ИНДЕНА С.П.А. (IT)
ИНДЕНА С.П.А. (IT) является правообладателем следующих патентов:
 
              Производные таксана, способы их получения и фармацевтическая композиция
Изобретение относится к новому производному таксана формулы I: которое обладает сильным противоопухолевым действием. Изобретение также относится к промежуточным продуктам, способу его получения соединения формулы I, способу получения 1,14-β-гидрокси-1,14-карбонат-баккатин III производных, в положении 3 замещенных изосериновым остатком, и фармацевтической композиции на основе соединений фо...
2245882 
              Фосфолипидные комплексы проантоцианидина а2 в качестве антиатеросклеротических агентов
Предложено: фосфолипидные комплексы проантоцианидина А2 и фармацевтические композиции на их основе в качестве антиатеросклеротических агентов, агентов для профилактики и лечения инфаркта миокарда и головного мозга. Фосфолипиды комплекса предпочтительно выбирают из лецитинов, фосфатидилхолина, фосфатидилэтаноламина, фосфатидилсерина. Изобретение обеспечивает средство для лечения перечисленных забол...
2248798 
              Способ получения производных стероидных гликозидов ruscus aculeatus методом ферментативного гидролиза
Изобретение относится к способу получения производных стероидных гликозидов Ruscus aculeatus (рускосапонинов). Способ получения десглюкодесрамнорусцина включает ферментативный гидролиз стероидных гликозидов Ruscus aculeatus (рускосапонинов) с помощью неочищенных гидролаз из Aspergillus niger. Способ позволяет получить десглюкодесрамнорусцин с высокой степенью эффективности. 5 з.п. ф-лы.
2249042 
              Способ получения производных стероидных гликозидов ruscus aculeatus
Изобретение относится к способу получения производных стероидных гликозидов Ruscus aculeatus (рускосапонинов). Способ получения десглюкодесрамнорусцина включает гидролиз стероидных гликозидов Ruscus aculeatus (рускосапонинов) в результате ферментации субстрата, содержащего указанные гликозиды, с помощью гриба вида Aspergillus niger. Способ позволяет получить десглюкодесрамнорусцин с высокой степен...
2249043 
              Производные флавонов, ксантонов и кумаринов и фармацевтическая композиция на их основе
Изобретение относится к новым производным флавонов, ксантонов и кумаринов формулы 1:или их фармацевтически приемлемым солям либо сольватам, гдеR и R1 одинаковы или различны и каждый из них представляет собой низший C1-C6 алкил или же R и R1 в сочетании с атомом азота, к которому они присоединены, образуют гетероциклическую группу, состоящую из 4-8 членов, которая может содержать один или несколько...
2252221 
              Халконы и фармацевтическая композиция на их основе
Изобретение относится к новым соединениям халконамформулы (I)или их фармацевтически приемлемым солям либо сольватам, где:Ar представляет собой замещенную или незамещенную карбоциклическую группу, содержащую в циклической структуре от 5 до 10 атомов углерода, или 5- или 6-членную гетероциклическую группу, содержащую в циклической структуре атом серы, причем заместители при группе Ar выбраны независ...
2252938 
              Производные n-деацетилтиоколхицина и содержащие их фармацевтические композиции
Настоящее изобретение относится к производным N-деацетилтиоколхицина формулы Iгде n представляет целое число от 0 до 8; Y представляет СН2 группу или, если n равно 1, может также быть группой NH, которые обладают антипролиферативной активностью. Описаны также фармацевтические композиции на основе соединений формулы I. 2 н. и 2 з.п. ф-лы, 1 табл.
2257379 
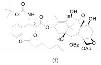
              Полусинтетические таксаны и фармацевтические композиции на их основе
Настоящее изобретение относится к новым полусинтетическим таксанам формулы 1: (1), где R и R1, которые могут быть одинаковыми или различными, представляют собой водород, C1-C18 ацильную группу, бензоильную группу; R2 и R3 представляет собой водород или вместе R2 и R3 образует карбонатный или тиокарбонатный остаток; R4 представляет собой бензоильную группу, необязательно замещенную в мета-поло...
2259363 
              Конденсированные производные тиоколхицина и баккатина в качестве противоопухолевых агентов
Настоящее изобретение относится к производным N-деацетил-тиоколхицина и 10-деацетилбаккатина III формулы (I)где R и n имеют значения, определенные в описании, которые являются ценными противоопухолевыми лекарственными средствами. Изобретение также относится к фармацевтической композиции, обладающей антипролиферативной активностью, на основе соединений формулы 1. Технический результат - получение н...
2264393 
              Способ получения производных баккатина iii
Изобретение относится к новому способу получения 14β-гидрокси-1,4-карбонат-дезацетилбаккатина III и промежуточных продуктов, используемых при получении новых производных таксана, обладающих противоопухолевой активностью. Способ включает следующие стадии: a) защиту гидроксилов в положениях 7 и 10 10-дезацетилбаккатина III, где R и R1 выбраны из водорода, C1-C10 алкила или арила, C1-C10 алки...
2264394 
              Халконовые кумарины
Изобретение относится к соединениям формулы (I) или их фармацевтически приемлемым солям или сольватам, где Ar представляет собой замещенную или незамещенную (предпочтительно ароматическую) карбоциклическую или гетероциклическую группу, причем упомянутая карбоциклическая или гетероциклическая группа содержит в циклической структуре 5 или 6 атомов, причем гетероатом выбран из группы состоящей из N...
2266291 
              Пероральные композиции для лечения расстройств волосистой части кожи головы
Изобретение относится к фармацевтической промышленности и используется для лечения и профилактики алопеции, перхоти, себореи. Применение экстрактов Serenoa repens и Vitis vinifera для приготовления пероральных композиций для лечения и профилактики алопеции, перхоти, себореи. Пероральные композиции из экстрактов Serenoa repens и Vitis vinifera способствуют эффективному лечению и профилактике алопец...
