Способ определения эффективности рабочего органа системы управления и защиты ядерного реактора

Иллюстрации

Показать все

Изобретение относится к способам контроля ядерных реакторов разного класса и назначения и может найти применение для определения их физических характеристик как на критических сборках и исследовательских стендах, так и на энергоблоках атомных станций. Перемещением рабочего органа системы регулирования и защиты ядерного реактора реактор переводят из состояния, близкого к критическому, в подкритическое состояние. Эту операцию производят дважды, причем одно перемещение выполняют со скоростью движения стержней V1, а другое - со скоростью V2(V1≠V2). По сигналам детектора, используемого для контроля потока нейтронов в реакторе, зарегистрированным на интервале движения рабочего органа в каждом из перемещений, и значениям реактивности, полученным решением обращенного уравнения кинетики, вычисляют коэффициент неравномерности распределения потока нейтронов в области активной зоны, формирующей сигнал детектора; вычисляют поправку к реактивности, устраняющую методическую погрешность определения эффективности рабочего органа, обусловленную пространственным эффектом реактивности. Технический результат - повышение точности определения эффективности рабочего органа. 2 з.п. ф-лы.

Реферат

Изобретение относится к области физики ядерных реакторов, а точнее к способам контроля ядерных реакторов разного класса и назначения и может найти применение для определения их физических характеристик как на критических сборках и исследовательских стендах, так и на энергоблоках атомных станций.

Известен способ определения эффективности групп рабочих органов (РО), принятый в качестве аналога изобретения (ГОСТ РВ 50306-92. Реакторы ядерные транспортные. Методы измерений нейтронно-физических параметров активных зон водо-водяных реакторов). Способ заключается в том, что РО, эффективность которого определяют, устанавливают в положение, при котором реактор имеет малую по величине положительную реактивность ρ0, изменяют положение этого органа при неизменном положении других рабочих органов, переводя реактор в подкритическое состояние с реактивностью ρк. Состояние реактора контролируют, измеряя сигнал детектора, используемого для контроля потока нейтронов в реакторе. Реактивность вычисляют по сигналу детектора путем решения обращенного уравнения кинетики, используя для этого вычислитель реактивности - реактиметр. Эффективность РО определяют как разность ρ0к.

Существенным недостатком способа является методическая погрешность, называемая пространственным эффектом реактивности, проявляющаяся в зависимости результата измерения от взаимного расположения детектора и рабочих органов, а также от времени после перемещения РО и скорости, с которой он перемещался. Физической причиной пространственного эффекта считают изменение пространственно-энергетического распределения нейтронов в объеме активной зоны как во время, так и после прекращения движения стержня.

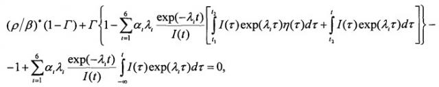
Известен способ определения эффективности РО (Казанский Ю.А., Матвеенко И.П., Тютюнников П.Л., Шокодько А.Г. К учету пространственных эффектов при измерении реактивности методом обращенного решения уравнения кинетики. - Атомная энергия, 1981, т.51, вып.6, с.387-389), принятый в качестве прототипа, позволяющий уменьшить методическую погрешность определения эффективности, обусловленную пространственным эффектом. В соответствии с прототипом РО устанавливают в положение, при котором реактор находится в критическом состоянии или имеет малую положительную реактивность, изменяют положение этого РО, переводя реактор в подкритическое состояние, измеряют сигнал детектора нейтронов, вычисляют реактивность по сигналу детектора. В отличие от способа-аналога, в способе-прототипе для конкретного расположения детектора и органов регулирования путем нейтронно-физических расчетов устанавливают вид характеристики, называемой эффективностью детектора. Реактивность реактора от момента t1 начала движения РО до момента t2, окончания движения и после остановки РО t≥t2 вычисляют в соответствии с соотношением

где (ρ/β)*=(ρ/β)2 - реактивность на интервале t≥t2; (ρ/β)*=(ρ/β)(t) - реактивность на интервале t1≤t≤t2;

β - доля запаздывающих нейтронов;

Г - постоянная;

i - индекс группы запаздывающих нейтронов;

αi, λi, - общепринятые обозначения параметров запаздывающих нейтронов;

I(τ) - сигнал детектора;

η(t) - характеристика эффективности детектора.

