Новые депсипептиды и способы их получения

Иллюстрации

Показать все

Настоящее изобретение относится к новым депсипептидным соединениям, а также относится к фармацевтическим композициям данных соединений и применению данных соединений в качестве антибактериальных соединений. Изобретение также относится к способам получения данных новых депсипептидных соединений и промежуточных продуктов, применяемых при получении данных соединений. 9 н. и 22 з.п. ф-лы, 3 табл.

Реферат

Перекрестная ссылка на родственные заявки

По данной заявке испрашивается приоритет по заявке Соединенных Штатов No. 60/310313, поданной 6 августа 2001 г., которая тем самым включена здесь во всей ее полноте в качестве ссылки.

Область техники, к которой относится изобретение

Настоящее изобретение относится к новым депсипептидным соединениям. Изобретение также относится к фармацевтическим композициям на основе указанных соединений и способам применения данных соединений в качестве антибактериальных агентов. Изобретение также относится к способам получения указанных новых депсипептидных соединений и промежуточных продуктов, применяемых для получения данных соединений.

Известный уровень техники

Быстрое увеличение случаев грамположительных инфекций, включая вызываемые устойчивыми бактериями, заново возбудило интерес к разработке новых классов антибиотиков. Классом соединений, которые показали себя как потенциальные антибиотические агенты, являются циклические депсипептиды. Примечательным членом циклических депсипептидов являются липопептиды A-21978C, описанные, например, в патентах Соединенных Штатов RE 32333; RE 32445; RE 32311; RE 32310; 4482487; 4537717 и 5912226 и в международных патентных заявках WO 01/44272; WO 01/44274 и WO 01/44271. Кроме того, класс A54145 соединений, описанных в патентах Соединенных Штатов 4994270; 5039789 и 5028590, также, как показано, обладает антибиотической активностью.

Даптомицин, также известный как LY 146032, включает н-деканоильную боковую цепь, соединенную с N-концевым триптофаном цепи из трех аминокислот, соединенной с циклическим пептидом из 10 аминокислот. Даптомицин обладает сильной антибактериальной активностью in vitro и in vivo против клинически значимых грамположительных бактерий, которые вызывают серьезные и угрожающие жизни заболевания. Данные бактерии включают устойчивые патогены, такие как устойчивые к ванкомицину энтерококки (VRE), устойчивые к метициллину Staphylococcus aureus (MRSA), восприимчивые к промежуточному продукту гликопептида Staphylococcus aureus (GISA), устойчивые к ванкомицину Staphylococcus aureus (VRSA), негативные в отношении коагулазы стафилококки (CNS) и устойчивые к пенициллину Streptococcus pneumoniae (PRSP), для которых существует очень мало терапевтических альтернатив. Смотри, например, Tally et al., 1999, Exp. Opin. Invest. Drugs 8:1223-1238.

Несмотря на перспективы, которые связаны с существующими антибактериальными агентами, продолжает сохраняться потребность в новых антибиотиках. Многие патогены повторно экспонировались с обычно применяемыми антибиотиками. Данная экспозиция привела к отбору вариантов антибактериальных штаммов, устойчивых к широкому спектру антибиотиков. Потеря силы и эффективности антибиотика, определяемые возникновением механизмов устойчивости, приводит к неэффективности антибиотика и, следовательно, может вести к некоторым угрожающим жизни инфекциям, которые практически не поддаются лечению. Как только на рынке появляются новые антибиотики, у патогенов может развиться устойчивость или переходная устойчивость к данным новым лекарствам, эффективно создавая потребность в потоке новых антибактериальных агентов для борьбы с данными возникающими штаммами. Кроме того, соединения, которые проявляют бактерицидную активность, имеют преимущества по сравнению с имеющимися в настоящее время бактериостатическими соединениями. Таким образом, следует ожидать, что новые антибактериальные агенты будут пригодны для воздействия не только на «природные» патогены, но также и на патогены с переходной устойчивостью и устойчивые патогены, потому что патоген никогда не был экспонирован с новым антибактериальным агентом. Новые антибактериальные агенты могут характеризоваться различной эффективностью против различных типов патогенов.

Краткое изложение существа изобретения

В настоящем изобретении предложены новые соединения, которые обладают антибактериальной активностью в отношении широкого спектра бактерий, включая устойчивые к лекарствам бактерии, и способы получения таких соединений.