2274470 
              Способ получения производных таксана
Изобретение относится к способу получения производных таксана, а именно 13-(N-Вос-β-изобутилизосеринил)-14β-гидроксибаккатин III 1,14-карбоната формулы (I) из 10-деацетилбаккатина III в девять стадий. Технический результат - эффективный способ получения ценного биологически активного соединения из более доступного исходного соединения. 10 з.п. ф-лы, 2 табл.
2275365 
              Способ получения паклитаксела
Изобретение относится к новому способу получения паклитаксела, где в качестве исходного используют 10-деацетилбаккатин 111, у которого на первой стадии проводят защиту гидроксилов в положении 7 и 10 одновременно. Способ является многостадийным. Изобретение также относится к новому промежуточному соединению, используемому в этом способе, формулы где R=R1= трихлорацетил, или R'= ацетил, a R выбран...
2276147 
              Способ хроматографического разделения паклитаксела и цефаломаннина
Изобретение относится к способу отделения паклитаксела от цефаломаннина, предусматривающему получение исходного материала, содержащего паклитаксел и цефаломаннин, растворение исходного материала в растворителе, имеющем следующую формулу:где R1 означает водород или метил и R2 означает алкильную или арилалкильную группу, содержащую от четырех до семи атомов углерода, с образованием смеси, подвергани...
2276669 
              Фармацевтические и косметические композиции для защиты кожи от повреждений, вызванных солнечными излучениями
Изобретение относиться к фармацевтическим и косметическим композициям для защиты кожи от повреждений, вызванных солнечными излучениями, содержащим, по меньшей мере, два из следующих ингредиентов растительного происхождения: a) фосфолипидные комплексы флаванолигнанов, экстрагированные из Silybum marianum; b) фосфолипидные комплексы стандартизированного экстракта Vitis vinifera; c) фосфолипидные ком...
2284191 
              Способ получения 14бета-гидроксибаккатин iii-1,14-карбоната
Изобретение относится к новому способу получения 14β-гидроксибаккатина III-1,14-карбоната, который включает: а. обработку 7-Вос-13-кетобаккатина III формулыподходящими основаниями и окислителями с получением 7-Вос-13-кето-14-гидроксибаккатина III:b. карбонизацию 1 и 14 гидроксигрупп с получением 14b-гидрокси-7-Вос-13-кетобаккатин III-1,14-карбоната:с. восстановление кетона в 13-положении и...
2285000 
              С-2'-метилированные производные паклитаксела для применения в качестве противоопухолевых агентов
Изобретение относится к новым С-21-метилированным производным паклитаксела формулы (I),в которых: где R представляет трифторметил, фенил, 2-фурил, 2-тиенил;R1 представляет трет-бутоксикарбонил или бензоил; R2 представляет гидрокси; R3 является водородом или вместе с R2 образует остаток циклического карбоната формулы при условии, что, когда R3 является водородом, R не является фенилом, а также фар...
2287528 
              Фармацевтические и косметические композиции против старения кожи
Изобретение относится к фармацевтическим и косметическим композициям для защиты кожи от преждевременного старения, содержащим фосфолипидные комплексы экстрактов Vitis vinifera и фосфолипидные комплексы стандартизованного экстракта из Centella asiatica. Технический результат: обеспечение защиты кожи от преждевременного старения при помощи инструмента, способного противодействовать действию протеаз...
2290921 
              Фармацевтические и/или косметические композиции для лечения локализованных ожирений и целлюлита
Настоящее изобретение относится к фармацевтическим и/или косметическим композициям для лечения локализованных ожирений и целлюлита, содержащим комбинацию нижеследующих действующих начал: а) комплекса эсцин/бета-ситостерина с фосфолипидами, b) комплекса димерных флавоноидов Gingko biloba с фосфолипидами, с) комплекса тритерпенов Centella asiatica с фосфолипидами, и, необязательно, одного или обоих...
2291683 
              Способ получения 14бета-гидроксибаккатин iii-1,14-карбоната
Изобретение относится к способу получения 14β-гидроксибаккатин III-1,14-карбоната, применимого для получения новых таксановых производных, обладающих противоопухолевой активностью. Способ включает: а. обработку 7-триэтилсилил-13-кетобаккатина III формулыподходящими основаниями и окислителями с получением 7-триэтилсилил-13-кето-14-гидроксибаккатина III:b. карбонизацию 1 и 14 гидроксильных г...
2291866 
              Способ экстрагирования, очистки и ферментативной модификации альфа субъединицы 7s-глобулина сои для использования в качестве гипохолестеринемического агента
Изобретение относится к способу экстрагирования, очистки и ферментативной модификации α' - субъединицы β-конглицина. Способ экстрагирования, очистки и ферментативной модификации α' - субъединицы β-конглицинина характеризуется тем, что β-конглицинин извлекают методом селективного экстрагирования из молотой обезжиренной сои с последующим осаждением путем обраб...
2300898 
              Полусинтетический способ получения n-дебензоилпаклитаксела
Изобретение относится к способу получения N-дебензоилпаклитаксела (I) посредством реакции этерификации 7-защищенного баккатина III с реакционноспособными производными карбоновой кислоты общей формулы (II) и одностадийного удаления защитных эфирных групп в кислых условиях. В формуле (II) R1 является арилом или гетероарилом. Соединение формулы (I) может быть пригодно для получения паклитаксела и его...
2302415 
              Способ получения томатных экстрактов с высоким содержанием ликопена
Изобретение относится к способу получения томатных экстрактов с высоким содержанием ликопена. Томаты предварительно обрабатывают, концентрируют под действием тепла и экстрагируют насыщенным водой этилацетатом, далее осуществляют обратную промывку экстракта водой и концентрируют досуха при пониженном давлении. Способ по изобретению дает хорошие значения выхода, даже при использовании томатов с низк...
2304886 
              Полисахарид из корней echinacea angustifolia, способ его получения, фармацевтическая композиция
Изобретением является полисахарид из корней Echinacea angustifolia, имеющий молекулярную массу 1,3×105 Да и состоящий из рамнозы, арабинозы, галактозы и галактуроновой кислоты в соотношении 0,5:2,5:1,75:10,25, причем он имеет остов с чередующимися прямыми и разветвленными участками, причем прямые участки состоят из частично ацетилированных и метилированных остатков галактуроновой кислоты,...
