PatentDB.ru — поиск по патентным документам

Иллюстрации к патенту 2535046

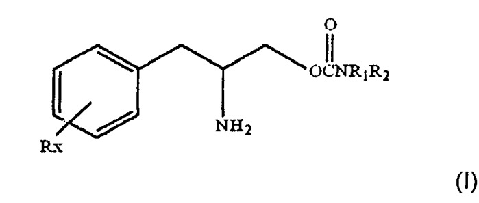
Композиции для лечения злоупотребления веществами, вызывающими болезненное пристрастие, и улучшения поведения, связанного со злоупотреблениями

Композиции для лечения злоупотребления веществами, вызывающими болезненное пристрастие, и улучшения поведения, связанного со злоупотреблениями (патент 2535046)