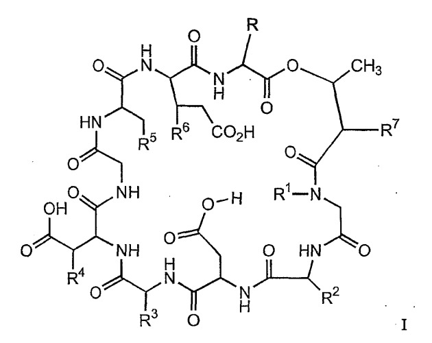
В настоящем изобретении предлагаются в одном аспекте соединения формулы

и их соли;

где

(a) R представляет собой 2-бутил, изопропил или 2-(2'-аминофенацил);

(b) каждый из R1 и R6 независимо представляет собой гидридо или метил;

(c) R2 представляет собой метил или -CH2CH2CH2R8;

(d) R3 представляет собой метил или -CH2CH2CH2CH2R9;

(e) R4 представляет собой гидридо или метокси;

(f) R5 представляет собой гидрокси или карбоксиамино;

(g) каждый из R7, R8 и R9 независимо представляет собой амино, монозамещенный амино, дизамещенный амино, ациламино, уреидо, гуанидино, карбамоил, сульфонамино, тиоациламино, тиоуреидо, иминоамино или фосфонамино;

(h) при условии, что

(1) когда R2 представляет собой -CH2CH2CH2R8, R7 является отличным от

где R10 представляет собой амино, монозамещенный амино, дизамещенный амино, ациламино, уреидо, гуанидино, карбамоил, сульфонамино, тиоациламино, иминоамино или фосфонамино;

(2) когда R2 представляет собой метил, R7 является отличным от

где каждый из R11 и R12 представляет собой гидридо, C6-C18 незамещенный алканоил, C8-C18 незамещенный алкеноил, C8-C18 незамещенный алкил или C8-C18 выбранный замещенный алкил; или альтернативно R11 и R12 вместе представляют собой C8-C18 алкилиденил.

В другом аспекте настоящее изобретение относится к фармацевтическим композициям, содержащим соединения формулы I, и к способам их применения.

В дополнительном аспекте настоящее изобретение относится к способу получения соединений формулы I.

В еще одном аспекте настоящее изобретение относится к соединениям, пригодным в качестве промежуточных продуктов для получения соединений формулы I.

Подробное описание изобретения

Определения

Термин «активирующая группа» обозначает группу, которая при присоединении к карбонильной группе активирует карбонильную группу для воздействия на нее нуклеофильного амина, что ведет к потере активирующей группы и образованию амидной связи. Примерами активирующих групп являются арилокси, ацилокси, имидазолил

Предпочтительными активирующими группами являются арилоксигруппы. Наиболее предпочтительная активирующая группа представляет собой пентафторфенокси.

Термин «ацил» обозначает карбонильный радикал, присоединенный к алкилу, алкенилу, алкинилу, циклоалкилу, гетероциклилу, арильной или гетероарильной группе, причем примеры включают без ограничения такие радикалы, как ацетил и бензоил. Термин ацил подразделяется на (1) «незамещенный алканоил», который определяют как карбонильный радикал, присоединенный к незамещенной алкильной группе, и (2) «незамещенный алкеноил», который определяют как карбонильный радикал, присоединенный к незамещенной алкенильной группе.

Термин «ациламино» обозначает азотный радикал, присоединенный к ацильной группе.

Термин «ацилокси» обозначает кислородный радикал, присоединенный к ацильной группе.

Термин «алкенил» определяют как линейные или разветвленные радикалы, имеющие от двух до приблизительно двадцати атомов углерода, предпочтительно, от трех до приблизительно десяти атомов углерода, и содержащие, по меньшей мере, одну углерод-углеродную двойную связь. Один или несколько атомов водорода могут также быть заменены на заместитель, выбранный из ацила, ациламино, ацилокси, алкенила, алкокси, алкила, алкинила, амино, арила, арилокси, карбамоила, карбоалкокси, карбокси, карбоксиамидо, карбоксиамино, циано, дизамещенного амино, формила, гуанидино, галогена, гетероарила, гетероциклила, гидрокси, иминоамино, монозамещенного амино, нитро, оксо, фосфонамино, сульфинила, сульфонамино, сульфонила, тио, тиоациламино, тиоуреидо или уреидо. Двойная(ые) связь(и) ненасыщенной углеводородной цепи могут иметь либо цис, либо транс конфигурацию. Примеры алкенильных групп включают без ограничения этиленил или фенилэтиленил. Термин алкенил подразделяется на «незамещенный алкенил», который определяют как алкенильную группу, которая не имеет заместителей.