На интервале t≥t2 это соотношение представляет регрессионную модель с параметрами A1=(ρ/β)*(1-Г) и A2=Г, величины которых находят методом наименьших квадратов. Эффективность РО определяют по соотношению A1/(1-A2).

Эффективность РО, определенная в соответствии с прототипом, строго говоря, не является чисто экспериментальным результатом, так как для ее определения используются результаты нейтронно-физических расчетов.

Способ-прототип может быть эффективен только в частном случае, когда после перемещения РО пространственно-энергетическое распределение нейтронов в объеме активной зоны изменяется незначительно, что возможно при изменении реактивности, обусловленном перемещением РО, не превышающем, как правило, 1β…2β.

Техническим результатом предлагаемого изобретения является повышение точности определения эффективности рабочих органов за счет устранения методической погрешности измерений, обусловленной изменением пространственно-энергетического распределения нейтронов в активной зоне.

Указанный технический результат достигается тем, что в известном способе определения эффективности РО системы управления и защиты ядерного реактора, включающем установку РО в исходное положение H1, обеспечивающее критическое состояние реактора, изменение мощности реактора путем перемещения этого РО из положения H1 в положение H2, обеспечивающее подкритическое состояние реактора, измерение сигнала детектора, используемого для контроля потока нейтронов в реакторе, вычисление реактивности путем решения уравнений кинетики по измеренному сигналу детектора, согласно изобретению: стержень перемещают дважды из положения H1 в положение H2, причем скорость V1 движения РО в первом перемещении не равна скорости V2 движения РО во втором перемещении, измеряют положение рабочего органа h во время движения, измеряют сигнал детектора I(h) во время движения как функцию положения РО, при одном и том же положении h определяют разницу Δρ(h) реактивностей ρ1(h) в первом и ρ2(h) во втором перемещениях, вычисленных решением обращенного уравнения кинетики по сигналам детектора I1(h) и I2(h) соответственно, по Δρ(h), I1(h), I2(h) вычисляют k(h) коэффициент неравномерности распределения плотности потока нейтронов в области активной зоны, формирующей сигнал детектора, вычисляют поправку δ(h) к реактивности и определяют эффективность стержня как абсолютную величину суммы ρ(H2)+δ(H2).

Показания реактиметра, вычисляющего реактивность по сигналу детектора путем решения обращенного уравнения кинетики, в первом эксперименте (параметры эксперимента отметим подстрочным индексом «1») при движении РО со скоростью V1 отличаются от показаний во втором эксперименте (параметры эксперимента отметим подстрочным индексом «2») при движении со скоростью V2. Показания реактиметра могут быть представлены как функция времени t или как функция положения стержня h. Так как реактивность реактора при одном и том же положении стержня в двух разных экспериментах одинакова, различие показаний реактиметра - проявление пространственного эффекта.

Влияние пространственного эффект реактивности на результат определения эффективности РО можно устранить (Виногоров Н.А. Пространственный эффект как следствие несоответствия сигнала детектора усредненной плотности потока нейтронов. - Атомная энергия, 2013, т.114, вып.1, с.8-12) введя поправку δ(t) к показаниям реактиметра, вычисляемую по формуле

где t - время;

Λ - время генерации;

β - доля запаздывающих нейтронов;

k(t) - коэффициент неравномерности распределения плотности потока нейтронов в области активной зоны, формирующей сигнал детектора, нормированный на k(0);

i - индекс группы запаздывающих нейтронов;

αi, λi, - общепринятые обозначения параметров запаздывающих нейтронов;

I(τ) - нормированный на I(0) сигнал детектора,

либо вычисляя реактивность решением обращенного уравнения кинетики по сигналу детектора, деленному на коэффициент неравномерности распределения плотности потока нейтронов I(t)/k(t).

