PatentDB.ru — поиск по патентным документам

федеральное государственное бюджетное образовательное учреждение высшего образования "Санкт-Петербургская государственная химико-фармацевтическая академия" Министерства здравоохранения Российской Федерации (ФГБОУ ВО СПХФА Минздрава России) (RU)

федеральное государственное бюджетное образовательное учреждение высшего образования "Санкт-Петербургская государственная химико-фармацевтическая академия" Министерства здравоохранения Российской Федерации (ФГБОУ ВО СПХФА Минздрава России) (RU) является правообладателем следующих патентов:

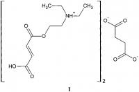
Бис{2-[(2e)-4-гидрокси-4-оксобут-2-еноилокси]-n,n-диэтилэтанаминия} бутандиоат и способ его получения

Бис{2-[(2e)-4-гидрокси-4-оксобут-2-еноилокси]-n,n-диэтилэтанаминия} бутандиоат и способ его получения

Изобретение относится к области органической и медицинской химии, конкретно к бис{2-[(2E)-4-гидрокси-4-оксобут-2-еноилокси]-N,N-диэтилэтанаминия} бутандиоату формулы I, который может найти применение в качестве нейропротекторного средства. Изобретение относится также к способу получения соединения формулы I. 2 н. и 1 з.п. ф-лы, 2 табл., 3 пр.

2600315

Способ получения водорастворимого лиофилизата 4-(3-оксо-3-этоксипропаноил)амино)бензойной кислоты, обладающей антиишемической и антиоксидантной активностью

Способ получения водорастворимого лиофилизата 4-(3-оксо-3-этоксипропаноил)амино)бензойной кислоты, обладающей антиишемической и антиоксидантной активностью

Изобретение относится к химико-фармацевтической промышленности и представляет собой способ получения водорастворимого лиофилизата, включающий получение совместного раствора активной субстанции и соединения, содержащего гидроксильные и амино-группы (аминоспирт), отличающийся тем, что активная субстанция представляет собой 4-((3-оксо-3-этоксипропаноил)амино)бензойную кислоту (ЭПАБК), обладающую а...

2602665

Замещённые 2-(1,3-бензотиазол-2-ил)-3-фенил-1н-1,2,4-триазол-5-ил) пропановые кислоты и способ их получения

Замещённые 2-(1,3-бензотиазол-2-ил)-3-фенил-1н-1,2,4-триазол-5-ил) пропановые кислоты и способ их получения

Изобретение относится к новым замещенным 2-(1-(1,3-бензотиазол-2-ил)-3-фенил-1Н-1,2,4-триазол-5-ил) пропановым кислотам общей формулы I , а также к способу их получения. Технический результат: получены новые замещенные 2-(1-(1,3-бензотиазол-2-ил)-3-фенил-1Н-1,2,4-триазол-5-ил) пропановые кислоты, которые могут быть использованы в качестве противомикробных средств. 2 н. и 1 з.п. ф-лы, 3 табл...

2603958

Способ получения 2,5-дизамещенных 6-гидроксипиримидин-4(3н)-онов

Способ получения 2,5-дизамещенных 6-гидроксипиримидин-4(3н)-онов

Изобретение относится к способу получения 2,5-дизамещенных 6-гидроксипиримидин-4(3H)-онов формулы I , где R1=Me, R2=H (2-метил-6-гидроксипиримидин-4(3H)-он); R1=Me, R2=Et (6-гидрокси-2-метил-5-этилпиримидин-4(3H)-он); R1=Me, R2=Bu (5-бутил-6-гидрокси-2-метилпиримидин-4(3H)-он); R1=Me, R2=Bz (5-бензил-6-гидрокси-2-метилпиримидин-4(3H)-он); R1=Me, R2=Ph (6-гидрокси-2-метил-5-фенилпиримидин...

2604060

Анальгезирующее и противовоспалительное средство на основе 5-бутил-6-гидрокси-2-метилпиримидин-4(3h)-она

Анальгезирующее и противовоспалительное средство на основе 5-бутил-6-гидрокси-2-метилпиримидин-4(3h)-она

Изобретение относится к медицине и фармации и представляет собой анальгезирующее и противовоспалительное средство, включающее 5-бутил-6-гидрокси-2-метилпиримидин-4(3H)-она в качестве активного вещества. Средство является малотоксичным, проявляет значительно большую противовоспалительную и анальгезирующую активность, чем препараты сравнения, широко применяемые в медицине. 4 пр.

2605265


Хлорид 4-[(1е)-1-(6-хлор-4-оксо-4н-хромен-3-ил)-4-метилпент-1-ен-3-ил]морфолин-4-ия, способ его получения и противотуберкулезная активность

Хлорид 4-[(1е)-1-(6-хлор-4-оксо-4н-хромен-3-ил)-4-метилпент-1-ен-3-ил]морфолин-4-ия, способ его получения и противотуберкулезная активность

Изобретение относится к области органической химии, а именно к хлориду 4-[(1E)-1-(6-хлор-4-оксо-4H-хромен-3-ил)-4-метилпент-1-ен-3-ил]морфолин-4-ия формулы I и способу его получения. Технический результат: получено новое гетероциклическое соединение, которое может быть использовано в качестве потенциального противотуберкулезного средства. 2 н. и 1 з.п. ф-лы, 5 ил., 2 табл., 2 пр.

2613633

Способ получения n-(4-метил-3-хлорфенил)-2-ацетокси-3,5-дихлорбензамида

Способ получения n-(4-метил-3-хлорфенил)-2-ацетокси-3,5-дихлорбензамида

Изобретение относится к органической химии, а именно к способу получения N-(4-метил-3-хлорфенил)-2-ацетокси-3,5-дихлорбензамида, обладающего антигельминтной активностью. Способ получения N-(4-метил-3-хлорфенил)-2-ацетокси-3,5-дихлорбензамида осуществляют в среде толуола ацетилированием 3,5-дихлорсалициловой кислоты с образованием 2-ацетокси-3,5-дихлорбензойной кислоты. Затем получают ее хлорангидр...

2615760

Способ получения 4,4'-(пропандиамидо)дибензоата натрия

Способ получения 4,4'-(пропандиамидо)дибензоата натрия

Изобретение относится к области органической и медицинской химии, а именно к способу получения 4,4'-(пропандиамидо)дибензоата натрия формулы I, который может быть использован в медицине в качестве потенциального антиатеросклеротического, антиалкогольного, антиоксидантного и гипотензивного средства. Способ заключается во взаимодействии п-аминобензойной кислоты с карбонатом натрия в мольном соотноше...

2624729

Фармацевтическая композиция с противогрибковой активностью и способ ее получения

Фармацевтическая композиция с противогрибковой активностью и способ ее получения

Изобретения относятся к химико-фармацевтической промышленности и представляют собой фармацевтическую композицию с противогрибковой активностью в виде таблеток или капсул и способ ее получения. Композиция содержит хлорид 2-[(1Z)-1-(3,5-дифенил-1,3,4-тиадиазол-2(3Н)-илиден)метил]-3,5-дифенил-1,3,4-тиадиазол-3-ия (ТДЗ) в количестве от 15 до 50 мас. %, полиэтиленоксид, в количестве от 15 до 50 мас. %...

2624857