Термин «алкокси» обозначает кислородный радикал, замещенный алкильной, циклоалкильной или гетероциклильной группой. Примеры включают без ограничения метокси, трет-бутокси, бензилокси и циклогексилокси.

Термин «алкил» определяют как линейный или разветвленный радикал, имеющий от одного до приблизительно двадцати атомов углерода, если не указано иначе. Термин «низший алкил» определяют как алкильную группу, содержащую 1-4 атомов углерода. Один или несколько атомов водорода могут быть заменены на заместители, выбранные из ацила, ациламино, ацилокси, алкенила, алкокси, алкила, алкинила, амино, арила, арилокси, карбамоила, карбоалкокси, карбокси, карбоксиамидо, карбоксиамино, циано, дизамещенного амино, формила, гуанидино, галогена, гетероарила, гетероциклила, гидрокси, иминоамино, монозамещенного амино, нитро, оксо, фосфонамино, сульфинила, сульфонамино, сульфонила, тио, тиоациламино, тиоуреидо или уреидо. Примеры алкильных групп включают без ограничения метил, бутил, трет-бутил, изопропил, трифторметил, нонил, ундецил, октил, додецил, метоксиметил, 2-(2'-аминофенацил), 3-индолилметил, бензил и карбоксиметил. Термин алкил подразделяется на (1) «незамещенный алкил», который определяют как алкильную группу, которая не имеет заместителей, (2) «замещенный алкил», которым обозначают алкильный радикал, в котором один или несколько атомов водорода заменены на заместитель, выбранный из ацила, ациламино, ацилокси, алкенила, алкокси, алкила, алкинила, амино, арила, арилокси, карбамоила, карбоалкокси, карбокси, карбоксиамидо, карбоксиамино, циано, дизамещенного амино, формила, гуанидино, галогена, гетероарила, гетероциклила, гидрокси, иминоамино, монозамещенного амино, нитро, оксо, фосфонамино, сульфинила, сульфонамино, сульфонила, тио, тиоациламино, тиоуреидо или уреидо, и (3) «выбранный замещенный алкил», которым обозначают алкильный радикал, в котором (a) один протон заменен на группу, выбранную из гидрокси, карбокси, C1-C8 алкокси или (b) от одного до трех протонов заменены галогеном.

Термин "алкилиденил" определяется как карбоновый радикал формулы

где Rx и Rx1 независимо выбраны из гидридо или C7-C17 незамещенного алкила, где суммарное количество атомов углерода от Rx и Rx1 не превышает 17.

Термин «алкинил» обозначает линейные или разветвленные радикалы, содержащие от двух до приблизительно десяти атомов углерода и содержащие, по меньшей мере, одну углерод-углеродную тройную связь. Один или несколько атомов водорода могут быть также заменены на заместителя, выбранный из ацила, ациламино, ацилокси, алкенила, алкокси, алкила, алкинила, амино, арила, арилокси, карбамоила, карбоалкокси, карбокси, карбоксиамидо, карбоксиамино, циано, дизамещенного амино, формила, гуанидино, галогена, гетероарила, гетероциклила, гидрокси, иминоамино, монозамещенного амино, нитро, оксо, фосфонамино, сульфинила, сульфонамино, сульфонила, тио, тиоациламино, тиоуреидо или уреидо. Пример алкинильной группы включает без ограничения пропинил.

Термин "амино" определяется как NH2 радикал.

Термин "аминокислотный остаток" обозначает соединение формулы

где Raa представляет собой боковую цепь аминокислоты.

Термин "боковая цепь аминокислоты" обозначает любую боковую цепь (R группу) существующей в природе или синтетической аминокислоты. Например, 3-индолилметил можно было бы также назвать боковой цепью триптофана.