Разница показаний реактиметра в двух перемещениях РО при одном и том же его положении h и, следовательно, одинаковой реактивности равна разнице величин поправок δ(h) в двух рассматриваемых экспериментах Δ ρ ( h ) = ρ 2 ( h ) − ρ 1 ( h ) = δ ( h ) V = V 2 − δ ( h ) V = V 1

Во время перемещения РО k(t) определяется положением РО. При движении РО со скоростью V1 или V2 одинаковому положению РО h соответствует одно и то же значение k(h). Следовательно, сделав в (1) замену переменой t=h/V и обозначив 1/k(h)=Φ(h), Δρ/(h) можно представить в виде:

где φim(h)=ехр(-λih/Vm)/Im(h), m=1, 2;

ψim(h)=Im(h)exp(λih/Vm)/Vm, m=1, 2;

Δφi(h)=φi2i1;

Соотношение (2) является уравнением относительно Ф(h). Решение (2) может быть найдено в виде ряда по степеням h: Φ ( h ) = ∑ r = 0 l A r h r при A0=1. В этом случае (2) принимает вид

и представляет регрессионную модель с параметрами Ar, которые оцениваются, например, методом наименьших квадратов по дискретному ряду показаний реактиметра ρ1,2(hj) и сигналам детектора I1,2(hj), т.е. по экспериментальным данным. При установленной зависимости k(h), используя формулу (1), вычисляют поправка δ(H2) к показаниям реактиметра в момент нахождения РО в положении H2 и определяют эффективность стержня как абсолютную величину суммы ρ(H2)+δ(H2).

Сопоставление заявляемого решения с прототипом показывает:

- в заявляемом способе необходимо проводить измерения дважды, перемещая РО с разной скоростью, что обеспечивает возможность определения коэффициента неравномерности распределения плотности потока нейтронов, не проводя нейтронно-физических расчетов, тогда как в прототипе определяют эффективность детектора (параметр, имеющий тот же физический смысл, что и коэффициент неравномерности распределения) нейтронно-физическим расчетом, дополнительно постулируя постоянство этого параметра после перемещения РО;

- в заявляемом способе нет ограничения по определяемой величине эффективности РО, тогда как способ-прототип применим при условии, что изменение реактивности, обусловленное перемещением РО, не превышает 1β…2β.

Таким образом, заявляемый способ имеет существенные отличия от прототипа, которые в совокупности позволяют устранить методические погрешности измерений, обусловленные пространственным эффектом реактивности, независимо от величины эффективности РО, и за счет этого повысить точность определения эффективности рабочих органов системы управления и защиты ядерного реактора.

Способ осуществляют следующим образом.

РО, эффективность которого измеряют, устанавливают в положение H1, при котором обеспечивается стационарное критическое состояние реактора.

Изменяют мощность реактора, перемещая РО, эффективность которого измеряют, первый раз со скоростью V1 в положение H2, обеспечивающее подкритическое состояние реактора.

Измеряют положение РО h и сигнал детектора, используемого для контроля потока нейтронов в реакторе, I1(h) во время первого перемещения РО.

Вычисляют реактивность реактора ρ1(h) во время первого перемещения РО, решая обращенное уравнение кинетики, по измеренному сигналу I1(h).

Повторно устанавливают РО в положение H1.

Повторяют перемещение РО из положения H1 в положение H2, причем при повторном перемещении обеспечивают скорость движения стержня V2, не равную скорости V1.

Измеряют положение стержня h и сигнал детектора, используемого для контроля потока нейтронов в реакторе, I2(h) во время второго перемещения РО.

Вычисляют реактивность реактора ρ2(h) во время второго перемещения РО, решая обращенное уравнение кинетики, по измеренному сигналу I2(h).

Определяют разницу Δρ(h) реактивности реактора, вычисленной по результатам измерений в первом и втором перемещениях РО при одном и том же положении РО h: Δρ(h)=ρ2(h)-ρ1(h).

