PatentDB.ru — поиск по патентным документам

Иллюстрации к патенту 2543501

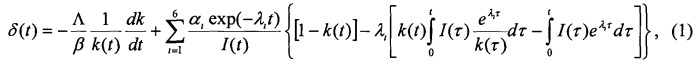
Способ определения эффективности рабочего органа системы управления и защиты ядерного реактора

Способ определения эффективности рабочего органа системы управления и защиты ядерного реактора (патент 2543501)