Термин "2-(2'-аминофенацил)" относится к радикалу формулы

Термин "аминозащитная группа" относится к любому химическому соединению, которое может быть использовано для того, чтобы предотвратить химическую реакцию аминогруппы молекулы, при том, что в другом участке молекулы происходит химическое изменение. Специалистам в данной области техники известны многочисленные аминозащитные группы, и примеры можно найти в "Protective Groups in Organic Synthesis" by Theodora W. Greene, John Wiley and Sons, New York, 1981. Примеры аминозащитных групп включают фталимидо, трихлорацетил, STA-основание, бензилоксикарбонил, трет-бутоксикарбонил, трет-амилоксикарбонил, изоборнилоксикарбонил, адамантилоксикарбонил, хлорбензилоксикарбонил, нитробензилоксикарбонил и тому подобное. Предпочтительными аминозащитными группами являются "карбаматные аминозащитные группы", которые определяются как аминозащитные группы, которые при связывании с аминогруппой образуют карбамат. Предпочтительными аминокарбаматными защитными группами являются аллилоксикарбонильная (alloc), карбобензилокси (CBZ) и трет-бутоксикарбонильная защитные группы.

Термин "арил" или "арильное кольцо" обозначает ароматический радикал в одинарной или конденсированной карбоциклической кольцевой системе, содержащий от пяти до четырнадцати кольцевых членов. В предпочтительном осуществлении кольцевая система содержит от шести до десяти членов кольца. Один или несколько атомов водорода могут также быть заменены на заместитель, выбранный из ацила, ациламино, ацилокси, алкенила, алкокси, алкила, алкинила, амино, арила, арилокси, азидо, карбамоила, карбоалкокси, карбокси, карбоксиамидо, карбоксиамино, циано, дизамещенного амино, формила, гуанидино, галогена, гетероарила, гетероциклила, гидрокси, иминоамино, монозамещенного амино, нитро, оксо, фосфонамино, сульфинила, сульфонамино, сульфонила, тио, тиоациламино, тиоуреидо или уреидо. Примеры арильных групп включают без ограничения фенил, нафтил, бифенил, терфенил.

Термин "арилокси" обозначает содержащие окси-содержащие радикалы, замещенные арильной или гетероарильной группой. Примеры включают без ограничения фенокси.

Термин "карбамоил" обозначает азотный радикал формулы

где Rx2 выбран из гидридо, алкила, арила, циклоалкила, гетероарила или гетероциклила, а Rx3 выбран из алкила, арила, циклоалкила, гетероарила или гетероциклила.

Термин "карбоалкокси" определяется как карбонильный радикал, присоединенный к алкокси или арилоксигруппе.

Термин "карбокси" обозначает радикал COOH.

Термин "карбоксиамино" обозначает радикал CONH2.

Термин "карбоксиамидо" обозначает карбонильный радикал, присоединенный к монозамещенной или дизамещенной аминогруппе.

Термин "α-карбоксиаминокислотная боковая цепь" обозначает углеродный радикал формулы

где Rx4 определяется как боковая цепь аминокислоты.

Термин "карбоксиметил" обозначает радикал CH2CO2H.

Термин "циклоалкил" или "циклоалкильное кольцо" обозначает насыщенное или частично ненасыщенное карбоциклическое кольцо в одинарной или конденсированной карбоциклической кольцевой системе, содержащей от трех до двенадцати кольцевых членов. В предпочтительном осуществлении циклоалкил представляет собой кольцевую систему, содержащую от трех до семи членов в кольце. Один или несколько атомов водорода могут также быть заменены на заместитель, выбранный из ацила, ациламино, ацилокси, алкенила, алкокси, алкила, алкинила, амино, арила, арилокси, карбамоила, карбоалкокси, карбокси, карбоксиамидо, карбоксиамино, циано, дизамещенного амино, формила, гуанидино, галогена, гетероарила, гетероциклила, гидрокси, иминоамино, монозамещенного амино, нитро, оксо, фосфонамино, сульфинила, сульфонамино, сульфонила, тио, тиоациламино, тиоуреидо или уреидо. Примеры циклоалкильной группы включают без ограничения циклопропил, циклобутил, циклогексил и циклогептил.

Термин "дизамещенный амино" обозначает аминорадикал, содержащий две замещающие группы, независимо выбранные из алкила, циклоалкила, гетероциклила, арила или гетероарила. Предпочтительными дизамещенными аминорадикалами являются "низшие дизамещенные амино" радикалы, где замещающие группы являются низшими алкилами. Также предпочтительными дизамещенными аминорадикалами являются аминорадикалы, в которых один заместитель является низшей алкильной группой, а другой заместитель является боковой цепью α-карбоксиаминокислоты.

Группа "Fmoc" представляет собой 9-флуоренилметоксикарбонильную группу.

