Иллюстрации к патенту
2278863
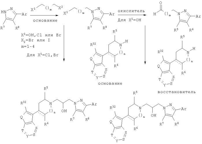
Замещенные пиразолы, фармацевтическая композиция и способ ингибирования активности катепсина s