PatentDB.ru — поиск по патентным документам

Иллюстрации к патенту 2533120

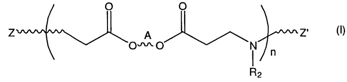
Соединения бета-аминоэфира и применение таких соединений

Соединения бета-аминоэфира и применение таких соединений (патент 2533120)