Вычисляют коэффициент k(h) неравномерности распределения плотности потока нейтронов в области активной зоны, формирующей сигнал детектора, решая уравнение(2).

Вычисляют поправку δ(H2) к показаниям реактиметра, используя соотношения (1), и определяют искомую эффективность РО при его положении H2 как абсолютную величину суммы ρ(H2)+δ(H2).

При известной величине коэффициента k(h) эффективность РО может быть определена также без вычисления поправки δ(h). С этой целью способ осуществляют описанным выше образом, с той разницей, что после определения k(h) вычисляют реактивность ρ ^ 1 ( h ) или ρ ^ 2 ( h ) решением обращенного уравнения кинетики по сигналам детектора, деленным на k(h), I1(h)/k(h) или I2(h)/k(h) соответственно, и определяют искомую эффективность РО при его положении H2 как абсолютное значение ρ ^ 1 ( H 2 ) или ρ ^ 2 ( H 2 ) .

Условие критичности реактора при положении рабочего органа H1 не является строгим. Если реактивность ρ0≠0, эффективность рабочего органа вычисляют как |ρ(H2)+δ(H2)-ρ0|. Способ может использоваться как для измерения эффективности одиночного РО, так и группы РО при их одновременном перемещении. Для более точного определения коэффициента неравномерности k(h) РО можно перемещать более двух раз, с разными скоростями движения в каждом перемещении.

Предлагаемый способ может быть реализован с использованием штатной аппаратуры контроля и управления ядерного реактора.

1. Способ определения эффективности рабочего органа системы регулирования и защиты ядерного реактора, включающий установку рабочего органа в исходное положение H1, обеспечивающее критическое состояние реактора, изменение мощности реактора путем перемещения этого органа из положения H1 в положение H2, обеспечивающее подкритическое состояние реактора, измерение сигнала детектора, используемого для контроля потока нейтронов в реакторе, вычисление реактивности по измеренному сигналу детектора путем решения уравнений кинетики, отличающийся тем, что рабочий орган перемещают дважды из одного и того же положения H1 в положение H2, причем скорость V1 движения рабочего органа в первом перемещении не равна скорости V2 его движения во втором перемещении, измеряют положение h рабочего органа в первом и втором перемещениях, измеряют сигналы детектора I1(h) и I2(h) во время первого и второго перемещений рабочего органа как функцию положения h, при одном и том же положении h определяют разницу Δρ(h) реактивности ρ(h), вычисленной решением обращенного уравнения кинетики в первом и втором перемещениях по сигналам детектора I1(h) и I2(h) соответственно, по Δρ(h), I1(h), I2(h) вычисляют k(h) - коэффициент неравномерности распределения плотности потока нейтронов в области активной зоны, формирующей сигнал детектора, вычисляют поправку δ(h) к показаниям реактиметра, вычисляют эффективность рабочего органа в положении H2 как абсолютную величину суммы ρ(H2)+δ(H2), при этом δ(h) вычисляют по формуле δ ( h ) = − Λ β V k ( h ) d k d h + ∑ i = 1 6 α i e − λ i h V I ( h ) { [ 1 − k ( h ) ] − λ i [ k ( h ) ∫ 0 h I ( h ′ ) e λ i h ′ V k ( h ′ ) d h ′ V − ∫ 0 h I ( h ′ ) e λ i h ′ V d h ′ V ] } где δ - поправка к показаниям реактиметра;h - положение рабочего органа;Λ, β, αi, λi, - известные характеристики реактора;i - индекс группы запаздывающих нейтронов;V - скорость движения рабочего органа;I(h) - сигнал детектора;k(h) - коэффициент неравномерности распределения плотности потока нейтронов.

2. Способ по п.1, отличающийся тем, что определяют эффективность группы из нескольких одновременно перемещаемых рабочих органов системы регулирования и защиты ядерного реактора.

3. Способ по п.1 или 2, отличающийся тем, что из положения H1 в положение H2 рабочий орган перемещают более двух раз, причем скорости движения рабочего органа в каждом из перемещений разные.