЭС 5.

На фиг.6 показана система электроснабжения, в которой первичная обмотка 18 ДТСН 7 соединена последовательно с нейтральными выводами 21 вторичной обмотки 9 БТ 3.

Система электроснабжения может содержать дополнительные распределительные установки собственных нужд, а рабочий и дополнительный трансформаторы собственных нужд могут быть выполнены с дополнительными вторичными обмотками. На фиг.7 показан вариант такой системы электроснабжения, которая дополнительно к элементам электроустановки на фиг.3 содержит одну дополнительную РУСН 22, а РТСН 4 и ДТСН 7 выполнены с дополнительными вторичными обмотками 23 и 24 соответственно. Дополнительная вторичная обмотка 23 РТСН 4 соединена с дополнительной РУСН 22, а дополнительная вторичная обмотка 24 ДТСН 7 присоединена параллельно к электрической цепи между дополнительной вторичной обмоткой 23 РТСН 4 и дополнительной РУСН 22 в произвольном месте 25.

Система электроснабжения может содержать один и больше токоограничивающих реакторов. На фиг.8 показан вариант такой системы электроснабжения, которая дополнительно к элементам системы электроснабжения на фиг.3 содержит токоограничивающий реактор 26, обмотка 27 которого включена последовательно в электрическую цепь между вторичной обмоткой 15 PTCH 4 и местом 17 присоединения вторичной обмотки 16 ДТСН 7.

В системе электроснабжения токоограничивающий реактор может быть выполнен сдвоенным с дополнительной обмоткой. На фиг.9 показан вариант такой системы электроснабжения, в которой в отличие от системы электроснабжения на фиг.8 токоограничивающий реактор 26 выполнен сдвоенным с дополнительной обмоткой 28, при этом одни концы обмоток 27 и 28 этого реактора 26 присоединены соответственно к вторичным обмоткам 15 и 16 PTCH 4 и ДТСН 7, а другие концы обмоток 27 и 28 этого реактора 26 соединены между собой и присоединены к РУСН 6.

Система электроснабжения собственных нужд энергоблока электростанции работает так.

В системе электроснабжения на фиг.1 ДТСН 7 работает в режиме заданного нагрузкой генератора 1 тока, который проходит через первичную обмотку 18 и трансформируется во вторичную обмотку 16 ДТСН 7. При изменении нагрузки генератора 1 изменяется его ток, а значит, и токи в первичной 18 и вторичной 16 обмотках ДТСН 7, что обеспечивает встречное регулирование уровня напряжения на РУСН 6 и позволяет использовать PTCH 4 без устройств РПН, которые, как известно, являются одними из наименее надежных элементов традиционных систем электроснабжения. В нормальных режимах энергоблока мощность нагрузки собственных нужд распределяется между PTCH 4 и ДТСН 7, при этом желаемое распределение достигается при определенном коэффициенте трансформации ДТСН 7, значение которого в общем случае может быть комплексным числом. Уровни напряжения на изоляции первичной обмотки 18 ДТСН 7 как в нормальных режимах, так и во время замыканий на землю в произвольном месте электрической цепи на генераторном напряжении отвечают уровням напряжения на изоляции обмотки 2 статора генератора 1 со стороны линейных выводов 11 в аналогичных режимах традиционной системы электроснабжения без ДТСН 7. В предложенной системе электроснабжения номинальная мощность РТСН 4 может быть меньшей, а его реактанс большим, чем в традиционной системе электроснабжения без ДТСН 7. Поэтому уровень токов во время коротких замыканий в РУСН 6 уменьшается. Во время коротких замыканий в РУЭС 5 и прилегающей к ней электрической сети напряжение на линейных выводах 11 обмотки 2 статора генератора 1 уменьшается, но при этом увеличивается ток от генератора, а значит, увеличиваются токи в первичной 18 и вторичной 16 обмотках ДТСН, что обеспечивает поддержание необходимого уровня напряжения на РУСН 6 и тем самым на электроприемниках собственных нужд.

В системе электроснабжения на фиг.2 в отличие от системы электроснабжения на фиг.1 первичная обмотка 18 ДТСН 7 соединена последовательно с нейтральными выводами 19 обмотки 2 статора генератора 1, вследствие чего существенно уменьшается уровень напряжения на изоляции первичной обмотки 18 ДТСН 7 как в нормальных режимах, так и во время замыканий на землю в произвольном месте электрической цепи на генераторном напряжении, что облегчает условия работы этой изоляции.

В системе электроснабжения на фиг.3 в отличие от системы электроснабжения на фиг.1 в эксплуатационных режимах через первичную обмотку 18 ДТСН 7 будет проходить меньший ток, значение которого будет равно разности токов обмотки 2 статора генератора 1 и первичной обмотки 10 РТСН 4, что приводит к уменьшению тепловых потерь мощности в первичной обмотке 18 ДТСН 7 и облегчает условия ее работы по нагреву.

В системе электроснабжения на фиг.4 в отличие от системы электроснабжения на фиг.1 в эксплуатационных режимах через первичную обмотку 18 ДТСН 7 будет проходить меньший ток, значение которого будет равно разности токов обмотки 2 статора генератора 1 и первичной обмотки 10 РТСН 4, что приводит к уменьшению тепловых потерь мощности в первичной обмотке 18 ДТСН 7 и облегчит условия ее работы по нагреву. Вследствие того, что первичная обмотка 18 ДТСН 7 соединена последовательно с нейтральными выводами 20 первичной обмотки 13 БТ 3, существенно уменьшается уровень напряжения на изоляции обмотки 18 ДТСН 7 как в нормальных режимах, так и во время замыканий на землю в произвольном месте электрической цепи на генераторном напряжении, что облегчает условия работы этой изоляции.

