PatentDB.ru — поиск по патентным документам

Иллюстрации к патенту 2297415

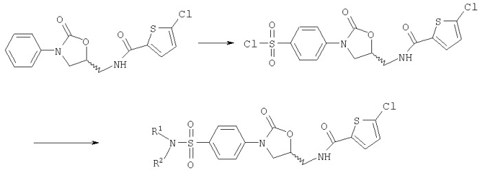
Замещенные оксазолидиноны, способы их получения, лекарственное средство на их основе и применение замещенных оксазолидинонов

Замещенные оксазолидиноны, способы их получения, лекарственное средство на их основе и применение замещенных оксазолидинонов (патент 2297415)