Термин "гуанидино" обозначает азотный радикал формулы

где каждый из Rx5, Rx7 и Rx8 независимо выбраны из гидридо, алкильной, арильной, циклоалкильной, гетероарильной или гетероциклильной группы; и Rx6 выбран из алкильной, арильной, циклоалкильной, гетероарильной или гетероциклильной группы. Термин "галоген" относится к радикалу брома, хлора, фтора или йода.

"Гетероарил" или "гетероарильное кольцо" обозначает ароматический радикал, который содержит от одного до четырех гетероатомов или гетерогрупп, выбранных из O, N, S или SO, в одинарной или конденсированной гетероциклической кольцевой системе, содержащей от пяти до пятнадцати кольцевых членов. В предпочтительном осуществлении гетероарильная кольцевая система содержит от шести до десяти кольцевых членов. Один или несколько атомов водорода могут также быть заменены на заместитель, выбранный из ацила, ациламино, ацилокси, алкенила, алкокси, алкила, алкинила, амино, арила, арилокси, карбамоила, карбоалкокси, карбокси, карбоксиамидо, карбоксиамино, циано, дизамещенного амино, формила, гуанидино, галогена, гетероарила, гетероциклила, гидрокси, иминоамино, монозамещенного амино, нитро, оксо, фосфонамино, сульфинила, сульфонамино, сульфонила, тио, тиоациламино, тиоуреидо или уреидо. Примеры гетероарильных групп включают без ограничения пиридинильную, тиазолильную, тиадиазолильную, изохинолинильную, пиразолильную, оксазолильную, оксадиазоильную, триазолильную и пирролильную группы.

Термин "гетероциклильный", "гетероциклический" или "гетероциклильное кольцо" обозначает насыщенное или частично ненасыщенное кольцо, содержащее от одного до четырех гетероатомов или гетерогрупп, выбранных из O, N, NH, N(низший алкил), S, SO или SO2 в одинарной или конденсированной гетероциклической кольцевой системе, содержащей от трех до двенадцати кольцевых членов. В предпочтительном осуществлении гетероциклил представляет собой кольцевую систему, содержащую от трех до семи кольцевых членов. Один или несколько атомов водорода могут также быть заменены на заместитель, выбранный из ацила, ациламино, ацилокси, алкенила, алкокси, алкила, алкинила, амино, арила, арилокси, карбамоила, карбоалкокси, карбокси, карбоксиамидо, карбоксиамино, циано, дизамещенного амино, формила, гуанидино, галогена, гетероарила, гетероциклила, гидрокси, иминоамино, монозамещенного амино, нитро, оксо, фосфонамино, сульфинила, сульфонамино, сульфонила, тио, тиоациламино, тиоуреидо или уреидо. Примеры гетероциклической группы включают без ограничения морфолинил, пиперидинил и пирролидинил.

Термин "гидридо" обозначает одиночный атом водорода (H).

Термин "иминоамино" обозначает азотный радикал формулы:

где Rx9 и Rx11 независимо выбраны из гидридо, алкильной, циклоалкильной, арильной, гетероарильной или гетероциклильной группы; и Rx10 выбран из алкильной, циклоалкильной, арильной, гетероарильной или гетероциклильной группы.

Термин "модифицирующий агент" определяется как (a) нуклеофильный акцептор или (b) альдегид или кетон, который взаимодействует с амином в условиях восстановления с образованием алкилированного амина.

Термин "монозамещенный амино" обозначает аминорадикал, содержащий гидридогруппу и замещающую группу, выбранную из алкила, циклоалкила, гетероциклила, арила или гетероарила. Предпочтительными монозамещенными аминорадикалами являются "низшие монозамещенные амино" радикалы, где замещающая группа представляет собой низшую алкильную группу. Более предпочтительными монозамещенными аминорадикалами являются аминорадикалы, содержащие боковую цепь α-карбоксиаминокислоты.

Термин "нуклеофильный акцептор" обозначает соединение, которое подвержено нуклеофильной атаке первичного или вторичного амина. Примеры нуклеофильных акцепторов включают без ограничения изоцианаты, изотиоцианаты, активированные сложные эфиры, хлорангидриды кислоты, сульфонилхлориды, активированные сульфонамиды, активированные гетероциклы, активированные гетероарилы, хлорформиаты, цианоформиаты, тиоэфиры, фосфорилхлориды, фосфорамидаты, имидаты и лактоны.