2308460 
              Лекарственные формы, полезные для лечения мужской и женской импотенции
Изобретение относится к фармацевтической промышленности и используется для лечения мужской и женской импотенции. Фармацевтическая композиция для лечения мужской и женской импотенции, содержащая экстракты Tribulus terrestris, Turnera diffusa и Cinnamon cassia, взятые в определенном весовом соотношении, экстракт Ginkgo biloba, где экстракт Ginkgo biloba представлен фракцией апигениновых димерных фла...
2313357 
              Препаративные формы, полезные при лечении мужской и женской импотенции
Изобретение относится к фармацевтической промышленности и используется для лечения мужских и женских сексуальных дисфункций. Фармацевтическая композиция для лечения мужских и женских сексуальных дисфункций, включающая экстракт Tribulus terrestris, Epimedium koreanum и Cinnamon cassia, взятые в определенном весовом соотношении, и необязательно аргинин или физиологически эквивалентный эфир, его соль...
2313358 
              Экстракты echinacea angustifolia
Изобретение относится к фармацевтической промышленности и используется при лечении патологических состояний, при которых желательно укрепление иммунной системы. Экстракт корневищ Echinacea angustifolia для лечения патологических состояний, при которых желательно укреплять иммунную систему, характеризующийся определенным содержанием алкиламидов, эхинакозида, полисахарида, при этом полисахарид имеет...
2317095 
              Производные гиперфорина, их применение и содержащие их составы
Описываются производные гиперфорина и адгиперфорина формулы (I), в которых R представляет метил или этил, R2 представляет водород, катион лития или дициклогексиламмония, прямой или разветвленный C2-C5-ацильный остаток, в которых альтернативно: a) R1 представляет собой 3-метилбут-1-ил, и оксогруппы находятся в 1- и 10-положениях; b) R1 представляет собой 3-метил-2-бутен-1-ил, и гидроксигруппы наход...
2320636 
              Производные таксана, функционализированные по 14-положению, и способ их получения
Изобретение относится к новым производным таксана, функционализированным по 14-положению формулы III:где Х представляет собой -N3, -NH2, -NH-R3, =CH-R8 или -О-R3, когда R6 является отличным от фенила, R2 представляет собой водород или ацил; R3 представляет собой C1-С4 алкоксикарбонил или, взятый вместе с R4, образует карбонильную, тиокарбонильную, SO, SO2 группу; R4 представляет собой водород или...
2320652 
              Способ получения ферутинина из растений рода ferula
Изобретение относится к фармацевтической промышленности, в частности к способу получения ферутинина и его применению. Способ получения ферутинина, включающий экстракцию даукановых эфиров из Ferula spp, основной гидролиз даукановых эфиров с получением ешкенадиола, этерификацию ешкенадиола п-пивалоилоксибензойной кислотой с получением п-пивалоилферутинина, далее гидролиз п-пивалоилферутинина в ферут...
2342153 
              Аналоги колхикозида
Настоящее изобретение относится к производным колхицина общей формулы (I), где X представляет собой кислород или серу, в частности - к 3-О-β-D-ксилопиранозил-3-О-деметилтиоколхицину и 3-О-β-L-ксилопиранозил-3-О-деметилтиоколхицину. Также изобретение относится к фармацевтической композиции на основе соединений общей формулы (I) для лечения воспалительных состояний, которые воздейств...
2343157 
              Биотрансформация колхициноидных соединений
Изобретение относится к биотрансформации органических соединений, в частности получению 3-O-гликозилколхициноидных соединений. Способ осуществляют с использованием Bacillus megaterium. 3-O-Гликозилколхициноидные соединения формулы I получают из соединений-предшественников, где R1 представляет собой ОН или метокси, проводя дробную подпитку культуральной среды в сочетании с источником углерода и азо...
2346050 
              Составы для лечения артритных состояний
Изобретение относится к составам, содержащим комбинации болеутоляющих, противовоспалительных, иммуномодулирующих и реконструирующих хрящ агентов, в частности содержащим салигенин, босвеловую кислоту, процианидины, N-ацетил-глюкозамин и глюкуроновую кислоту или глюкуронолактон, для лечения ревматоидного артрита и, в более общем смысле, артритных состояний. Предложенные составы показывают преимущест...
2349336 
              Р185neu-кодирующая днк и ее терапевтические применения
Изобретение относится к биотехнологии и представляет собой вектор переноса ДНК, который содержит последовательность, кодирующую p185neu -фрагмент. Данный вектор входит в состав фармацевтической композиции для использования в профилактическом или терапевтическом лечении пациентов с риском развития р185neu-положительных опухолей или пациентов, имеющих первичные опухоли, метастазы или рецидивы p185ne...
2350652 
              Пероральные композиции для лечения целлюлита
Изобретение относится к пероральным фармацевтическим и косметическим композициям для лечения целлюлита и/или венозной недостаточности нижних конечностей, содержащим экстракты Vitis vinifera, тритерпены Centella asiatica и димерные флавоноиды Ginkgo biloba в свободной форме или в комплексе с фосфолипидами. Композиция позволяет значительно уменьшить отложение подкожного жира и «апельсиновой корки...
2355389 
              Комбинации вазоактивных веществ и их применение в лечении сексуальных дисфункций
Изобретение относится к химико-фармацевтической промышленности, а именно к созданию композиции вазоактивных веществ, которые могут быть использованы при лечении сексуальных дисфункций, связанных с недостаточным местным кровоснабжением и/или недостаточной любрикацией. Композиция для местного применения для лечения сексуальных дисфункций содержит эскулозид, очищенный экстракт Coleus forskolii, эти...