Блочные трансформаторы систем электроснабжения энергоблоков электростанций выполняют повышающими, то есть значения токов вторичных обмоток этих трансформаторов меньше значений токов их первичных обмоток. Поэтому в системе электроснабжения на фиг.5 как в нормальных режимах, так и в режимах внешних коротких замыканий в РУЭС 5 и в прилегающей к ней электрической сети через первичную обмотку 18 ДТСН 7 будет проходить ток, значение которого меньше значения соответствующего тока в электроустановке на фиг.1 в аналогичных режимах, что приведет к уменьшению тепловых потерь мощности в первичной обмотке 18 ДТСН 7 и дополнительно облегчит условия ее работы по нагреву, но уровень напряжения на изоляции этой обмотки будет соответствовать уровню напряжения на изоляции вторичной обмотки 9 БТ 3 со стороны ее линейных выводов 8.

В системе электроснабжения на фиг.6 как в нормальных режимах, так и в режимах внешних коротких замыканий в РУЭС 5 и в прилегающей к ней электрической сети через первичную обмотку 18 ДТСН 7 будет проходить ток, значение которого меньше значения соответствующего тока в электроустановке на фиг.1 в аналогичных режимах, что приведет к уменьшению тепловых потерь мощности в первичной обмотке 18 ДТСН 7 и дополнительно облегчит условия ее работы по нагреву. Вследствие того что первичная обмотка 18 ДТСН 7 соединена последовательно с нейтральными выводами 21 вторичной обмотки 9 БТ 3, уменьшается уровень напряжения на изоляции обмотки 18 ДТСН 7, что облегчает условия работы этой изоляции.

В системе электроснабжения на фиг.7 наличие дополнительной РУСН 22 и выполнение РТСН 4 с дополнительной обмоткой 23 обеспечивают уменьшение уровней токов во время коротких замыканий в распределительных установках собственных нужд энергоблока по сравнению с системами электроснабжения на фиг.1-6. При этом выполнение ДТСН 7 с дополнительной вторичной обмоткой 24, которая присоединена параллельно к электрической цепи между дополнительной вторичной обмоткой 23 РТСН 4 и дополнительной РУСН 22 в произвольном месте 25, обеспечивает режимы работы и их преимущества аналогично режимам работы и преимуществам систем электроснабжения на фиг.1-6 соответственно.

В системе электроснабжения на фиг.8 наличие токоограничивающего реактора 26 увеличивает эквивалентный реактанс ветви с РТСН 4 на величину реактанса обмотки 27 этого реактора. Это позволяет дополнительно обеспечивать поддержание необходимого уровня напряжения на РУСН 6 во время коротких замыканий в РУЭС 5 и прилегающей к ней электрической сети в случае, когда значения реактанса РТСН 4 недостаточно. Кроме того, наличие токоограничивающего реактора 26 приводит к уменьшению уровня токов во время коротких замыканий в РУСН 6.

В системе электроснабжения на фиг.9 выполнение реактора 26 сдвоенным с дополнительной обмоткой 28 дополнительно к преимуществам работы системы электроснабжения на фиг.8 обеспечивает во время нормальных режимов энергоблока улучшение условий поддержания необходимого уровня напряжения на РУСН 6 за счет уменьшения эквивалентного реактанса сдвоенного реактора по отношению к РУСН 6.

Предложенная система электроснабжения собственных нужд энергоблока электростанции может быть реализована во время технического переоснащения и реконструкции действующих и сооружения новых энергоблоков электростанций.

1. Система электроснабжения собственных нужд энергоблока электростанции, содержащая генератор, линейные выводы обмотки статора которого присоединены через блочный трансформатор к распределительной установке электростанции, и рабочий трансформатор собственных нужд, первичная обмотка которого присоединена к электрической цепи между линейными выводами обмотки статора генератора и первичной обмотки блочного трансформатора, при этом вторичная обмотка рабочего трансформатора собственных нужд присоединена к распределительной установке собственных нужд энергоблока, отличающаяся тем, что содержит дополнительный трансформатор собственных нужд, вторичная обмотка которого присоединена к электрической цепи между вторичной обмоткой рабочего трансформатора собственных нужд и распределительной установкой собственных нужд энергоблока, при этом первичная обмотка дополнительного трансформатора собственных нужд включена последовательно в электрическую цепь или между линейными выводами обмотки статора генератора и местом присоединения первичной обмотки рабочего трансформатора собственных нужд, или последовательно с нейтральными выводами обмотки статора генератора, или между местом присоединения первичной обмотки рабочего трансформатора собственных нужд и линейными выводами первичной обмотки блочного трансформатора, или последовательно с нейтральными выводами первичной обмотки блочного трансформатора, или последовательно между линейными выводами вторичной обмотки блочного трансформатора и распределительной установкой электростанции, или последовательно с нейтральными выводами вторичной обмотки блочного трансформатора.

2. Система по п.1, отличающаяся тем, что содержит токоограничивающий реактор, обмотка которого включена последовательно в электрическую цепь между вторичной обмоткой рабочего трансформатора собственных нужд и местом присоединения вторичной обмотки дополнительного трансформатора собственных нужд.

3. Система по п.1, отличающаяся тем, что содержит дополнительную распределительную установку собственных нужд энергоблока, при этом рабочий трансформатор собственных нужд выполнен с дополнительной вторичной обмоткой, которая соединена с дополнительной распределительной установкой собственных нужд, и дополнительный трансформатор собственных нужд выполнен с дополнительной вторичной обмоткой, которая присоединена к электрической цепи между дополнительной вторичной обмоткой рабочего трансформатора собственных нужд и дополнительной распределительной установкой собственных нужд энергоблока.