Термин "фосфонамино" обозначает азотный радикал формулы:

где Rx12 выбран из гидридо, алкила, арила, циклоалкила, гетероарила или гетероциклила; где каждый из Rx13 и Rx14 независимо выбран из алкила, алкокси, арила, арилокси, циклоалкила, гетероарила и гетероциклила.

Термин "сульфинил" обозначает четырехвалентный радикал серы, замещенный заместителем оксо и вторым заместителем, выбранным из группы, включающей алкильную, циклоалкильную, гетероциклильную, арильную или гетероарильную группы.

Термин сульфонамино обозначает аминорадикал формулы:

где Rx15 выбран из гидридо, алкильной, циклоалкильной, арильной, гетероарильной или гетероциклильной группы; а Rx16 выбран из алкильной, циклоалкильной, арильной, гетероарильной или гетероциклильной группы.

Термин "сульфонил" обозначает радикал шестивалентной серы, замещенный двумя заместителями оксо, а третий заместитель выбран из алкила, циклоалкила, гетероциклила, арила или гетероарила.

Термин "тио" обозначает радикал, содержащий замещающую группу, независимо выбранную из гидридо, алкила, циклоалкила, гетероциклила, арила и гетероарила, присоединенную к двухвалентному атому серы, такой как метилтио и фенилтио.

Термин "тиоациламино" обозначает аминорадикал формулы

где Rx17 выбран из гидридо, алкильной, арильной, циклоалкильной, гетероарильной или гетероциклильной группы; и где Rx18 выбран из алкильной, арильной, циклоалкильной, гетероарильной или гетероциклильной группы.

Термин "тиоуреидо" обозначает радикал серы формулы:

где каждый из Rx19 и Rx20 независимо выбран из гидридо, алкильной, арильной, циклоалкильной, гетероарильной или гетероциклильной группы; а Rx21 выбран из алкильной, арильной, циклоалкильной, гетероарильной или гетероциклильной группы.

Тритильная группа представляет собой трифенилметильную группу.

Термин "уреидо" обозначает азотный радикал формулы

где каждый из Rx21 и Rx22 независимо выбран из гидридо, алкильной, арильной, циклоалкильной, гетероарильной или гетероциклильной группы; а Rx23 выбран из алкильной, арильной, циклоалкильной, гетероарильной или гетероциклильной группы.

Соли соединений по изобретению включают аддитивные соли кислот и аддитивные соли оснований. В предпочтительном осуществлении соль является фармацевтически приемлемой солью соединения формулы I. Термин "фармацевтически приемлемые соли" охватывает соли и используется для обозначения солей щелочных металлов и обозначения аддитивных солей свободных кислот или свободных оснований. Природа соли не является ограничивающим фактором в том случае, если она является фармацевтически приемлемой. Подходящие фармацевтически приемлемые аддитивные соли кислот соединений по изобретению могут быть получены из неорганической кислоты или органической кислоты. Примеры таких неорганических кислот включают без ограничения хлористоводородную, бромистоводородную, йодистоводородную, азотную, карбоновую, серную и фосфорную кислоты. Подходящие органические кислоты могут быть выбраны из классов алифатических, циклоалифатических, ароматических, арилалифатических, гетероциклических, карбоксильных и сульфоновых органических кислот, примеры которых включают без ограничения муравьиную, уксусную, пропионовую, янтарную, гликолевую, глюконовую, малеиновую, эмбоновую (памоевую) кислоты, метансульфокислоту, этансульфокислоту, 2-гидроксиэтансульфокислоту, пантотеновую кислоту, бензолсульфокислоту, толуолсульфокислоту, сульфаниловую, мезиловую кислоты, циклогексиламиносульфокислоту, стеариновую, альгиновую, β-гидроксимасляную, малоновую, галактоновую и галактуроновую кислоты. Подходящие фармацевтически приемлемые аддитивные соли оснований соединений по изобретению включают, но не ограничиваются этим, соли металлов, производные алюминия, кальция, лития, магния, калия, натрия и цинка, или органические соли, производные N,N'-дибензилэтилендиамина, хлорпрокаина, холина, диэтаноламина, этилендиамина, N-метилглюкамина, лизина и прокаина. Все данные соли могут быть получены с помощью обычных способов из соответствующего соединения по изобретению путем обработки, например, соединения по изобретению подходящей кислотой или основанием. Соединения по изобретению могут содержать один или несколько асимметричных атомов углерода и, таким образом, могут существовать в виде оптических изомеров, а также в виде их рацемических или нерацемических смесей. Соединения по изобретению могут применяться в настоящем изобретении в виде одного изомера или в виде смеси стереохимических изомерных форм. Диастереоизомеры, т.е. не накладываемые стереохимические изомеры, могут быть разделены обычными способами, такими как хроматография, перегонка, кристаллизация или сублимация. Оптические изомеры могут быть получены путем разделения рацемических смесей обычными способами, например, путем образования диастереоизомерных солей при обработке оптически активной кислотой или основанием. Примеры подходящих кислот включают без ограничения винную, диацетилвинную, дибензоилвинную, дитолуилвинную и камфорсульфокислоту. Смесь диастереомеров может быть разделена с помощью кристаллизации с последующим отделением оптически активных оснований от оптически активных солей. Альтернативный способ разделения оптических изомеров включает применение хиральной хроматографической колонки, оптимально выбранной для максимального разделения энантиомеров. Еще один способ включает синтез ковалентных диастереоизомерных молекул путем взаимодействия соединений по изобретению с оптически чистой кислотой в активной форме или оптически чистым изоцианатом. Синтезированные диастереоизомеры могут быть разделены традиционными способами, такими как хроматография, перегонка, кристаллизация или сублимация, и затем гидролизованы с получением энантиомерно чистого соединения. Оптически активные соединения по изобретению могут также быть получены с применением оптически активных исходных материалов. Данные изомеры могут находиться в виде свободной кислоты, свободного основания, сложного эфира или соли.