2356568 
              Комбинация вазоактивных агентов, их применение в фармацевтической и косметической отраслях и содержащие их композиции
Изобретение относится к композициям вазоактивных агентов, которые действуют на венозном или артериальном уровнях для лечения панникулопатии и проблем, связанных с венозной недостаточностью нижних конечностей, включающие, в частности: виснадин, эскулозид, экстракт Centella asiatica в свободной форме или комплексованный с фосфолипидами 2 н. и 2 з.п. ф-лы.
2358726 
              Диетическая композиция, содержащая вазопротекторные агенты
Изобретение относится к диетической композиции, содержащей вазопротекторные агенты и используемой для профилактики сосудистых нарушений, вызванных избытком липидов плазмы. Диетическая композиция включает один или несколько поликозанолов или их сложных эфиров в чистом виде или в виде экстрактов, токотриенол и/или ликопен, один или несколько олигомеров процианидола необязательно в виде комплекса с...
2361430 
              Композиция для лечения атопических дерматитов, аллергических состояний кожи и угрей
Изобретение относится к химико-фармацевтической промышленности, а именно к созданию композиции для лечения атопических дерматитов, аллергических состояний кожи и угрей. Композиция содержит а) терпены Ginkgo biloba; b) флороглюцинолы в чистом виде или их смесь, экстрагированные из Humulus lupulus, из видов Hypericum и видов Mirtus; с) липофильный экстракт из Zanthoxylum bungeanum или Echinacea an...
2361601 
              Применение комплексов гинкго для усиления когнитивных функций и снижения умственного утомления
Изобретение относится к применению экстракта гинкго в комплексе с фосфатидилсерином для получения лекарственного средства для улучшающего воздействия на когнитивную функцию и умственное утомление или нетерапевтическому применению диетической добавки для усиления когнитивной функции. Данный комплекс способствует улучшению быстродействия памяти и качества памяти, повышению точности и внимания в де...
2368385 
              Композиции для лечения поражений полости рта и верхних дыхательных путей
Изобретение относится к композициям для лечения поражений полости рта и верхних дыхательных путей, содержащим антоцианозиды, полученные из экстракта Vaccinium myrtillus, и/или процианидины, полученные из экстракта, выбранного из Vitis vinifera или Camellia sinensis, и флороглюцинолы, полученные из экстракта, выбранного из видов Hypericum, видов Mirtus или Humulus lupulus, и применении комбинации...
2369401 
              Производные n-деацетилтиоколхицина, их применение и содержащие их фармацевтические составы
Настоящее изобретение относится к производным N-деацетилтиоколхицина формулы (I) и фармацевтическим композициям на их основе, которые могут быть применены в качестве противоопухолевых средств: где линкер представляет собой циклоалкил, фенилен или гетероциклическое кольцо; обе соединяющие группы G представляют собой -СО- или -CONH-. Технический результат - получение новых биологически акти...
2370486 
              Полусинтетический способ получения десерпидина
Изобретение относится к улучшенному высокоселективному способу получения десерпидина (Ia) деметилированием 11-метоксигруппы лактона 11-О-метилрезерпиновой кислоты с последующими стадиями восстановления, гидролиза и этерификации полученного метилдесерпидата 3,4,5-триметоксибензойной кислотой. Выход составляет 40%. 3 н. и 3 з.п. ф-лы.
2372351 
              Способы получения паклитаксела из растений рода taxus
Изобретение относится к новым способам получения паклитаксела из растений, содержащих паклитаксел. Сначала получают растительный материал из растений, содержащих паклитаксел. Затем паклитаксел экстрагируют из растительного материала. Впоследствии паклитаксел выделяют из экстракта паклитаксела с использованием ряда стадий колоночной хроматографии для получения по меньшей мере одной фракции, содер...
2373198 
              Агонисты trpv1, содержащие их препараты и их применение
Настоящее изобретение относится к новым соединениям общей формулы (I), композиции, а также к применению данных соединений для получения лекарственных средств для лечения патологий, опосредованных рецепторами типа I ваниллоида (TRPV1). В общей формуле (I) X представляет собой два атома водорода, π-связь, атом кислорода или метилен; R2 представляет собой фенил, бензил и фенетил; R3 представ...
2379282 
              Полусинтетический способ получения 10-деацетил-n-дебензоилпаклитаксела
Изобретение относится к способу получения 10-деацетил-N-дебензоил-паклитаксела (I) включающему следующие стадии: а) взаимодействие 2-(2,4-диметоксифенил)-3-(2-нитробензолсульфенил)-4(S)-фенил-5(R)-оксазолидинкарбоновой кислоты (V) с 10-деацетил-бис-7,10-трихлорацетилбаккатином III (VI) для получения 10-деацетил-7,10-бис-трихлорацетилбаккатин(III)-13-илового эфира 2-(2,4-диметоксифенил)-3...
2384578 
              Способ получения гидробромида галантамина
Изобретение относится к способу получения гидробромида галантамина, включающему в себя способ очистки галантамина (I) осаждением гидробромида галантамина из смеси алкалоидов, полученной из растения семейства Amaryllidaceae, содержащей галантамин, с последующей обработкой гидробромида щелочью, экстракцией и кристаллизацией галантамина растворителем общей формулы (II) в которой R1 представляе...
2387656 
              Композиции, содержащие экстракты sanguinaria или macleaya
Изобретение относится к фармацевтической промышленности, в частности к композиции для профилактики и лечения бактериальных инфекций полости рта. Композиция для профилактики и лечения бактериальных инфекций полости рта, содержащая антоцианозиды, экстрагированные из Vaccinium myrtillus или процианидины, экстрагированные из Vitis vinifera, сангвинарины и хелеретрины, экстрагированные из Sanguinaria...
2391113 
              Тоник для волос
Изобретение относится к области косметологии, более конкретно к композиции для укрепления волос, содержащей в качестве активного ингредиента актеозид формулы (I): Изобретение обеспечивает композицию, обладающую эффектом усиления роста волос и пригодную для предотвращения облысения. 2 н. и 6 з.п. ф-лы, 3 табл.
