PatentDB.ru — поиск по патентным документам

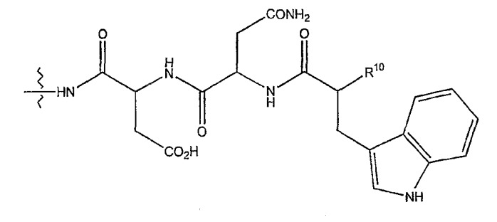
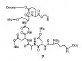
Иллюстрации к патенту 2348647

Новые депсипептиды и способы их получения

Новые депсипептиды и способы их получения (патент 2348647)