Изобретение также относится к выделенным соединениям. Выделенное соединение относится к соединению, которое представляет, по меньшей мере, 10%, предпочтительно, по меньшей мере, 20%, более предпочтительно, по меньшей мере, 50% и наиболее предпочтительно, по меньшей мере, 80% соединения, присутствующего в смеси. В предпочтительном осуществлении соединение, его фармацевтически приемлемая соль или фармацевтическая композиция, включающая соединение, проявляют определяемую (т.е. статистически значимую) антимикробную активность при исследовании с помощью обычных биологических методов, таких как описанные здесь.

Депсипептидные соединения

В одном аспекте изобретение относится к соединению формулы I

и его солям;

где (a) R представляет собой 2-бутил, изопропил или 2-(2'-аминофенацил);

(b) каждый из R1 и R6 независимо представляет собой гидридо или метил;

(c) R2 представляет собой метил или -CH2CH2CH2R8;

(d) R3 представляет собой метил или -CH2CH2CH2CH2R9;

(e) R4 представляет собой гидридо или метокси;

(f) R5 представляет собой гидрокси или карбоксиамино;

(g) каждый из R7, R8 и R9 независимо представляет собой амино, монозамещенный амино, дизамещенный амино, ациламино, уреидо, гуанидино, карбамоил, сульфонамино, тиоациламино, тиоуреидо, иминоамино или фосфонамино;

(h) при условии, что,

(1) когда R2 представляет собой -CH2CH2CH2R8, R7 является отличным от

где R10 представляет собой амино, монозамещенный амино, дизамещенный амино, ациламино, уреидо, гуанидино, карбамоил, сульфонамино, тиоациламино, тиоуреидо, иминоамино и фосфонамино;

(2) когда R2 представляет собой метил, R7 является отличным от

где каждый из R11 и R12 представляет собой гидридо, C6-C18 незамещенный алканоил, C8-C18 незамещенный алкеноил, C8-C18 незамещенный алкил или C8-C18 выбранный замещенный алкил; или альтернативно R11 и R12 вместе представляют собой C8-C18 алкилиденил.

Предпочтительно, R7 представляет собой

где каждый из Raa, Raa2 и Raa3 независимо представляет собой боковую цепь аминокислоты и где R13 представляет собой амино, монозамещенный амино, дизамещенный амино, ациламино, уреидо, гуанидино, карбамоил, сульфонамино, тиоациламино, тиоуреидо, иминоамино или фосфонамино.

В одном осуществлении изобретения R представляет собой 2-(2'-аминофенацил); каждый из R1 и R4 представляет собой гидридо; R2 представляет собой -CH2CH2CH2R8; каждый из R3 и R6 представляет собой метил; а R5 представляет собой гидроксил. В данном осуществлении предлагается соединение формулы II.