2396940 
              Экстракт salix, его использование и композиции, его содержащие
Изобретение относится к фармацевтике. Проводят: а) экстракцию ветвей и коры Salix spp 1-3 атомным спиртом или ацетоном, или смесями этих растворителей, или водных растворов этих растворителей, или только водой (общий экстракт); b) удаление не растворимых в воде (или плохо растворимых) танинов; с) удаление водорастворимых танинов; d) очистку на колонке с адсорбционной смолой для увеличения содержа...
2399379 
              Экстракты из виноградных косточек, получаемые фракционированием на смоле
Изобретение относится к фармацевтике. Для получения экстракта из косточек Vitis vinifera проводят: a) получение экстракта из виноградных косточек с использованием C1-С3-спирта, или смесей, или его водных растворов при содержании воды не более чем 90% (об./об.); b) удаление нерастворимых в воде танинов охлаждением экстракта со стадии а) и фильтрацией и центрифугированием нерастворимых веществ; c)...
2400246 
              Способ очистки 10-деацетилбаккатина iii от 10-деацетил-2-дебензоил-2-пентеноилбаккатина iii
Изобретение относится к способу получения 10-деацетилбаккатина III, чистотой более 99%, не содержащего 10-деацетил-2-дебензоил-2-пентеноилбаккатин III. Предложенный способ включает: а) обработку неочищенного 10-деацетилбаккатина III активированным производным трихлоруксусной кислоты; b) проведение хроматографии на силикагеле и элюирование 7,10-бис-трихлорацетил-10-деацетилбаккатина III дихлормета...
2409571 
              Экстракты phaseolus vulgaris, их применение и композиции, содержащие их
Изобретение относится к фармацевтической и пищевой промышленности, в частности к средству, подавляющему аппетит. Экстракт, подавляющий аппетит, полученный экстрагированием из Phaseolus sp. смесями этанола и воды, с определенным содержанием ингибитора α-амилазы и фитогемагглютининов. Способ получения экстракта. Применение экстрактов. Фармацевтическая или диетическая композиция, подавляющая аппетит...
2426552 
              Фосфолипидные комплексы из экстрактов листьев или плодов маслины, обладающие улучшенной биодоступностью
Изобретение относится к фармацевтической промышленности, в частности к комплексам, обладающим повышенной биодоступностью. Комплексы экстракта листьев или плодов маслины с фосфолипидами, обладающие повышенной биодоступностью, с определенным отношением количества фосфолипида к экстракту листьев или плодов маслины. Способ получения комплексов. Фармацевтические композиции для повышения биодоступности...
2432169 
              Способ получения производного таксана
Изобретение относится к улучшенному способу синтеза 13-(N-Boc-β-изобутилсеринил)-14β-гидроксибаккатин III-1,14-карбоната (I), в котором карбонилирование 1,14-гидроксигрупп остова баккатина проводят бис(трихлорметилкарбонатом) и 7-гидроксигруппа защищена трихлороацетильной группой. Изобретение также относится к новым промежуточным соединениям формулы VII и VIII: и Цель изобретения упрощения...
2434014 
              Способы лечения и предупреждения мукозита производными антоцианидина
Изобретение относится к фармацевтической промышленности, в частности к комбинации для изготовления лекарственного средства для лечения мукозита. Применение комбинации: по крайней мере, одного антоцианозида или проантоцианидина либо экстракта, содержащего, по крайней мере, один из антоцианозидов или проантоцианидинов; противовоспалительного средства, иммуномодулирующего средства или анальгетика, с...
2438693 
              Лекарственные формы, полезные для лечения мужской и женской импотенции
Изобретение относится к лекарственным формам, которые могут применяться для лечения мужской и женской половой дисфункции. Фармацевтическая композиция содержит экстракты Tribulus terrestris, Turnera diffusa и Cinnamon cassia в весовом соотношении 1,5-3,5:1-2:0,1-0,4 соответственно; экстракт Gingko biloba и необязательно аргинин или его физиологически эквивалентные сложные эфиры, соли или предшеств...
2440127 
              Производные камптотецина с противоопухолевой активностью
Описываются новые производные камптотецина-4,5-дигидротриазол [5,4-с]16а-дезоксокамптотецин и триазол[5,4-с]16а-дезоксокамптотецин, обладающие противоопухолевой активностью, фармацевтическая композиция, их содержащая, и применение их в качестве противоопухолевых лекарственных средств. 3 н. и 2 з.п. ф-лы, 2 табл.
2441009 
              Стабильные и биодоступные композиции изомеров ликопена для кожи и волос
Изобретение относится к способу получения стабильной композиции, обогащенной цис-ликопеном (Z-изомеры). Способ проводят путем продолжительного нагревания в растворителе материала, содержащего ликопен, где температура нагревания составляет от 50 до 150°С, а время нагревания составляет от 4 до 240 часов. Изобретение позволяет получить продукт с высокой биодоступностью и стабильной изомерной компози...
2441398 
              Композиция для лечения хронических дегенеративных воспалительных заболеваний
Изобретение относится к фармацевтической промышленности, в частности к композиции для лечения ревматоидных артритов. Композиция для лечения ревматоидных артритов, содержащая салигенин или экстракты Salix ssp, андрографолид или андрографолид-обогащенный экстракт Andrographis paniculata, N-ацетил-глюкозамин и глюкуронолактон или глюкуроновую кислоту. Применение комбинации салигенина или экстрактов...
2445114 
              Производные камптотецина с противоопухолевой активностью
Изобретение относится к новым производным 5-замещенного камптотецина формулы I, где R представляет собой F, R1 представляет собой водород; R2 представляет собой водород; и R3 представляет собой водород; его фармацевтически приемлемым солям, диастереомерам и соответствующим смесям, которые обладают противоопухолевой активностью. Изобретение также относится к способу получения этих соединений, их п...
2450007 
              Производные камптотецина с противоопухолевой активностью
Изобретение относится к новым 5-замещенным производным тиокамптотецина общей формулы I: где R представляет собой водород, -N3; R1 представляет собой водород, этил, группу -СН=N-O-С(СН3)3; R2 представляет собой водород, -CH2N(CH3)2; R3 представляет собой водород, гидроксил, группу их фармацевтически приемлемым солям, энантиомерам, диастереомерам и соответствующим смесям, обладающим противооп...
2450008 
              Фосфолипидные комплексы куркумина, обладающие улучшенной биодоступностью
Изобретение относится к новым фосфолипидным комплексам куркумина или содержащим его экстрактам, обладающим улучшенной биодоступностью. Фосфолипидный комплекс куркумина или экстракт, содержащий его, в котором фосфолипидом является фосфолипид сои и соотношение фосфолипида к куркумину находится в определенном диапазоне. Способ получения фосфолипидного комплекса. Фосфолипидный комплекс куркумина или...
2450818 
              Композиции, содержащие экстракты cynara scolymus и phaseolus vulgaris, которые полезны для лечения ожирения
Изобретение относится к фармацевтической промышленности, в частности к композиции, обладающей гипогликемическим действием и активностью против ожирения. Композиция, обладающая гипогликемическим действием и активностью против ожирения, содержащая экстракт Cynara scolymus и экстракт Phaseolus vulgaris, взятые в определенном соотношении. Применение композиции для получения лекарственных средств с ги...
2453323 
              Способ получения ацетатной соли метилового сложного эфира (2r,3s)-3-фенилизосерина
Изобретение относится к способу энантиоселективного получения ацетатной соли метилового сложного эфира (2R,3S)-3-фенилизосерина формулы (I), которая представляет собой структурный элемент, подходящий для использования в синтезе производных таксанов. Способ включает следующие стадии: а) обработка рацемического трео-3-фенилизосеринамида (VI) энантиомерно чистой органической кислотой до получе...
2459802 
              Композиции для лечения мукозита, индуцированного противоопухолевой или иммунодепрессивной терапией
Изобретение относится к фармацевтической композиции, в частности к композиции для лечения и/или предотвращения мукозита. Композиция, содержащая эффективное количество сангвинарина или хелеритрина в виде солей лютеиновой кислоты, в смеси с подходящими носителями и/или эксципиентами для лечения и/или предотвращения мукозита. Соль хелеритрина и лютеиновой кислоты. Соль сангвинарина и лютеиновой кисл...
2460535 
              Применение экстракта ferula spp для получения косметических и/или дерматологических композиций
Изобретение относится к косметической промышленности, в частности к средству, предназначенному для уменьшения морщин. Применение экстракта Ferula spp для получения косметических и/или дерматологических композиций, предназначенных для уменьшения морщин. Экстракт Ferula spp эффективен для уменьшения морщин. 10 пр.
2469733 
              Комбинации вазоактивных веществ с эстрогенами и их применение для лечения сексуальных дисфункций у женщин
Изобретение относится к фармацевтической промышленности, в частности к композиции для лечения сексуальных дисфункций у женщин. Композиция для лечения сексуальных дисфункций у женщин, содержащая вазокинетические природные кумарины или содержащие их экстракты; антифосфодиэстеразные агенты, выбранные из 3,7-O-ди-(2-гидроксиэтил)икаритина или 7-0-гидроксиэтиликаризида II и/или форсколина или содержащ...
2478382 
              Применение производных изотиоцианата в качестве противомиеломных средств
Предложено применение глюкоморингина и его дезтиогликозида формул (I, II), соответственно, для получения лекарственного средства для лечения миеломы. Показана высокая цитотоксическая активность GMG, GMG-ITC против опухоли миеломы по сравнению с клеточными линиями другого типа опухолей, также активность подтверждена на экспериментальных моделях in vivo. 3 з.п. ф-лы, 4 табл.
2480217 
              Комбинации вазоактивных веществ и их применение в лечении сексуальных дисфункций
Изобретение относится к фармацевтической промышленности, в частности к средству для местного лечения сексуальных дисфункций. Композиция для местного применения для лечения сексуальных дисфункций, содержащая виснадин, очищенный экстракт Coleus forskolii, этиловый эфир ксимениновой кислоты, взятые в определенном количестве, и необязательно, по меньшей мере одно соединение, выбранное из икарина или...
2480229 
              Комбинации вазоактивных агентов, их применение в фармацевтической и косметической отраслях и содержащие их композиции
Изобретение относится к фармацевтической промышленности, в частности к композиции и комбинации для лечения панникулопатии и проблем, связанных с венозной недостаточностью нижних конечностей. Композиция для лечения панникулопатии и проблем, связанных с венозной недостаточностью нижних конечностей, включающая эскулозид; по меньшей мере одно соединение, выбранное из икарина или его дериватов, или с...
2481852 
              Составы с сангвинарином, хелеритрином или хелидонином для лечения бородавок, папиллом и псориатических бляшек
Изобретение относится к фармацевтической промышленности, в частности к составу для лечения обычных кожных бородавок и папиллом, анальных и вульварных бородавок и псориатических бляшек. Состав для лечения обычных кожных бородавок и папиллом, анальных и вульварных бородавок и псориатических бляшек, содержащий сангвинарин, хелеритрин или хелидонин или их соли или содержащие их экстракты, смешанные...
2486898 
              Твердые формы ортатаксела
Настоящее изобретение относится к твердым формам 1,14-карбонат 13-(N-Boc-β-изобутилсеринил)-14-в-гидроксибаккатина III (Ортатаксела)фомулы Представлены аморфная Форма A, кристаллическая Форма B, их смеси и способы их получения. Аморфную Форму A получают путем быстрого осаждения Ортатаксела из смеси ацетона и воды. Форма A превращается в Форму B при суспендировании и перемешивании в смеси...
2488586 
              Способ гликозидирования колхицина и тиоколхицина
В настоящем изобретении раскрыт способ получения соединений, имеющих формулу I, в которой R1 является метокси или метилтиогруппой; R2 является О-гликозилокси остатком. Соединения формулы I получают посредством взаимодействия перацетилированной гликозы с соединением, имеющим формулу II, с последующим удалением защитных групп из гликозильного фрагмента. 8 з.п. ф-лы, 4 пр.