В другом осуществлении изобретения R представляет собой изопропил или 2-бутил; каждый из R1 и R2 представляет собой метил; R3 представляет собой - CH2CH2CH2CH2R9; каждый из R4 представляет собой метокси, а R5 представляет собой карбоксиамино. В данном осуществлении предлагается соединение формулы III.

где R14 представляет собой гидридо или метил.

В таблице I представлены типичные соединения формулы II.

Таблица I

Соединения формулы II

где R7** представляет собой амино, монозамещенный амино, дизамещенный амино, ациламино, уреидо, гуанидино, карбамоил, сульфонамино, тиоациламино, тиоуреидо, иминоамино или фосфонамино и каждый из Raa4, Raa5 и Raa6 независимо представляет собой боковую цепь аминокислоты.

В таблице II представлены типичные соединения формулы III.

Таблица II

Соединения формулы III

где R7** представляет собой амино, монозамещенный амино, дизамещенный амино, ациламино, уреидо, гуанидино, карбамоил, сульфонамино, тиоациламино, тиоуреидо, иминоамино или фосфонамино и каждый из Raa4, Raa5 и Raa6 независимо представляет собой боковую цепь аминокислоты.

Промежуточные продукты

В настоящем изобретении также предлагаются соединения формулы IV, которые особенно пригодны в качестве промежуточных продуктов для получения соединений формулы I.

и их соли;

где

(a) R представляет собой 2-бутил, изопропил или 2-(2'-аминофенацил);

(b) каждый из R1 и R6 независимо представляет собой гидридо или метил;

(c) R4 представляет собой гидридо или метокси;

(d) R5 представляет собой гидрокси или карбоксиамино;

(e) R15 представляет собой гидридо,

где R18 представляет собой амино или гидрокси; R19 представляет собой гидридо или гидрокси; а R20 представляет собой карбоксиамино или карбоксиметил

(f) R16 представляет собой метил или -CH2CH2CH2R21;

(g) R17 представляет собой метил или -CH2CH2CH2CH2R22;

где каждый из R21 и R22 независимо представляет собой амино, монозамещенный амино, дизамещенный амино, ациламино, уреидо, гуанидино, карбамоил, сульфонамино, тиоациламино, тиоуреидо, иминоамино или фосфонамино.

В предпочтительном осуществлении изобретения каждый из R21 и R22 представляет собой -NHR23, где R23 представляет собой аминозащитную группу. В более предпочтительном осуществлении изобретения R23 представляет собой карбаматную аминозащитную группу, выбранную из аллилоксикарбонила, карбобензилоксикарбонила и трет-бутоксикарбонила. В наиболее предпочтительном осуществлении R23 представляет собой аллилоксикабонил.

В более предпочтительном осуществлении в настоящем изобретении предложены промежуточные продукты формул V, VI, VII, VIII, IX и X, которые особенно пригодны в качестве промежуточных продуктов для получения соединений формулы I.

где R6 и R14 представляют собой определенное ранее.

где R6 и R14 представляют собой определенное ранее.

где R6 и R14 представляют собой определенное ранее.

Фармацевтические композиции и способы их применения

В настоящем изобретении предложены фармацевтические композиции или составы, включающие соединения формулы I или их соли.

Соединения по настоящему изобретению, предпочтительно, соединения формулы I, или их фармацевтически приемлемые соли могут быть включены в состав для перорального, внутривенного, внутримышечного, подкожного или парентерального введения для терапевтического или профилактического лечения заболеваний, в частности, бактериальных инфекций. Для перорального или парентерального введения соединения по настоящему изобретению могут быть смешаны с обычно используемыми фармацевтическими носителями и наполнителями и могут применяться в виде таблеток, капсул, эликсиров, суспензий, сиропов, облаток и тому подобного. Композиции, включающие соединение данного изобретения, должны содержать от приблизительно 0,1 до приблизительно 99% по массе активного соединения, и более обычно от приблизительно 10 до приблизительно 30%.

Описанные здесь фармацевтические препараты получают в соответствии со стандартными процедурами и их вводят в дозах, которые выбраны для снижения, предотвращения или уничтожения инфекции (смотри, например, Remington's Pharmaceutical Sciences, Mack Publishing Company, Easton, PA and Goodman and Gliman's The Pharmaceutical Basis of Therapeutics, Pergamon Press, New York, NY, содержание которых включено здесь в качестве ссылки для общего описания спо