2488589 
              Комбинации вазопротекторных агентов и препаративные формы, содержащие такие комбинации
Изобретение относится к фармацевтической композиции и к применению комбинации, содержащей один или несколько поликозанолов, токотриенол и/или ликопен, один или несколько олигомеров процианидола и растительное масло, обогащенное ω-3, ω-6 ненасыщенными жирными кислотами для приготовления таких композиций. Комбинация вышеуказанных компонентов позволяет снизить уровень холестерина и триглицеридов в...
2489907 
              Противоопухолевые средства с бензофенантридиновой структурой и содержащие их препараты
Предложены: применение солей бензофенантридиновых алкалоидов для получения лекарственных средств для лечения опухолей, где алкалоид находится в форме соли лютеовой, гиалуроновой или фосфатидной кислоты, соль бензофенантридиновых алкалоидов с фосфатидной кислотой или гиалуроновой кислотой и фармацевтическая композиция для лечения опухолей на ее основе. Показано повышение цитотоксической активност...
2492862 
              Композиции для лечения и предупреждения инфекций полости рта
Изобретение относится к композиции для гигиены полости рта и для лечения и предупреждения патологических состояний, связанных с зубочелюстной системой, имплантатами или осложнениями после хирургических операций полости рта. Указанная композиция содержит бензофенантридиновые алкалоиды, соединения бензофурана и полифенолы катехина. Заявленная композиция обладает антибактериальной, противогрибковой...
2504378 
              Композиции для лечения вагинальных инфекций с хроническим воспалением
Изобретение относится к композиции для местного применения для лечения вагинита различного происхождения и связанных с этим воспалительных осложнений. Указанная композиция содержит бензофенантридиновые алкалоиды, соединения бензофурана и необязательно экстракт Zanthoxylum bungeanum или Echinacea angustifolia. Заявленная композиция обладает антибактериальной, противогрибковой и антиферментативной...
2504379 
              Способ получения доцетаксела
Изобретение относится к способу получения доцетаксела взаимодействием соединения формулы (I) с ди-трет-бутилдикарбонатом. Соединение формулы (I) получают путем осуществления стадий: взаимодействие 2-(2,4-диметоксифенил)-3-(2-нитробензолсульфенил)-4(S)-фенил-5(R)-оксазолидинкарбоновой кислоты с 10-деацетил-бис-7,10-трихлорацетилбаккатином III для получения 10-деацетил-7,10-бис-трихлорацетилбаккат...
2510395 
              Способ удаления пестицидов из экстрактов ginkgo biloba и экстракты, получаемые упомянутым способом
Изобретение относится к способу удаления пестицидов из экстрактов Ginkgo biloba. Способ включает подвергание экстракта, полученного экстрагированием листьев Ginkgo biloba гексаном, следующим стадиям: а) жидкостно-жидкостной экстракции c получением фракции средней полярности, содержащей терпены гинкго и пестициды, не удаляемые гексаном, и фракцию высокой полярности, содержащую флавоновые гликозид...
2514673 
              Композиции для лечения заболеваний верхних дыхательных путей и симптомокомплекса гриппа
Изобретение относится к области фармацевтики, а именно к композиции для лечения бактериальных и вирусных инфекций верхних дыхательных путей и гриппа. Композиция содержит бензофенантридиновые алкалоиды, водно-спиртовой экстракт из надземных частей Hippophae rhamnoides, липофильный экстракт Echinacea angustifolia, взятые в определенном количестве. Применение бензофенантридиновых алкалоидов, водно...
2518738 
              Композиции, включающие липофильный экстракт zingiber officinale и экстракт cynara scolymus, которые используются для профилактики и лечения гастроэзофагеального рефлюкса и синдрома воспаленной кишки
Изобретение относится к фармацевтической промышленности, а именно к средству, обладающему прокинетической и антидиспептической активностью. Композиция, обладающая прокинетической и антидиспептической активностью, содержащая: липофильный экстракт Zingiber officinale, полученный экстракцией корней и корневищ растения диоксидом углерода в сверхкритических условиях, и экстракт Cynara scolymus, получ...
2521250 
              Композиции, содержащие липофильные экстракты zingiber officinale и echinacea angustifolia, для предупреждения и лечения гастроэзофагеального рефлюкса и рвоты, вызванной химиотерапией
Изобретение относится к фармацевтической промышленности, а именно к композиции для предупреждения и лечения эзофагеального рефлюкса. Композиция для предупреждения и лечения эзофагеального рефлюкса, содержащая липофильный экстракт Zingiber officinale и липофильный экстракт Echinacea angustifolia, в определенных весовых диапазонах, полученные путем экстракции суперкритическим диоксидом углерода....
2524625 
              Растительные экстракты, используемые в качестве фитохимических препаратов
Изобретение относится к области биохимии, в частности к экстракту семян Vitis vinifera для предупреждения или лечения инфекций растений, вызванных грибами или оомицетами, такими как Plasmopara viticola Pv1 и Erysiphe necator, а также к композиции, содержащей экстракт семян Vitis vinifera или выжимок, содержащих семена, в качестве эффективного ингредиента, где указанный экстракт представляет собо...
2535367![Кристаллическая форма 13-[(n-трет-бутоксикарбонил)-2'-о-гексаноил-3-фенилизосеринил]-10-диацетилбаккатина iii Кристаллическая форма 13-[(n-трет-бутоксикарбонил)-2'-о-гексаноил-3-фенилизосеринил]-10-диацетилбаккатина iii](https://img.patentdb.ru/i/200x200/1e4021251c26e799bd9be4f45ca1888a.jpg) 
              Кристаллическая форма 13-[(n-трет-бутоксикарбонил)-2'-о-гексаноил-3-фенилизосеринил]-10-диацетилбаккатина iii
Настоящее изобретение относится к новой кристаллической форме 13-[(N-трет-бутоксикарбонил)-2'-O-гексаноил-3-фенилизосеринил]-10-диацетилбаккатина III, характеризующейся следующими пиками: 6,1, 9,1, 10,1, 10,6, 11,7, 13,0, 18,5, 19,8, 22,0 при угле 2-тета ±0,2°, которая обладает способностью ингибировать клеточную пролиферацию, а также к способу получения этой формы. Технический результат - п...
2546661 
              Способ получения производных изосерина
Изобретение относится к способу получения соединений общей формулы 1, в которой R1 представляет собой линейную или разветвленную Cl-C6 алкильную группу, незамещенную или замещенную арильную или гетероарильную группу; R2 представляет собой линейную или разветвленную Cl-C6 алкильную группу, арилалкильную группу; R3 представляет собой Н, Cl-C4 алкильную группу. Способ осуществляют в соответствии с...
2557546 
              Клонирование, экспрессия в дрожжах, очистка и биологическая активность области удлинения альфа'-субъединицы 7s-глобулина сои, вовлеченной в гомеостаз холестерина в клетках hep g2
Изобретение относится к области генетической инженерии и молекулярной биологии. Предложен N-концевой гидрофильный фрагмент α′-субъединицы 7S-глобулина сои, состоящий из 142 аминокислотных остатков с указанного N-конца, для контроля гомеостаза холестерина и триглицеридов, а также способ его получения и соответствующая композиция. 3 н. и 1 з.п. ф-лы, 1 табл., 3 ил.
2558259 
              Полисахарид семян для применения в лечении воспалительных заболеваний
Настоящее изобретение относится к фармацевтической промышленности, а именно к применению в качестве противовоспалительного средства полисахарида семян тамаринда (TSP). Применение полисахарида семян тамаринда для местного лечения воспалительных заболеваний кожи. Противовоспалительная фармацевтическая и/или лечебно-косметическая композиция, содержащая полисахарид семян тамаринда в комбинации с экс...
2562580 
              Композиции, содержащие экстракты andrographis paniculata и ginkgo biloba в комплексе с фосфолипидами
Изобретение относится к композиции для лечения нейродегенеративных заболеваний. Указанная композиция включает экстракт Andrographis paniculata, содержащий 35% андрографолидов, и экстракт Ginkgo biloba в комплексе с фосфолипидами, где экстракт Ginkgo biloba содержит от 20% до 30% флавонолгликозидов Гинкго и от 2% до 10% смеси из дитерпенов/сесквитерпенов, а фосфолипиды включают от 5% до 50% фосфа...
2564093 
              Композиции, содержащие экстракты echinacea angustifolia и zingiber officinale, которые полезны для уменьшения воспаления и периферической боли
Изобретение относится к фармацевтической промышленности, а именно к композиции и комбинации для применения в лечении зуда, периферической боли, воспалительных и болезненных состояний, радиационного дерматита, вызванного лучевой терапией рака, отека и состояний раздражения кожи, включая состояния, обусловленные чрезмерным воздействием солнечного света. Комбинация липофильных экстрактов Zingiber o...
2565436 
              Полисахарид семени тамаринда для применения в лечении микробных инфекций
Настоящее изобретение относится к фармацевтической промышленности, а именно к средству для предотвращения и/или лечения микробных инфекций. Средство для предотвращения и/или лечения микробных инфекций, содержащее полисахарид семени тамаринда и экстракт Helichrysum italicum, Echinacea spp., Aesculus hippocastanum, Zanthoxylum bungeanum или их смеси в массовом соотношении 1:1 полисахарида семени т...
2571063 
              Составы для лечения заболеваний верхних дыхательных путей
Настоящее изобретение относится к фармацевтической промышленности, а именно к составу с антимикробным действием. Состав с антимикробным действием, содержащий экстракт Vaccinium myrtillus или других видов, богатых антоцианозидами; экстракт Punica granatum, полученный из плодов с содержанием полифенолов 90%; спиртовой экстракт корней и надземных частей Echinacea augustifolia и/или purpurea; водны...
2580643 
              Композиции для лечения периферических язв различного происхождения
Изобретение относится к композиции для использования при лечении периферических язв различного происхождения и сопутствующих кожных инфекций. Указанная композиция включает в качестве активных ингредиентов от 0,05% до 2 мас.% экстракта Vaccinium myrtillus и от 0,01% до 1 мас.% экстракта Echinacea angustifolia или purpurea, а также подходящие наполнители. Изобретение обеспечивает быстрое заживление...
2606851 
              Композиции для лечения периферических язв различного происхождения
Изобретение относится к фармацевтической промышленности, в частности к композиции для лечения язв, вызванных застоем в венах нижних конечностей. Композиция для лечения язв, вызванных застоем крови в венах нижних конечностей, содержащая: от 0,05 до 2% бисульфитных аддуктов антоцианозидов, полученных из экстрактов черники миртолистной (Vaccinium myrtillus), в чистом виде или в форме содержащих их эк...
2619853 
              Новые экстракты из cynara scolymus, coffea spp. и olea europaea для лечения метаболического синдрома
Группа изобретений относится к химико-фармацевтической промышленности и представляет собой композицию для снижения уровня общего холестерина, триглицеридов, холестерина ЛПНП и глюкозы в крови, содержащую: экстракт Cynara sp. c содержанием кофеил-хинной кислоты в диапазоне от 30 до 45% по весу, с содержанием флавоноидов в пределах от 8 до 16% по весу и с содержанием цинаропикрина в диапазоне от 10...
2657757 
              Комбинации экстрактов serenoa repens и липофильных экстрактов zingiber officinalis и echinacea angustifolia, их применение и содержащие их составы
Изобретение относится к фармацевтической промышленности, в частности к композиции для лечения хронического простатита и синдрома хронической тазовой боли. Композиция для лечения хронического простатита и синдрома хронической тазовой боли, содержащая липофильный экстракт Serenoa repens, липофильный экстракт Zingiber officinalis и липофильный экстракт Echinacea angustifolia или липофильный экстракт...
2659153